



![]()




Schedule of Events
Welcome to Brandon
Meet the Judges
Corporate Sponsors
Welcome to our Juniors
Bred and Owned Show
Semen Donation Show
Heifer Lottery Show
Commercial Show
Market Steer Show
Showmanship and Grooming
Open Show
Non-Cattle Competitions
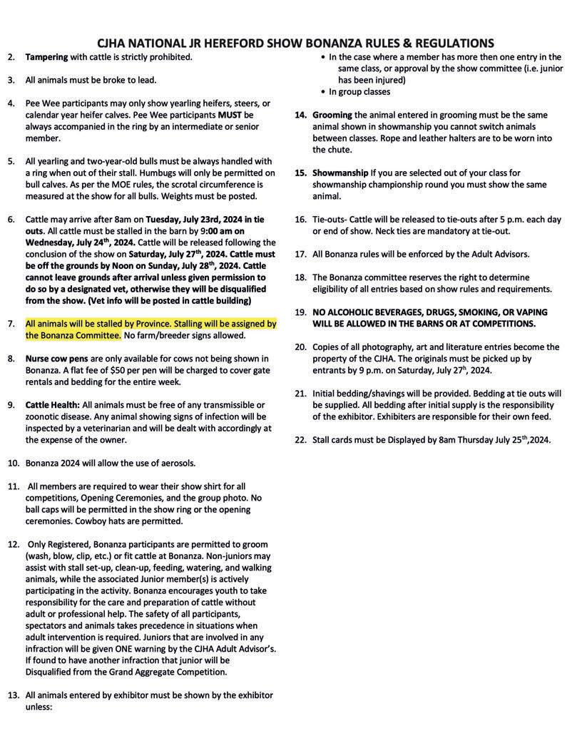
Rules and Regulations
Thank You for Your Support Thank You to our Volunteers

Keystone Center Brandon, MB 1175 18th St Unit 1, Brandon, MB R7A 7C5
Tuesday, July 23rd, 2024 9:00am Allowed in barns to set up, Cattle in tie outs No Cattle in barns or wash rack.
2:00pm-8:00pm Registration Opens Art, Literature and Photo entries may be dropped off 7:00pm CJHA BOD Meeting @
Wednesday, July 24th, 2024
9:00am-12:00pm Registration desk open
9:00am Cattle must be in barns
9:30am Opening Ceremonies/Group Photo
10:00am Keith Gilmore Foundation Judging Demo
10:00am Deadline for Art, Literature & Photography
10:00am Processing Cattle
10:30am Public Speaking Competition
12:00pm Lunch- On Own
2:00pm Individual Judging and Oral Reason
4:00pm Team Judging – Provincial Teams
5:30pm Supper/Awards
7:00pm CJHA AGM
7:30pm CJHA MIXER Group Activity
Thursday, July 25th, 2024
6:30am Breakfast
8:00am All cattle must in barns
9:00am Bred & Owned Show/Semen Donation Show/Heifer Lottery Show/Commercial Show/Steer Show
12:00pm Lunch – On own
1:00pm Grooming Demonstration
1:30pm Team Grooming – Provincial
3:00pm Little League Grooming
4:00pm Cattle to Tie outs
4:30pm- 5:00pm Leave for RSK Farms
5:30 Supper/Awards at RSK Farms
7:00 pm Education event at RSK
Friday, July 26th, 2024
6:00am Breakfast
8:00am All cattle must in barns
8:30am Individual Showmanship & Grooming
12:00pm Lunch – on own
2:00pm Team Marketing – Provincial
5:00pm Cattle to Tie Outs
5:30pm Supper/Awards - UTC
7:00pm CHA AGM
8:30pm Hospitality Room
Saturday, July 27th, 2024
6:00am Breakfast
8:00am All cattle must in barns
8:30am Open Show
12:00pm Lunch – On Own
5:00PM Cattle to tie outs
6:00pm Banquet/Awards
8:30 Dance / Social Time
Sunday, July 28th, 2024
12:00pm Departure deadline for Cattle


Welcome to Bonanza 2024! We are all very excited for the week and want to thank the committee for all their hard work. It is always great to see so many young Hereford breeders from all across Canada come together There are so many opportunities to learn new things and meet new people
Bonanza is always one of my favourite events of the summer as I get toreconnect with friends I have met at previous shows. This week, make sure you step out of your comfort zone and try something new. There are so many knowledgeable senior members that would love to help out with things around the barn. I hope everyone has a great week!
Megan Nicholas, CJHA President
Exhibitors, participants and Hereford enthusiasts!
Welcome to Bonanza, the Canadian National Junior Hereford Show! We are delighted to extend our warmest greetings to all participants, exhibitors and guests joining us for this prestigious event celebrating the excellence of Hereford cattle. This year’s show promises to be an exciting showcase of top-quality Herefords from across the country. Whether you are a seasoned breeder, a passionate exhibitor or a newcomer to the world of Herefords, we are thrilled to have you with us
Our team has worked diligently to create an unforgettable experience featuring:
High-Quality Judging: Expert judges will evaluate each entry based on breed standards and performance criteria.
Networking Opportunities: Connect with fellow breeders, industry professionals and enthusiasts to share knowledge and insight.
Educational Focused: Learn from industry experts through informative seminars and workshops focused on marketing, cattle care, judging and grooming
We encourage you to immerse yourself in the excitement of the show, engage with fellow participants and take full advantage of all that Bonanza 2024 has to offer. Your participation is essential in making this event a success and we are confident that it will be a rewarding experience for everyone. Thank you for being a part of Bonanza 2024! We look forward to celebrating the beauty and excellence of Hereford cattle with you. The Bonanza Planning Committee

It gives me great pleasure on behalf of the Canadian Hereford Association to welcome you to Brandon, Manitoba to celebrate Bonanza 2024, Herefords in the Wheat City. A huge thank you goes out to the CJHA and the Manitoba organizing committee for putting this first-class event together. The facilities in Brandon are second to none and will make this Bonanza experience memorable for everyone, whether this is your first Bonanza or you have been attending for years It is an exciting time to be in the cattle business, and particularly in the Hereford breed. Events such as Bonanza help to keep our leaders of tomorrow engaged in the livestock industry, build a network of fellow cattlemen and cattlewomen and cultivate a livelihood we can all appreciate. Bonanza is the envy of all beef breeds across our nation and you will see once again why in Brandon this summer. I look forward to seeing you all in Brandon. Chad Nicholas, CHA President




.
urrently, Brady and Allie assist the family seedstock operation, Jensen Brothers Herefords in Courtland, KS.
Showing and raising beef cattle has always been a big part of Bill’s life starting with his years in 4-H and FFA in Republic, Missouri where he was born and raised. Those early years of experience in the beef industry helped foster a direction toward a professional career of working purebred sales and showing cattle for various producers in the United States and Canada This line of work took him to many events across the U S., from Atlanta, Georgia west to the Cow Palace in San Francisco and from Fort Worth Texas on up to the Canadian Western

Agribition in Saskathewan. One of the many highlights of his show career occurred during the 12 years he was employed at Klondike Farms Polled Herefords when he was votedHerdsmanof the year at the US National Hereford Show in Fort Worth, Texas. Bill is one of only two Canadians to have ever received this award. The demand for his judging experience has taken Bill coast to coast to numerous Canadian exhibitions from Prince Edward Island to Vancouver. Bill has judged a number Canadian
bition, and Farm Fair in Alberta. He has also been

Eric Boon along with his wife Terra, daughter Rozlyn and son Liam own and operate B-Bar Cattle along with his parents Delaney and Deanna Boon. B-Bar Cattle is a progressive purebred Limousin and LimFlex operation at Lucky Lake in west central Saskatchewan. They have successfully exhibited at the major shows across Canada as a way to promote their program and the Limousin breed Their cattle and genetics have been marketed across Canada, into the United States, Mexico, Australia and South Africa; through their Annual Bull & Female Sale on farm. This year it will be held Tuesday, December 17.
Eric obtained a degree in Agribusiness from the University of Saskatchewan while playing Volleyball for the U of S Huskies. Hehassaton boththe Canadian Limousin Association and Saskatchewan Limousin Association board of directors Eric has had the opportunity to travel throughout Canada, the United States and Argentina working for other producers.
apart of this years Bonanza show.
Robin and John Hogberg own and operate Bar-H Land & Cattle Co. along with wife/mother Michelle located at Langenburg East Central Saskatchewan
Robin grew up in the Saskatchewan 4-H program and was also involved in the Saskatc Jr Hereford Association. Robin has judged many livestock beef shows, 4-H and Jr shows enjoys working with the youth. John grew up being involved in Saskatchewan 4-H as well attended Butler Community College in El Dorado Kansas, USA where he obtained his asso degree in animal science, and was a member of the Livestock Judging team The tea recognized as national champions and the team of the year for the 2020-2021 judging se John then went on to attend Oklahoma State University in Stillwater Oklahoma, USA where received his bachelors degree in Animal Science with a business option. While going to sc the United States John worked for some of the top show cattle operations throughout country as well.


Over the years they have exhibited livestock at major shows across Canada and the United States.






Parker Davis, AB
Luke Ulmer, AB
Paige Van Sickle, AB
Brooklyn Van Sickle, AB
Gabrielle Cheremshynski, AB
Daphney Schaub, AB
Elizabeth Schaub, AB
Connor Schaub, AB
Rylee Rogers, AB
Sophia Busmann, AB
Samantha Liboiron, AB
Myles Van Sickle, AB
Tinley Harvie, AB
Lyla Harvie, AB
Brynn Burkhardt, AB
Blayne Burkhardt, AB
Logan Scheirlinck, AB
Cody Scheirlinck AB
Chloe Wagner, AB
Jordy Doenz, AB
Eli VanSchaik, AB
Karsten Grabler, AB
Gage Carter, AB
Arynn Rogers, AB
Jackson Denschikoff, AB
Tayva Fenton, AB
Laney Fenton, AB
Gray Fenton, AB
Tyson Dundass, BC
Wyatt Dundass, BC
William Dundass, BC
Evan Warkentin, BC
Teegan Hyndman, MB
Kennedy Manns, MB
Sigga Vigfusson, MB
Steina Vigfusson, MB
Cooper Lafreniere, MB
Carmen Thorgilsson, MB
Madisyn Robertson, MB
Emersyn Sissons, MB
Keidon Sissons, MB
Isla Sissons, MB
Spencer Skeoch, MB

Sutton Skeoch, MB
Khloe Stocki, MB
Harley McCauley, MB
Madeline McCauley, MB
Lainey Koroscil, MB
Keira Duguid, MB
Lucas Bieganski, MB
Alayna Bieganski, MB
Bridget Watt, MB
Shayna Benson, MB
Thomas Allen, MB
Ivy Allen, MB
Logan Penner, MB
Hannah Penner, MB
Henly Fehr, MB
Jack Raymond,NB
MacKinsey Hicks, NB
Keaghan Hicks, NB
Caileigh Hicks, NB
Clay Steeves, NB
Rileigh Smith, NB
Aidan Smith, NB
Gracie Steeves, NB
James Rand, NS
Roseanne Siddall, NS
Ashlyn Siddall, NS
Abby McMullin, ON
Hannah MacDonald, ON
Kaylee Wells, ON
Rebecca Hess, ON
Connor McNaughton, ON
Jacob McNaughton, ON
Cooper McNaughton, ON
Kaleigh McNaughton, ON
Amelia MacDaonld, ON
Abby MacDonald, ON
Garth McIntyre, ON
Claire Pugh, ON
Caelan Pugh, ON
Kylee Chantler, ON
Shelby Stanley, ON
Owen Grundy, ON
Sydney Stewart, ON
Duncan Larmer, ON
Emily Stewart, ON
Blaire Larmer, ON
Brock Larmer, ON
Hannah Cameron, ON
Olivia Avery, ON
Hailey Van Esse, ON
Kyler Van Esse, ON
Holten Van Esse, ON
Nicole Ouimet, ON
Zoe Cornish, ON
Hannah MacDonald, ON
Kaylee Wells, ON
Rebecca Hess, ON
Connor McNaughton, ON
Jacob McNaughton, ON
Cooper McNaughton, ON
Kaleigh McNaughton, ON
Amelia MacDaonld, ON
Abby MacDonald, ON
Garth McIntyre, ON
Claire Pugh, ON
Caelan Pugh, ON
Kylee Chantler, ON
Shelby Stanley, ON
Owen Grundy, ON
Daniel Naddy, PE
Chloe Loane, PE
Aidan Lodge, QC
Matthew Charlton, SK
Andrew Charlton, SK
Jade Charlton, SK
Becca Lees, SK
Kyla Lees, SK
Emma Lees, SK
Curtis Hewitt, SK
Cole Hewitt, SK
Jessica O'Connor, SK
Jackson Lees, SK
Josie Lees, SK
Mia Mackie, SK
Chevy Matchett, SK
Korbin Martinson, SK
Jace Martinson, SK
Ava Mackie, SK
Ayla Duke, SK
Carlyle Reid, SK
Ivadel Reid, SK
Rowyn Shier, SK
Hudson Brooks, SK
Jayk Mitchell, SK
Cayden Lischka, SK
Brenden Lischka, SK
Gavin Fleck, SK
Faith Collins, SK
Makaila Peutert, SK
Bode Pretty, SK
Cedar Hayne, SK
Measha Arthur, SK
Chanze Altstadt, SK
Darby McCormack, SK
Rachel Tober, SK
Dane Tober, SK
Kori Manchester, SK
Emmit Manchester, SK
Ethan Brooks, SK
Kami Manchester, SK
Ellie Manchester, SK
Marshall Brooks, SK
Steele Sylvestre, SK
Kyle Whitney, SK
Devon Whitney, SK
Camden Altstadt, SK
Jack Mannle, SK
Summer Arthur, SK
Jorie Arthur, SK
Basil Arthur, SK
Ty Airriess, SK
Kenzie Airriess, SK
Chance Airriess, SK
Abigail Airriess, SK
Kyler Kamp, SK
Kai Hjertaas, SK
Lexie O'Connor, SK
Alannah Wood, SK
Wyatt Wood, SK
Austin Krieger, SK
Sara Felskie, SK
Reegan Frey, SK
Joran Frey, SK
Thursday, July 25th, 2024 - 9:00am
Eric Boon - Judge
Bred and Owned Show, Class 1, Bred & Owned Heifer Calf born in 2024 - Heat #1
Sponsored by MDG Polled Herefords
ANDREW CHARLTON
WEYBURN, SK BREEDER: JAC * BRED & OWNED
MEGAN NICHOLAS MILESTONE, SK
BREEDER: MCCOY * BRED & OWNED
JADE CHARLTON
WEYBURN, SK
BREEDER: JAC * BRED & OWNED
TEEGAN HYNDMAN HAMIOTA, MB
BREEDER: TEEG * BRED & OWNED
JESSE PROCYK FILLMORE, SK
BREEDER: JRP
* BRED & OWNED
JAC LL4J HOPE 30M
S: GHC LRL REWARDS 94F
D: JAC 24C LISA LEE 4J
MCCOY 17J GIDGET 176M
S: MCCOY 858F FORTRESS 17J
D: DTHF GIDGET 189G
JAC 1J CONNIE 14M
S: GHC LRL REWARDS 94F
D: JAC 24C CONNIE 1J
TEEG 747E BACARDI 433M
S: CRLY 70Y BOEING 747E
D: CCLH 502C BINKY 43Z 33G
JRP 36F ROSY LANE 193M
S: JRP WINSTON 252C PHOENIX 36F
D: JRP 323Y SWEET CANDY 94H
C03113087
AJAC 30M 2024-03-15
C03113591 MEGN 176M 2024-03-09
C03113086 JJAC 14M 2024-03-01
C03113311 TEEG 433M 2024-02-12
C03112720 JRP 193M 2024-01-20
Bred and Owned Show, Class 1, Bred & Owned Heifer Calf born in 2024 - Heat #2
Sponsored by: Lilybrook Herefords
CHLOE WAGNER
CLARESHOLM, AB BREEDER: KLR * BRED & OWNED
JACKSON DENSCHIKOFF THORSBY, AB
BREEDER: WON * BRED & OWNED
HARLEY MCCAULEY RUSSELL, MB
BREEDER: SNBR * BRED & OWNED
JESSE PROCYK FILLMORE, SK BREEDER: JRP * BRED & OWNED
KLR COOKIE 4M
S: JKF 174E AVALANCHE 1H
D: KLR ASHLEY 1K
WON 82K BRITISH KARI 6M
S: MJT BELLE AIR ET 613H
D: GH 324G BRITISH KARI 82K
SNBR HM 183F MARIGOLD 104M
S: TH MASTERPLAN 183F
D: SINNIBAR'S 401G ROSALEA 120K
JRP 36F SAPPHIRE 7M
S: JRP WINSTON 252C PHOENIX 36F D: XLP 5L BOGARTS SAPHIRE 7B
C03113880 KLR 4M 2024-01-17
C03114450 WON 6M 2024-01-06
C03113314 SNBR 104M 2024-01-04
C03112721 JRP 7M 2024-01-02

TINLEY HARVIE
OLDS, AB
BREEDER: HARVIE * BRED & OWNED
THOMAS ALLEN
ROBLIN, MB
BREEDER: ROLLING-HILLS * BRED & OWNED
BRYNN BURKHARDT
GWYNNE, AB
BREEDER: CJBB * BRED & OWNED
DANE TOBER
OXBOW, SK
BREEDER: DBT * BRED & OWNED
MAKAILA PEUTERT WOOD MOUNTAIN, SK BREEDER: MAK * BRED & OWNED
MIA MACKIE
MAPLE CREEK, SK
BREEDER: WBHR * BRED & OWNED
HARVIE OVHF PRINCESS 177L
S: NJW PMH COMMITMENT 137J ET
D: RSK FM 695D MISS PRINCESS 110H
ROLLING-HILLS LILAC 3L
S: HILLS-GALORE 27A REPLAY 40H
D: WCC 5125C JESSICA 8125F
CJBB 1F LUCY 14L
S: FOXTROT 1F
D: TLELL 6153 JEWEL 20J
DBT VENTURA 374L
S: GGSC TRADEMARK 9J ET
D: S7R VENTURA 704G
MAK LUCY 33L
S: MAK HOMEBREW 7H
D: CRITT MISS TARGET 33H
WBHR LADYLIKE 1L
S: CHURCHILL SENSATION 028X
D: WBHR JOURNEY 3J
C03103886 JILL 177L 2023-05-14
C03113074 TAH 3L 2023-04-16
C03108158 CJBB 14L 2023-04-05
C03113529 DBT 374L 2023-03-25
C03111309 MAK 33L 2023-03-11
C03102953 MS 1L 2023-03-03
SYDNEY STEWART
HAMPTON, ON
BREEDER: SLS
* BRED & OWNED
ANDREW CHARLTON
WEYBURN, SK
BREEDER: JAC
* BRED & OWNED
MATTHEW CHARLTON
WEYBURN, SK
BREEDER: JAC
* BRED & OWNED
MATTHEW CHARLTON
WEYBURN, SK
BREEDER: JAC
* BRED & OWNED
SOPHIA BUSMANN FORT MACLEOD, AB
BREEDER: CIRCLE S RANCH
* BRED & OWNED
JADE CHARLTON
WEYBURN, SK
BREEDER: JAC
* BRED & OWNED

SLS LONNIE 1L
S: WLB BULL 27B 46D
D: BLAIR-ATHOL 50 CONNIE 77E
JAC 163F COUNTRY 6L
S: GHC DELEGATE 163F
D: JAC COUNTRY 6E
JAC 24E PRINCESS 3L
S: HAROLDSON'S JVJ ROYAL 24E
D: JAC 6C SHEEZ COUNTRY 8G
JAC 24E DIANA 4L
S: HAROLDSON'S JVJ ROYAL 24E
D: JAC 6C SHEEZ COUNTRY 8G
CSR UNIQUE MAY 1L
S: CSR 820T TRENDSETTER ET 130F
D: CSR ROSIE MAY 51J
JAC 155E CONNIE 1L
S: GHC C5 ATTENTION 155E
D: JAC 24C CONNIE 1J
C03112117 SLS 1L 2023-03-01
C03105709 AJAC 6L 2023-02-22
C03105716 MJAC 3L 2023-02-20
C03105715 MJAC 4L 2023-02-20
C03103880 APJP 1L 2023-02-19
C03105923 JJAC 1L 2023-02-12
Bred and Owned Show, Class 2, Bred & Owned Yearling Heifer born in 2023 - Heat #3 Sponsored by Creek Crest Farms
RANK# EXHIBITED BY / FROM / BREEDER
TINLEY HARVIE
OLDS, AB
BREEDER: HARVIE *BRED & OWNED
TEEGAN HYNDMAN
HAMIOTA, MB
BREEDER: TEEG * BRED & OWNED
KHLOE STOCKI
FISHER BRANCH, MB
BREEDER: GRHK * BRED & OWNED
PAIGE VAN SICKLE
RED DEER COUNTY, AB
BREEDER: UU * BRED & OWNED
Bred
/ S: SIRE
HARVIE OVHF RONDA 83L
S: NJW PMH COMMITMENT 137J ET
D: HARVIE OVHF MS RONDA 14G
TEEG 018 MASERATI 310L
S: BAR STAR FRESH PRINCE 018 ET D: TEEG 27C ASHLYN 2008H
GRHK 029H DEW 18L
S: CHURCHILL DESPERADO 029H
D: GRHK 11E DEW 7H
UU 0121H REMI 1L
S: UU KINGSLEY 0121H
D: UU 9530 MISS RILEY 114J
RANK# EXHIBITED BY / FROM / BREEDER
026 *
027 * 028 *
LUCAS BIEGANSKI CARBERRY, MB
BREEDER: JASC
* BRED & OWNED
JESSE PROCYK FILLMORE, SK
BREEDER: JRP
* BRED & OWNED
ANDREW CHARLTON WEYBURN, SK
BREEDER: JAC
* BRED & OWNED
029 *
JADE CHARLTON WEYBURN, SK
BREEDER: JAC
* BRED & OWNED
ANIMAL / S: SIRE / D: DAM
SHEREFF XKEONA 1F 10K
S: MAST-R FRANCHISE 1F
D: RSK 20C MISS XKEONA ET 99H
JRP 183F SAPPHIRE 7B ET 713K
S: TH MASTERPLAN 183F XLP 5L
D: BOGARTS SAPHIRE 7B
JAC 24C LISA LEE 4J
S: BLAIR-ATHOL 10Y HOMERUN 24C
D: JAC LISA LEE 3D
JAC 24C CONNIE 1J
S: BLAIR-ATHOL 10Y HOMERUN 24C
D: JAC CONNIE ET 33Y
C03103837 JILL 83L 2023-02-10
C03103188 TEEG 310L 2023-02-07
C03110688 RNDK 18L 2023-01-26
C03105638 PAV 1L 2023-01-14
# / TATTOO / BIRTHDATE
C03095786 JASC 10K 2022-02-05
C03099704 JRP 713K 2022-01-25
C03085772 AJAC 4J 2021-02-01
C03085768 JJAC 2021-01-27

TEEGAN HYNDMAN
HAMIOTA, MB
BREEDER: TEEG
* BRED & OWNED
MATTHEW CHARLTON
WEYBURN, SK
BREEDER: JAC
* BRED & OWNED
KENNEDY MANNS
AUSTIN, MB
BREEDER: PBHR * BRED & OWNED
JESSE PROCYK
FILLMORE, SK
BREEDER: JRP * BRED & OWNED
TEEG 22H CAL NAUGHTON 435M
S: BLAIR-ATHOL 206E TOPLINE 22H
D: KTCT 46C MOLLY 14F
JAC RANGO 3M
S: SHF HORIZON D287 H022 ET D: JAC 6C SHEEZ COUNTRY 8G
PBHR KM MR WORLD WIDE 115K 2M
S: CSC 701 BOLDER 901
D: ICF WILMA 155E 115K
JRP 36F WINSTON 800M
S: JRP WINSTON 252C PHOENIX 36F
D: JRP BAMBI'S ACTION 800D
MIA MACKIE MAPLE CREEK, SK
BREEDER: WBHR * BRED & OWNED
TEEGAN HYNDMAN
HAMIOTA, MB
BREEDER: TEEG
* BRED & OWNED
ALEXANDRA(LEXIE) O'CONNOR
VIBANK, SK
BREEDER: XLPA * BRED & OWNED
REBECCA HESS
NORTH GOWER, ON
WBHR LOGICAL 2L
S: HILLS-GALORE 44Z REWIND 147E
D: WBHR FANCY 2F
TEEG 22H RICKY BOBBI 335L
S: BLAIR-ATHOL 206E TOPLINE 22H
D: KTCT 46C MOLLY 14F
XLPA AEROSMITH 97L
S: HARVIE OVHF EMPOWER ET 5F
D: ANL 425X MARVEL 3807A 97D
KIDS LEGEND 8C 1L
S: HARVIE OVHF EMPOWER ET 5F
C03113303 TEEG 435M 2024-02-15
C03113085 MJAC 3M 2024-02-09
C03113599 PBHR 2M 2024-01-10
C03112718 JRP 800M 2024-01-06

BREEDER: KIDS * BRED & OWNED
C03102952 MS 2L 2023-03-11
C03106216 TEEG 335L 2023-03-03
CO3106482 XLPA 97L 2023-01-24
C03102593 KIDS 1L 2023-01-03 RANK# EXHIBITED BY / FROM / BREEDER
D: KIDS 521X CHARITY 1T 8C
Bred and Owned Show, Class 7, Three Head From One Family Sponsored by: AM Ranching
RANK#EXHIBITED BY 038
039
Matthew Charlton
Jesse Procyk
Supreme Bred and Owned Sponsored by Klondike Farms
Premier Breeder Bred and Owned Sponsored by Charlton Farms


Semen Donation Show, Class 8, Semen Donation Females
JADE CHARLTON WEYBURN, SK BREEDER: JAC
JAC 155E CONNIE 1L
S: GHC C5 ATTENTION 155E D: JAC 24C CONNIE 1J
C03105923 JJAC 1L 2023-02-12
Champion Semen Donation Female Sponsored by Rock’n “h” Livestock Supplies
Semen Donation Show, Class 9, Semen Donation Bulls
MATTHEW CHARLTON WEYBURN, SK BREEDER: JAC
JAC RANGO 3M
S: SHF HORIZON D287 H022 ET D: JAC 6C SHEEZ COUNTRY 8G
Champion Semen Donation Bull Sponsored by Guilford Hereford Ranch


C03113085 MJAC 3M 2024-02-09

Heifer Lottery Show, Class 10, Heifer Calf born in 2024
Sponsored by: BC Hereford Association
MEGAN NICHOLAS MILESTONE, SK BREEDER: DOUG TROOP HEREFORD FARM
MCCOY 17J GIDGET 176M
S: MCCOY 858F FORTRESS 17J
D: DTHF GIDGET 189G
Heifer Lottery Show, Class 11, Yearling Heifer born in 2023 - Heat #1
Sponsored by: Sunrise Credit Union
SUTTON SKEOCH KILLARNEY, MB BREEDER: MANNS
CURTIS HEWITT WAWOTA, SK BREEDER: HAROLDSON'S
SIGGA VIGFUSSON LUNDAR, MB BREEDER: SQUARE-D
JAMES RAND PORT WILLIAMS, NS BREEDER: ANL
CAILEIGH HICKS MCKEES MILLS, NB BREEDER: BLAIR-ATHOL
STEINA VIGFUSSON LUNDAR, MB BREEDER: SQUARE-D
FUNK 90J LIL VICKI 113L
S: PBHR TRAPPER 57A 90J
D: MANNS VICKIE 11F 48J
HAROLDSON'S JCC JESSICA 75L
S: HAROLDSON'S SCC PAVATI 48G
D: HAROLDSON'S AD JESSICA 23F
SQUARE-D RITA 617L
S: SQUARE-D MAXX 558E
D: SQUARE-D MADONNA 716D
ANL ACDT 244 JADA 115 ET 149L
S: SHF HODGEMAN F158 H244
D: ANL 71D JADA 123C 115F
BLAIR-ATHOL 124E PASSION 65L
S: MCCOY 53A PATENT 124E
D: BLAIR-ATHOL 60Z ADALINE 167E
SQUARE-D WINNIE 339L
S: BW NJW 139X 10W PAYDAY 31E
D: SQUARE-D CARRIE 339A

C03113591
MEGN 176M 2024-03-09
C03107111 FUN 113L 2023-04-03
C03106140 AFSY 75L 2023-03-20
C03105524 SAZ 617L 2023-03-17
C03105335 KKL 149L 2023-03-15
C03105822 DVL 65L 2023-03-08
C03105519 SAZ 339L 2023-03-04


COLE HEWITT
WAWOTA, SK BREEDER: GLENLEES
KEAGHAN HICKS
MCKEES MILLS, NB BREEDER: BLAIR-ATHOL
CHANCE AIRRIESS
WADENA, SK BREEDER: AM RANCHING
MACKINSEY HICKS
MCKEES MILLS, NB BREEDER: BLAIR-ATHOL
KYLEE CHANTLER EGBERT, ON BREEDER: HARVIE
CHLOE WAGNER
CLARESHOLM, AB BREEDER: HAROLDSON'S
GLENLEES 112J PLAYMATE 47L
S: GLENLEES AXA EVOLVE ET 112J
D: BNC 14Z PLAYMATE 318C
BLAIR-ATHOL 124E REAL LADY 19L
S: MCCOY 53A PATENT 124E
D: REMITALL-W REAL LADY 84H
MAR 9365 LEYLA ET 19L
S: UPS ENTICE 9365 ET
D: TWIN-VIEW 23X LEYLA 80Z
BLAIR-ATHOL DJ 223F HOPEFUL 7L
S: RU BA 11X EXCALIBER 223F
D: BLAIR-ATHOL 27C YES MA'AM 6F
HARVIE SSAL CANDY 103L
S: NJW 79Z 199B BOURBON 126H ET
D: SSAL 4130 EYE CANDY 10E
HAROLDSON'S ES ZENA 31J 18L
S: BROOKS 1F 12B ACTION 31J
D: HAROLDSON'S ZENA 24E 96J
Heifer Lottery Show, Class 11, Yearling Heifer born in 2023 - Heat #3
Sponsored by Copper Creek Ranch
RANK#EXHIBITED
CLAIRE PUGH
MONO, ON BREEDER: GLENLEES
SPENCER SKEOCH KILLARNEY, MB BREEDER: MANNS
CHLOE LOANE
KILMUIR, PE BREEDER: GH
KALEIGH MCNAUGHTON GRAVENHURST, ON BREEDER: MHPH
JESSE PROCYK FILLMORE, SK BREEDER: MHPH
GLENLEES DBK 69H LANA 8L
S: GLENLEES 7454 GAME ON 69H
D: GLENLEES DBK 72C LANA 23G
MANNS MISS VICKY 21H 3L
S: RU BA 11X EXCALIBER 223F
D: MANNS VICKY 12E 21H
GH 1H LEEANN 26L
S: JKF 174E AVALANCHE 1H
D: GH 55C CASCADE ANN 183J
MHPH 240J DEANNA 1121L
S: KJ MHPH RW 364C MEDIA 240J ET
D: MHPH 8300 DEANNA 109J
MHPH 8300 CAMEO 106L
S: CHURCHILL RED BARON 8300F ET
D: MHPH 84G CAMEO 1041J


REG # / TATTOO / BIRTHDATE
C03105690 AHL 47L 2023-02-22
C03105499 DVL 19L 2023-02-20
C03106330 AM 19L 2023-02-17
C03105159 DVLJ 7L 2023-02-14
C03103827 JILL 103L 2023-02-12
C03107463 AFSY 18L 2023-02-12
C03105681 AH 8L 2023-02-08
C03106308 UBT 3L 2023-01-31
C03104080 GAH 26L 2023-01-17
C03103451 MHPH 1121L 2023-01-12
C03103458 MHPH 106L 2023-01-06





Heifer Lottery Show, Class 12, 2 year old Cow with Calf born in 2024 Sponsored by: Copper T Ranch
JACKSON DENSCHIKOFF THORSBY, AB
BREEDER: GH
KENNEDY MANNS
AUSTIN, MB
BREEDER: ICF
GH 324G BRITISH KARI 82K
S: GH LUNAR ECLIPSE 324G
D: GH 41D BRITISHETTE 1042F
ICF WILMA 155E 115K
S: GHC C5 ATTENTION 155E
D: ICF WILMA 303T 317Y
C03097597 GAH 82K 2022-02-11
C03093024 ICF 115K 2022-01-15
Champion Heifer Lottery Female Sponsored by: Canadian Junior Hereford Association
Reserve Champion Heifer Lottery Female Sponsored by: Canadian Junior Hereford Association





Commercial Show, Class 17, Heifer Calf born in 2024
Sponsored by: Glennethy Farms
TEEGAN HYNDMAN HAMIOTA, MB
TEEGAN HYNDMAN HAMIOTA, MB
BABY SQUIRT
S: RKNH 27C BUCK 106J
D: 2034H (SHORTHORN)
BABY HEIDI
S: CRLY 104Y JAEGERMISETER 2012H
D: 915G (HEREFORD/SHORTHORN)
Commercial Show, Class 18, Yearling Heifer born in 2023 - Heat #1
Sponsored by: Clay Enterprises
BROOKLYN SUITOR DANVILLE, QC
GABRIELLE CHEREMSHYNSKI VEGREVILLE, AB
AYLA DUKE CORONACH, SK
CURTIS HEWITT WAWOTA, SK
CONNOR SCHAUB THORSBY, AB
HENLY FEHR GLENBORO, MB
RWB GALAXY 20L
S: ANGUS
D: C&T KL 5C WILMA 120X
RCC STARSTUCK 388L
S: HEREFORD
D: HEREFORD CROSS
SQUARE D MISS ROSA 309L
S:
D:
MOOREHAVEN REBA 10L
S: MOOREHAVEN LIAN ROCK ET 13H
D: COMMERCIAL BLACK
AC 21F LIZA 4L
S: HILLS-GALORE 44Z RESOLUTE 128D
D: AC 8S TRUDY 21F
MISS ALLISON 361L
S: SIMMITAL
D: HEREFORD
Commercial Show, Class 18, Yearling Heifer born in 2023 - Heat #2
Sponsored by: Remus Ag Ltd.
KEIDON SISSONS PORTAGE LA PRAIRIE, MB
BODE PRETTY WEYBURN, SK
EVAN WARKENTIN VANDERHOOF, BC
TEEGAN HYNDMAN HAMIOTA, MB

TEEG 407M
TEEG 407M
2024-01-21
RKNH 401M RKNH 401M 2024-01-10
NA RWB 20L 2023-07-10
NA NA
2023-04-29
NA NA 2023-04-15
NA MH 10L 2023-04-08
HB029373 AC 4L 2023-03-25
2023-03-25
ANNA 26
S: ARY FUSION 827F
D: KTCT 128 MACKENZIE 46C
TAMMY
S: NA
D: WCC IG MISS MISSISSIPPI 9110G
LETTY
S: TLELL 617D HARDCOPY 6H (APSF 6H) P
D: DIBBLES
HEIDI
S: CRLY 104Y JAEGERMIESTER 2012H
D: 915G (HEREFORD/SHORTHORN)
2023-02-12
2023-01-26
RKNH 300L 2023-01-08
Commercial Show, Class 19, Cow with calf born in 2024
Sponsored by: Grand Valley Fortifiers
Grand Champion Commercial Female Sponsored by: McCutcheon Transport Ltd.
Reserve Grand Champion Commercial Female Sponsored by: Bullseye Feeds



Bill Biglieni - Judge
Market Steer Show, Class 20, Hereford Influence Steer born in 2023
Alannah Wood
Kyla Lees
Kennedy Manns
Cayden Lischka
Emmit Manchester
Chanze Altstadt
Waldheim, SK
Arcola, SK
Austin, MB
Steelman, SK
Senlac, SK
Canwood, SK
SIR LOIN
Stu
Fire Cracker BIG LEZ
3of diamonds
Wayno
2023-03-27
2023-03-24
2023-03-24
2023-03-03
2023-01-26
2023-01-08
Champion Hereford Influence Market Steer Sponsored by: Whitewood Livestock
Reserve Champion Hereford Influence Market Steer Sponsored by: Masterfeeds
Market Steer Show, Class 21, Straight Bred Hereford Steer born in 2023
Laney Fenton
Matthew Charlton
Kaleigh McNaughton
Jade Charlton
Thomas Allen
Ivy Allen
Irma, AB
Weyburn, SK
Gravenhurst, ON Weyburn, SK
Roblin, MB
Roblin, MB
Kermit Duke RW SMOKE SHOW POP Leupold Manny
2023-04-28
2023-04-17
2023-04-15
2023-03-17
2023-02-10
2023-01-31
Champion Straight Bred Market Steer Sponsored by: Combined Insurance Company of America
Reserve Champion Straight Bred Market Steer Sponsored by: Trouw Nutrition
Grand Champion Market Steer Sponsored by: McCutcheon Transport
Reserve Grand Champion Market Steer Sponsored by: Cargill

Friday, July 26th, 2024 - 8:30am
Robin & John Hogberg - Senior and Intermediate Judges
Jake Rawluk & Laura Horner - Junior and Pee Wee Judges
Individual Showmanship Competition, Class 1, Senior (17 - 21 years old) - Heat #1
Daniel Naddy
Kolton Gunter
Megan Nicholas
Jesse Procyk
Gavin Fleck
Gabrielle Cheremshynski
Makaila Peutert
Orwell, PE
Cleveland, QC
Milestone, SK
Fillmore, SK
Lampman, SK
Vegreville, AB
Wood Mountain, SK
Individual Showmanship Competition, Class 1, Senior (17 - 21 years old) - Heat #2
Emma Lees
Chloe Loane
Reegan Frey
Owen Grundy
Matthew Charlton
Connor Schaub
Arcola, SK
Kilmuir, PE Oxbow, SK
Oxford Mills, ON Weyburn, SK Thorsby, AB
Individual Showmanship Competition, Class 1, Senior (17 - 21 years old) - Heat #3
Caileigh Hicks
Rylee Rogers
Hannah MacDonald
Garth McIntyre
Cody Scheirlinck
Connor McNaughton
Devon Whitney
McKees Mills, NB
Drayton Valley, AB
Orillia, ON
Gravenhurst, ON
Del Bonita, AB
Gravenhurst, ON
Neilburg, SK

Individual Showmanship Competition, Class 1, Senior (17 - 21 years old) - Heat #4
Karsten Grabler
Kennedy Manns
Anna Liebrecht
Sophie Liebrecht
James Rand
Kyla Lees
Cherhill, AB
Austin, MB
Danville, QC
Danville, QC
Port Williams, NS
Arcola, SK
Individual Showmanship Competition, Class 1, Senior (17 - 21 years old) - Heat #5
Evan Warkentin
Sydney Stewart
Shelby Stanley
Shayna Benson
Francis Beaumont
Abby McMullin
Kalla Nicholas
Vanderhoof, BC
Hampton, ON
Kemptville, ON Winnipegosis, MB
Ste-Catherine de JCartier, QC
McNab/Braeside, ON Milestone, SK
Individual Showmanship Competition, Class 1, Senior (17 - 21 years old) - Heat #6
Kaylee Wells
Sophia Busmann
Brooklyn Van Sickle
Summer Arthur
Sara Felskie
Elizabeth Schaub
Jasper, ON
Fort MacLeod, AB
Red Deer County, AB Alida, SK
Indian Head, SK Thorsby, AB
Individual Showmanship Competition, Class 1, Senior (17 - 21 years old) - Heat #7
Olivia Avery
Rebecca Hess
Madisyn Robertson
Lexie O'Connor
Zoe Cornish
Faith Collins
Aidan Lodge

Bethany, ON
North Gower, ON
Neepawa, MB
Vibank, SK
Bowmanville, ON
Outlook, SK
Danville, QC
Individual Showmanship Competition, Class 1, Senior (17 - 21 years old) - Heat #8
Rank#EXHIBITED
Teegan Hyndman
Jackson Denschikoff
Austin Krieger
Kyle Whitney
Mia Plourde
MacKinsey Hicks
Kaleigh McNaughton
Hamiota, MB
Thorsby, AB
Jansen, SK
Neilburg, SK
Richmond, QC
McKees Mills, NB
Gravenhurst, ON
Champion Senior Showperson Sponsored by: Roselawn Polled Herefords
Reserve Champion Senior Showperson Sponsored by: Roselawn Polled Herefords
Champion Senior Groomer Sponsored by: Leveldale Polled Herefords
Reserve Champion Senior Groomer Sponsored by: Leveldale Polled Herefords
Individual Showmanship Competition, Class 2, Intermediate (13 - 16 years old) - Heat #1
Arnes, MB Rank#EXHIBITED
Nicole Ouimet
Cedar Hayne
Brenden Lischka
Darby McCormack
Sigga Vigfusson
Chanze Altstadt
Keira Duguid
Brockville, ON Gull Lake, SK
Steelman, SK Grenfell, SK Lundar, MB
Canwood, SK
Individual Showmanship Competition, Class 2, Intermediate (13 - 16 years old) - Heat #2
Parker Davis
Ayla Duke
Curtis Hewitt
Thomas Allen
Daphney Schaub
Jade Charlton
Lethbridge, AB
Coronach, SK
Wawota, SK
Roblin, MB
Thorsby, AB
Weyburn, SK


Joran Frey
Cooper Lafreniere
Emily Stewart
Paige Van Sickle
Jack Mannle
Sylvestre
Oxbow, SK La Broquerie, MB
Hampton, ON Red
Deer County, AB
Whitewood, SK
Coronach, SK
Abby
Rowyn
Kyler
Arcola, SK
McKees Mills, NB
Del Bonita, AB
Canwood, SK
Weyburn, SK
Drayton Valley, AB
Irma, AB
Waldheim, SK
Maple Creek, SK
Weyburn, SK
Redvers, SK
Mono, ON
Individual Showmanship Competition, Class 2, Intermediate (13 - 16 years old) - Heat #7
Rank#EXHIBITED
Steina Vigfusson
Carmen Thorgilsson
Lucas Bieganski
Basil Arthur
Cooper McNaughton
Jessica O'Connor
Lundar, MB
Lundar, MB
Carberry, MB
Alida, SK
Gravenhurst, ON
Vibank, SK
Champion Intermediate Showperson Sponsored by: Til-Toba Polled Herefords
Reserve Champion Intermediate Showperson Sponsored by: Til-Toba Polled Herefords
Champion Intermediate Groomer Sponsored by: Aspen Lane Polled Herefords
Reserve Champion Intermediate Groomer Sponsored by: Aspen Lane Polled Herefords
Individual Showmanship Competition, Class 3, Junior (9 - 12 years old) - Heat #1
Rank
Jayk Mitchell
Cole Hewitt
Tinley Harvie
Luke Ulmer
SK
Wawota, SK Olds, AB
Parkland County, AB
Orangeville, ON Russell, MB Oxbow, SK
Individual Showmanship Competition, Class 3, Junior (9 - 12 years old) - Heat #2
Myles Van Sickle
Jackson Lees
Ivy Allen
Brynn Burkhardt
Ty Airriess
Claire Pugh
Tayva Fenton
Red Deer County, AB Arcola, SK Roblin, MB
Gwynne, AB Wadena, SK Mono, ON Irma, AB

Individual Showmanship Competition, Class 3, Junior (9 - 12 years old) - Heat #3
Measha Arthur
Emma-Rose Mastine
Jacob McNaughton
William Dundass
Brooklyn Suitor
Rileigh Smith
Duncan Larmer
Alida, SK
Val-des-Sources, QC
Gravenhurst, ON
Knutsford, BC
Danville, QC
Baie de Bouctouche, NB
Nestleton Station, ON
Individual Showmanship Competition, Class 3, Junior (9 - 12 years old) - Heat #4
Logan Penner
Hannah Lees
Kenzie Airriess
Madeline McCauley
Spencer Skeoch Emmit Manchester
Killarney, MB
Arcola, SK
Wadena, SK
Russell, MB
Killarney, MB
Senlac, SK
Individual Showmanship Competition, Class 3, Junior (9 - 12 years old) - Heat #5
Khloe Stocki
Holten Van Esse
Fisher Branch, MB
Dover Centre, ON
Olds, AB
Alameda, SK
Irma, AB
Southey, SK
Glenboro, MB
Junior Showperson Sponsored by: 3-D-L Polled Herefords Reserve Champion Junior Showperson Sponsored by: 3-D-L Polled Herefords Champion Junior Groomer Sponsored by: C&T Polled Herefords
Reserve Champion Junior Groomer Sponsored by: C&T Polled Herefords

Individual Showmanship Competition, Class 4, Pee Wee (5 - 8 years old) - Heat #1
Rank#EXHIBITED
Aidan Smith
Chloe Wagner
Blake Lodge
Ava Mackie
Bridget Watt
Jorie Arthur
Baie de Bouctouche, NB
Claresholm, AB
Danville, QC
Maple Creek, SK
Killarney, MB
Alida, SK
Individual Showmanship Competition, Class 4, Pee Wee (5 - 8 years old) - Heat #2
Blaire Larmer
Tyson Dundass
Emersyn Sissons
Roseanne Siddall
Sutton Skeoch
Hailey Van Esse
Nestleton Station, ON
Knutsford, BC
Portage la Prairie, MB
Southampton, NS
Killarney, MB
Dover Centre, ON
Individual Showmanship Competition, Class 4, Pee Wee (5 - 8 years old) - Heat #3
Kori Manchester
Blayne Burkhardt
Alayna Bieganski
Braxton Suitor
Senlac, SK
Gwynne, AB
Carberry, MB
Danville, QC
Killarney, MB
Wadena, SK
Individual Showmanship Competition, Class 4, Pee Wee (5 - 8 years old) - Heat #4
Abigail Airriess
Marshall Brooks
Korbin Martinson
Hudson Brooks
Josie Lees
Keidon Sissons
Wadena, SK
Alameda, SK
Midale, SK
Steelman, SK
Arcola, SK
Portage la Prairie, MB

Individual Showmanship Competition, Class 4, Pee Wee (5 - 8 years old) - Heat #5
Brock Larmer Wyatt
Champion Pee Wee Showperson Sponsored by: NCX Polled Herefords
Reserve Champion Pee Wee Showperson Sponsored by: NCX Polled Herefords
Champion Pee Wee Groomer Sponsored by: Rawcliffe Grange Stock Farms
Reserve Champion Pee Wee Groomer Sponsored by: Rawcliffe Grange Stock Farms
Overall Champion Showperson Sponsored by: The Cliffs Farm
Reserve Overall Champion Showperson Sponsored by: Brost Land & Cattle Co.
Overall Champion Groomer Sponsored by: Saskatchewan Junior Hereford Association
Reserve Overall Champion Groomer Sponsored by: Rock’n “h” Herefords

















Saturday, July 27th, 2024 - 8:30am
Open Show, Class 24, Heifer Calf born on or after January 1st, 2024 - Heat #1 Sponsored by: OVHF
AVA MACKIE MAPLE CREEK, SK BREEDER: BBSF
JACOB MCNAUGHTON GRAVENHURST, ON BREEDER: AHG
ANDREW CHARLTON WEYBURN, SK BREEDER: JAC
ANNA LIEBRECHT DANVILLE, QC BREEDER: AFPH
MEGAN NICHOLAS MILESTONE, SK BREEDER: MCCOY
JADE CHARLTON WEYBURN, SK BREEDER: JAC
KALLA NICHOLAS MILESTONE, SK BREEDER: MCCOY
WBHR MONEY MAKER 1M
S: BANNERLANE 28F MONTANA 37K
D: BBSF 9530 DOMINO 203K
AHF SOUTHERN THRILL ET 115M
S: PERKS RF 4Z PONCHO 1037 ET
D: SPCC PF KNOCKOUT ROSE B418
JAC LL4J HOPE 30M
S: GHC LRL REWARDS 94F
D: JAC 24C LISA LEE 4J
ARTHUR 35H 17J QUEEN 48M
S: REMITALL-W HAYMAKER ET 35H
D: ARTHUR 201D 51G QUEEN 18J
MCCOY 17J GIDGET 176M
S: MCCOY 858F FORTRESS 17J
D: DTHF GIDGET 189G
JAC 1J CONNIE 14M
S: GHC LRL REWARDS 94F
D: JAC 24C CONNIE 1J
MCCOY 102K SUSIE 130M
S: MCCOY 9707 FAIRWAY 102K
Open Show, Class 24, Heifer Calf born on or after January 1st, 2024 - Heat #2 Sponsored by: Richaud Stock Farm
HANNAH PENNER KILLARNEY, MB BREEDER: ROSELAWN
MEASHA ARTHUR ALIDA, SK BREEDER: ARTHUR
KYLER KAMP REDVERS, SK BREEDER: AQUA HOLLOW
GABRIELLE CHEREMSHYNSKI VEGREVILLE, AB BREEDER: AM RANCHING
TEEGAN HYNDMAN HAMIOTA, MB BREEDER: TEEGAN HYNDMAN
JORDY DOENZ WARNER, AB BREEDER: BAR-RZ
ROSEANNE SIDDALL SOUTHAMPTON, NS
BREEDER: SINNIBAR
ROSELAWN MISS RIDGE 254G ET 21M
S: NJW 139C RIDGE 254G
D: ROSELAWN JAYCEE GC ET 11E
ARTHUR 9J 147G ANGEL 17M
S: GGSC TRADEMARK 9J ET
D: ARTHUR INSIGHTS LADY ET 147G
AQUA-HOLLOW JENNY 28M
S: DTHF EDWARD 211E
D: AQUA-HOLLOW JENN 12F
NCX MARY LOU 1M
S: BEHM 100W CUDA 504
D: MAR 5F DAISY 150K
TEEG 747E BACARDI 433M
S: CRLY 70Y BOEING 747E
D: CCLH 502C BINKY 43Z 33G
LCIL 17K NELLY 222M
S: BAR-RZ 27C KNIGHT 17K
D: BAR-RZ 50E YANISSA 4K
SINNIBARS 2069 MISS ROSIE 125M
S: RST 9023 SMALL TOWN KID 2069
D: SINNIBAR'S 401G ROSIE KAY 122K
000000 AHG 115M 2024-03-21
C03113087 AJAC 30M 2024-03-15
C03114709 AFPH 48M 2024-03-15
C03113591 MEGN 176M 2024-03-09
C03113086 JJAC 14M 2024-03-01
C03113598 ZTM 130M 2024-03-01
D: MCCOY 23D SUSIE 52G C03112820 AVA 1M 2024-03-27
C03114706 AHK 21M 2024-02-29
C03113769 AFPH 17M 2024-02-24
C03046555 BB 28M 2024-02-23
C03113398 NCX 1M 2024-02-15
C03113311
TEEG 433M 2024-02-12
C03113316
LCIL 222M 2024-02-11
C03112805 SNBR 125M 2024-01-25


JESSE PROCYK
FILLMORE, SK BREEDER: JRP
CHLOE WAGNER
CLARESHOLM, AB BREEDER: KLR
HANNAH MACDONALD ORILLIA, ON BREEDER: MHPH
KALEIGH MCNAUGHTON GRAVENHURST, ON BREEDER: HARVIE
AUSTIN KRIEGER JANSEN, SK BREEDER: AIRRESS ACRES
KENZIE AIRRIESS WADENA, SK BREEDER: AIRRIESS-ACRES
KARSTEN GRABLER CHERHILL, AB BREEDER: GH
JACKSON DENSCHIKOFF THORSBY, AB BREEDER: WON
JRP 36F ROSY LANE 193M
S: JRP WINSTON 252C PHOENIX 36F
D: JRP 323Y SWEET CANDY 94H
KLR COOKIE 4M
S: JKF 174E AVALANCHE 1H
D: KLR ASHLEY 1K
MHPH 240J BETTY 115M
S: KJ MHPH RW 364C MEDIA 240J ET
D: FCC 8300F BETTY 4K
RW 137J MS FIREFLY 11M ET
S: NJW PMH COMMITMENT 137J
D: HARVIE MS FIREFLY 36J
AIRRESS-ACRES MILEY ET 27M
S: RST FINAL PRINT 0016
D: AIRRESS-ACRES KANDY 68J
AIRRIESS-ACRES LAINEY 21M
S: CRITT PROSPECT ET 4H
D: PCL 501C LADY LUCK 70F
GH MANIFEST MISS MULAN 2M
S: NJW 133A 6589 MANIFEST 87G ET
D: GH WJP DESTINY'S OPTION 192J
WON 82K BRITISH KARI 6L
S: MJT BELLE AIR ET 613H
D: GH 324G BRITISH KARI 82K
HARLEY MCCAULEY
RUSSELL, MB BREEDER: SINNIBAR
HARLEY MCCAULEY
RUSSELL, MB BREEDER: SINNIBAR
MADELINE MCCAULEY
RUSSELL, MB BREEDER: SINNIBAR
JESSE PROCYK
FILLMORE, SK BREEDER: JRP
SNBR HM 183F MARIGOLD 104M
S: TH MASTERPLAN 183F
D: SINNIBAR'S 401G ROSALEA 120K
SINNIBARS 183F GOLDIE ET 103M
S: TH MASTERPLAN 183F
D: GLENLEES 740 GOLDIE 60E
SINNIBARS RB GOLDIE ET 102M
S: BIRDWELL REDBIRD 7098 0558ET
D: GLENLEES 740 GOLDIE 60E
JRP 36F SAPPHIRE 7M
S: JRP WINSTON 252C PHOENIX 36F
D: XLP 5L BOGARTS SAPHIRE 7B
SINNIBARS RB GOLDIE ET 101M
S: BIRDWELL REDBIRD 7098 0558ET D:
C03112720 JRP 193M 2024-01-20
C03113880 KLR 4M 2024-01-17
C03112358 MHPH 115M 2024-01-15 0000000 RW 11M 2024-01-12
C03114231 TSA 27M 2024-01-09
C03112860 TSA 21M 2024-01-08
C03113334 GAH 2M 2024-01-06
C03114450 WON 6M 2024-01-06
C03113314
SNBR 104M 2024-01-04
C03112817 SNBR 103M 2024-01-04
C03112816 SNBR 102M 2024-01-02
C03112721 JRP 7M 2024-01-02
C03112806 SNBR 101M 2024-01-01
Open Show, Class 25.1, Junior Yearling Heifer born in 2023 - Heat #1 Sponsored by: Manns Herefords
BLAKE LODGE DANVILLE, QC BREEDER: CB
LUCAS BIEGANSKI CARBERRY, MB BREEDER: JASC
TINLEY HARVIE OLDS, AB BREEDER: HARVIE
BRAXTON SUITOR DANVILLE, QC BREEDER: RWB
ALAYNA BIEGANSKI CARBERRY, MB BREEDER: BATHO FARMS LTD
NICOLE OUIMET BROCKVILLE, ON BREEDER: STONE-HEDGE
GRAY FENTON IRMA, AB BREEDER: BLAIR & JESSICA FENTON
CB LITA 6L
S: ELM-LODGE JOHN DUTTON 4J
D: BNC 9D VANITY FAIR 9303F
SC KC JESSICA 302L
S: ECR 628 IVYS ADVANCE 8923 ET
D: SC JESSICA 120J ET
HARVIE OVHF PRINCESS 177L
S: NJW PMH COMMITMENT 137J ET
D: RSK FM 695D MISS PRINCESS 110H
RWB LIBERTY 14L
S: RSK 173D COMMAND ET 91H
D: RWB FANCY 15F
BFL 10G FRANNY 418L
S: MAR 8E GRANITE 10G
D: BFL 147E FRANNY 86J
STONE-HEDGE LACEY 13L
S: RSK SCK 695D HOMEBRED 147H
D: STONE-HEDGE FANCY 10F
BRF 16G DOZER LASS 86L
S: SGC 33D DOZER 16G
D: SGC 30B TRUST LASS 115E
Open Show, Class 25.1, Junior Yearling Heifer born in 2023 - Heat #2
Sponsored by : Acorn Ridge Polled Herefords
THOMAS ALLEN ROBLIN, MB BREEDER: ROLLING-HILLS
HANNAH CAMERON WOODVILLE, ON BREEDER: ELM-LODGE
BLAYNE BURKHARDT GWYNNE, AB BREEDER: CJBB
EMILY STEWART HAMPTON, ON BREEDER: RUNNAWAY
SUTTON SKEOCH KILLARNEY, MB BREEDER: MANNS
JACKSON LEES ARCOLA, SK BREEDER: BLAIR-ATHOL
ELI VANSCHAIK LETHBRIDGE, AB BREEDER: GH
ROLLING-HILLS LILAC 3L
S: HILLS-GALORE 27A REPLAY 40H
D: WCC 5125C JESSICA 8125F
ELM-LODGE LACES 58L
S: ELM-LODGE EMPEROR 67E
D: WCC 41A VICTORIA 6452D
CJBB 1F LUCY 14L
S: FOXTROT 1F
D: TLELL 6153 JEWEL 20J
RUNNAWAY JESSICA 404L
S: WLB BULL 27B 46D
D: HAROLDSON'S AD JESSICA ET 7F
FUNK 90J LIL VICKI 113L
S: PBHR TRAPPER 57A 90J
D: MANNS VICKIE 11F 48J
BLAIR-ATHOL 115J SUZETTE 147L
S: BLAIR-ATHOL 190G BRUTUS 115J
D: BLAIR-ATHOL 60 SUZANNE 115D
GH INSIGHT STACIE 133L
S: SHF INSIGHT F158 J354 ET
D: GH MVP LADY SMASH 302C
C03113564
CBRF 6L 2023-12-03
C03111772 302L 2023-06-05
C03103886 JILL 177L 2023-05-14
C03106150 RWB 14L 2023-05-10
C03111944 BGU 418L 2023-05-08
C03108764 AER 13L 2023-04-22
C03108448 BRF 86L 2023-04-19
C03113074 TAH 3L 2023-04-16
C03111053 TAX 58L 2023-04-11
C03108158 CJBB 14L 2023-04-05
C03107016 KJJ 404L 2023-04-04
C03107111 FUN 113L 2023-04-03
C03105946 DVL 147L 2023-04-02
C03107518 GAH 133L 2023-04-02

Open Show, Class 25.1, Junior Yearling Heifer born in 2023 - Heat #3
Sponsored by: Crittenden Land & Cattle
AUSTIN KRIEGER JANSEN, SK BREEDER: AIRRESS-ACRES
KEIRA DUGUID ARNES, MB
BREEDER: MERIDIAN
ABBY MCMULLIN
MCNAB/BRAESIDE, ON BREEDER: MANNS
HANNAH MACDONALD ORILLIA, ON BREEDER: REMITALL-WEST
KENNEDY MANNS AUSTIN, MB BREEDER: PBHR
KAI HJERTAAS REDVERS, SK BREEDER: SQUARE-D
AIRRESS-ACRES GAIL 128L
S: CRITT PROSPECT ET 4H
D: GHC C5 MISS GOVERNESS 50C
MERIDIAN GOLD BULLION LASS 51L
S: RVP 4040 GOLD BULLION 131E
D: MERIDIAN 30F LASS 31J
PBHR CONNIE 271H 70L
S: RU BA 11X EXCALIBER 223F
D: MCCOY 7222 CONNIE 271H
REMITALL-W MHPH BELLE 159L
S: CHURCHILL RED BARON 8300F ET
D: REMITAL-W BELLE ET 45F
PBHR SERENITY 4H 65L
S: RU BA 11X EXCALIBER 223F
D: PBHR SERENITY 16F 4H
SQUARE-D RITA 102L
S: SQUARE D MAXX 558E
D: GOBLE MAZI 102D
Open Show, Class 25.1, Junior Yearling Heifer born in 2023 - Heat #4
Sponsored by: Doug Troop Hereford Farm
CURTIS HEWITT WAWOTA, SK
BREEDER: HAROLDSON'S
SUMMER ARTHUR ALIDA, SK BREEDER: ARTHUR
KAYLEE WELLS
RR2 JASPER, ON BREEDER: MANNS
SIGGA VIGFUSSON
LUNDAR, MB BREEDER: ERICKSON
COOPER LAFRENIERE LA BROQUERIE, MB BREEDER: SQUARE-D
STEELE SYLVESTRE CORONACH, SK BREEDER: SQUARE-D
MEGAN NICHOLAS MILESTONE, SK BREEDER: MCCOY

C03109112
TSA 128L 2023-03-29
C03110028 LEA 51L 2023-03-28
C03111730 PBHR 70L 2023-03-24
C03103427 REM 159L 2023-03-23
C03111727 PBHR 65L 2023-03-23
C03105355 SAZ 102L 2023-03-22
/ S:
HAROLDSON'S JCC JESSICA 75L
S: HAROLDSON'S SCC PAVATI 48G
D: HAROLDSON'S AD JESSICA 23F
ARTHUR 900 71E ELSA 69L
S: CHURCHILL SHERIFF 900G ET
D: MHR QUEEN 110A 71E
MANNS DAWN 55B 51L
S: RU BA 11X EXCALIBER 223F
D: MANNS DAWN 46Z 55B
KJE GO BETTY GO 110L
S: GLEICH KIRK DMGH 225J
D: GLEICH RAYNA 23F
SQUARE-D RITA 617L
S: SQUARE-D MAXX 558E
D: SQUARE-D MADONNA 716D
SQUARE-D ROBIN 657L
S: NJW 246D 168C TUFF 269G
D: SQUARE-D BELLE 749F
MCCOY 26G SUSIE 186L
S: COPPER-T A191 56C VISION 26G
D: MCCOY 53A SUSIE 97E
C03106140 AFSY 75L 2023-03-20
C03106374 AFPH 69L 2023-03-20
C03111472 UBT 51L 2023-03-19
C03109897 KJE 110L 2023-03-17
C03105524 SAZ 617L 2023-03-17
C03105528 SAZ 657L 2023-03-16
C03104788 ZTM 186L 2023-03-16
Open Show, Class 25.1, Junior Yearling Heifer born in 2023 - Heat #5 Sponsored by: LV Farms
JAMES RAND PORT WILLIAMS, NS BREEDER: ANL
ROWYN SHIER ESTEVAN, SK BREEDER: ANL
ZOE CORNISH
BOWMANVILLE, ON BREEDER: ROSELAWN
HARLEY MCCAULEY RUSSELL, MB BREEDER: TWIN-VIEW
MIA MACKIE
MAPLE CREEK, SK BREEDER: MC
ANL ACDT 244 JADA 115 ET 149L
S: SHF HODGEMAN F158 H244
D: ANL 71D JADA 123C 115F
ANL ACDT 24E JADA 115 ET 148L
S: HAROLDSON'S JVJ ROYAL 24E
D: ANL 71D JADA 123C 115F
ROSELAWN DORA 14G 56L
S: ROSELAWN COBRA 72C 14G
D: ROSELAWN CASSIDY 106A 7C
TWIN-VIEW 48H GRACKLE 128L
S: TWIN-VIEW 94F REIGNS JR 48H
D: TWIN-VIEW 21E PIGEON 67G
MC MISS FLO'S 2321 ET
S: TFR KU ROLL THE DICE 1326
D: ECR DIAMONDS FLO 6626
Open Show, Class 25.1, Junior Yearling Heifer born in 2023 - Heat #6 Sponsored by: Brooks Herefords
CAILEIGH HICKS
MCKEES MILLS, NB BREEDER: BLAIR-ATHOL
REEGAN FREY OXBOW, SK BREEDER: RSK
GAVIN FLECK
LAMPMAN, SK BREEDER: HMS
STEINA VIGFUSSON
LUNDAR, MB BREEDER: SQUARE-D
CARMEN THORGILSSON LUNDAR, MB BREEDER: RAWCLIFFE
SARA FELSKIE INDIAN HEAD, SK BREEDER: XLP
BLAIR-ATHOL 124E PASSION 65L
S: MCCOY 53A PATENT 124E
D: BLAIR-ATHOL 60Z ADALINE 167E
RSK SCK 7165 MS NELLIE ET 101L
S: H RW ALL IN 7165 ET
D: BLAIR'S AXA NELLIE 20E
HMS HI-CLIFFE LEGENDARY 23L
S: GLENLEES AXA EVOLVE ET 112J
D: HMS HI-CLIFFE 225D GLAMOUR 32G
SQUARE-D WINNIE 339L
S: BW NJW 139X 10W PAYDAY 31E
D: SQUARE-D CARRIE 339A
RAWCLIFFE 69H KENZIE 122L
S: ANL DBK 845C WARRIOR 106F 69H
D: FBF WCCO 79A JADE 122E
XLP RF ELLA BLANCHE 19L
S: KIRBY-LONEPINE BUDWEISER 176J
D: XLP RF ELLA BLANCHE 19F

C03105335 KKL 149L 2023-03-15
C03105334 KKL 148L 2023-03-15
C03105413 AHK 56L 2023-03-12
C03104765 TNVW 128L 2023-03-10
C03112804 2321 2023-03-10
C03105822 DVL 65L 2023-03-08
C03105300 RSK 101L 2023-03-08
C03104420 HMS 23L 2023-03-06
C03105519 SAZ 339L 2023-03-04
C03102534 RGSF 122L 2023-03-04
C03113747 XLP 19L 2023-03-04


Open Show, Class 25.1, Junior Yearling Heifer born in 2023 - Heat #7
Sponsored by: Greenridge Polled Herefords
AVA MACKIE
MAPLE CREEK, SK
BREEDER: WBHR
BASIL ARTHUR
ALIDA, SK
BREEDER: STONEWOOD
JORAN FREY
OXBOW, SK BREEDER: RSK
GAVIN FLECK
LAMPMAN, SK BREEDER: HMS
SYDNEY STEWART HAMPTON, ON BREEDER: SLS
LOGAN PENNER
KILLARNEY, MB BREEDER: ROSELAWN
AIDAN LODGE DANVILLE, QC BREEDER: CB
WBHR LADYLIKE 1L
S: CHURCHILL SENSATION 028X
D: WBHR JOURNEY 3J
STONEWOOD BR ANNIE 21L
S: HAROLDSON'S PAVATI 48G 74J
D: ARTHUR RN 900 139F
RSK 207H MISS GINA 83L
S: NJW 139C 181F BALANCE 207H
D: RSK 135G MISS GINA 44J
HMS HI-CLIFFE 608H LATTE 17L
S: MJT 15C ROYAL 608H
D: HMS HI-CLIFFE 109 GODIVA 71G
SLS LONNIE 1L
S: WLB BULL 27B 46D
D: BLAIR-ATHOL 50 CONNIE 77E
ROSELAWN TINA 13G ET 24L
S: C&T AYWON 24E GUNSMOKE 13G
D: ROSELAWN VACCA 61D 82G
CB LOLA 3L
S: MOHICAN THM EXCEDE Z426
D: CB 8Y MISS ADORE 9J
C03102953 MS 1L 2023-03-03
C03107166 SWG 21L 2023-03-03
C03111465 RSK 83L 2023-03-03
C03104417 HMS 17L 2023-03-02
C03112117 SLS 1L 2023-03-01
C03109680 AHK 24L 2023-03-01
C03106693 CBRF 3L 2023-03-01
Open Show, Class 25.2, Intermediate Yearling Heifer born in 2023 - Heat #1 Sponsored by: Rock Ridge Ranch
SHAYNA BENSON WINNIPEGOSIS, MB BREEDER: RSF
LYLA HARVIE OLDS, AB BREEDER: HARVIE
KARSTEN GRABLER CHERHILL, AB BREEDER: GH
THOMAS ALLEN ROBLIN, MB BREEDER: HUNTER POLLED HEREFORDS
ANDREW CHARLTON WEYBURN, SK BREEDER: JAC
COLE HEWITT WAWOTA, SK BREEDER: GLENLEES

/ S:
/ D:
PHH 22J PRINCESS 1L
S: GRHK 27A HOMETOWN 22J
D: RSF 50S FANCY 1J
HARVIE LIZZY 130L
S: NJW 79Z 199B BOURBON 126H ET
D: GCHR LIZZY 241H
GH INSIGHT CLASSY LASSY ET 92L
S: SHF INSIGHT F158 J354
D: GH 27E CLASSY LASSY 116G
ALLENHURST LARAMIE 19L
S: HAROLDSON'S LH REDZONE 86G
D: LEVELDALE MS CONNIE 5Z 6D
JAC 163F COUNTRY 6L
S: GHC DELEGATE 163F
D: JAC COUNTRY 6E
GLENLEES 112J PLAYMATE 47L
S: GLENLEES AXA EVOLVE ET 112J
D: BNC 14Z PLAYMATE 318C
MCE ROXY 336L
S: BOYD 31Z BLUEPRINT 6153
/ TATTOO /
C03113425
PHH 1L 2023-02-27
C03103889 CVIH 130L 2023-02-25
C03106952 GAH 92L 2023-02-24
C03114388 AHH 19L 2023-02-23
C03105709 AJAC 6L 2023-02-22
C03105690 AHL 47L 2023-02-22
C03109278 MCE 336L 2023-02-21 RANK#EXHIBITED
REBECCA HESS NORTH GOWER, ON BREEDER: MCE
D: MCE ROXY 107J
Sponsored by: Batho Farms Ltd.
BRENDEN LISCHKA STEELMAN, SK BREEDER: ANL POLLED HEREFORDS
SOPHIA BUSMANN FORTMACLEOD, AB BREEDER: CIRCLE S RANCH
MATTHEW CHARLTON WEYBURN, SK BREEDER: JAC
MATTHEW CHARLTON WEYBURN, SK BREEDER: JAC
KEAGHAN HICKS MCKEES MILLS, NB BREEDER: BLAIR-ATHOL
ANL 70H VIOLET 220H 81L
S: ANL 206E BOTTOM LINE 12D 70H
D: ANL 83F VIOLET 58W 220H
CSR 144F ROSE 241S 39L
S: CSR 1W NEWLINE ET 144F
D: CSR 222D MINDY ROSE 32G
JAC 24E PRINCESS 3L
S: HAROLDSON'S JVJ ROYAL 24E
D: JAC 6C SHEEZ COUNTRY 8G
JAC 24E DIANA 4L
S: HAROLDSON'S JVJ ROYAL 24E
D: JAC 6C SHEEZ COUNTRY 8G
BLAIR-ATHOL 124E REAL LADY 19L
S: MCCOY 53A PATENT 124E
D: REMITALL-W REAL LADY 84H
Open Show, Class 25.2, Intermediate Yearling Heifer born in 2023 - Heat #3 Sponsored by: Dorbay Polled Herefords
MIA PLOURDE RICHMOND, QC BREEDER: RWB
BRIDGET WATT KILLARNEY, MB BREEDER: ROSELAWN
COOPER MCNAUGHTON GRAVENHURST, ON BREEDER: CCCC
SOPHIA BUSMANN FORTMACLEOD, AB BREEDER: CIRCLE S RANCH
HANNAH LEES ARCOLA, SK BREEDER: BLAIR-ATHOL
EMMA LEES ARCOLA, SK BREEDER: GLENLEES
ISABELLA SCHAUB DRAYTON VALLEY, AB BREEDER: SKY
RWB LAVISH 4L
S: TH FRONTIER 174E
D: RWB CHEYANNE 3C
ROSELAWN JEWELL 182H 5L
S: TH CROWN ROYAL 182H
D: HAROLDSON'S MIRA T100 18F
CCCC MISS ENDURE 45C 315L ET
S: NJW 79Z Z311 ENDURE 173D ET
D: JDH AH MS 34X VICTOR 33Z45C ET
CSR UNIQUE MAY 1L
S: CSR 820T TRENDSETTER ET 130F
D: CSR ROSIE MAY 51J
BLAIR-ATHOL AD 27C SAUCY 14L
S: NJW 73S 38W RIMROCK 27C ET
D: BLAIR-ATHOL 124E SASSY 145J
GLENLEES CAMEO GIRL ET 30L
S: H DEBERARD 7454 ET
D: RVP 106A CAMEO GIRL 45C
SKY LUNNETA 253L
S: HMS HI-CLIFFE 225D GUINNESS 3G
D: JNHR SUSIE 358E
C03104242 KKL 81L 2023-02-22
C03107113 APJP 39L 2023-02-21
C03105716 MJAC 3L 2023-02-20
C03105715 MJAC 4L 2023-02-20
C03105499 DVL 19L 2023-02-20
C03107727 RWB 4L 2023-02-19
C03105419 AHK 5L 2023-02-19
C03112569 315L 2023-02-19
C03103880 APJP 1L 2023-02-19
C03105171 DVL 14L 2023-02-18
C03110798 AHL 30L 2023-02-18
C03109365 SKY 253L 2023-02-18


Open Show, Class 25.2, Intermediate Yearling Heifer born in 2023 - Heat #4
Sponsored by: Calvert Cattle Co.
AMELIA MACDAONLD ORANGEVILLE, ON BREEDER: LIAN
CHANCE AIRRIESS WADENA, SK BREEDER: AM RANCHING
JORDY DOENZ WARNER, AB BREEDER: LCI
MACKINSEY HICKS MCKEES MILLS, NB BREEDER: BLAIR-ATHOL
ETHAN BROOKS ALAMEDA, SK BREEDER: BROOKS FARMS
KYLA LEES ARCOLA, SK BREEDER: GLENLEES
CONNOR MCNAUGHTON GRAVENHURST, ON BREEDER: RSK
LIAN 125H GOLDIE 217L
S: MHPH MH 117E HAWKE 125H
D: MHPH RCY 10Y GOLDIE 216B
MAR 9365 LEYLA ET 19L
S: UPS ENTICE 9365 ET D: TWIN-VIEW 23X LEYLA 80Z
LCI 91H LIBERTY 31L
S: RSK 173D COMMAND ET 91H
D: LCI HOMEGROWN 258D
BLAIR-ATHOL DJ 223F HOPEFUL 7L
S: RU BA 11X EXCALIBER 223F
D: BLAIR-ATHOL 27C YES MA'AM 6F
BROOKS 182H 134F MAPLE 21L
S: TH CROWN ROYAL 182H
D: ANL C 71D MAPLE 74B 134F
GLENLEES 240J BETH 20L
S: KJ MHPH RW 364C MEDIA 240J ET
D: ICF BETH 646D 125G
RSK 207H MISS SPARKLES ET 38L
S: NJW 139C 181F BALANCE 207H
D: RSK 16R MISS SPARKLES 3A
Open Show, Class 25.2, Intermediate Yearling Heifer born in 2023 - Heat #5 Sponsored by: Poly Foam Spray Insulation Systems
KYLEE CHANTLER EGBERT, ON BREEDER: HARVIE
JADE CHARLTON WEYBURN, SK BREEDER: JAC
CHLOE WAGNER CLARESHOLM, AB BREEDER: HAROLDSON'S
JACK MANNLE WHITEWOOD, SK BREEDER: RSK
SOPHIE LIEBRECHT DANVILLE, QC BREEDER: BLB
C03104368 LMPH 217L 2023-02-17
C03106330 AM 19L 2023-02-17
C03110641 LCI 31L 2023-02-16
C03105159 DVLJ 7L 2023-02-14
C03105307 BRKS 21L 2023-02-14
C03105683 AHL 20L 2023-02-13
C03105373 RSK 38L 2023-02-13
HARVIE SSAL CANDY 103L
S: NJW 79Z 199B BOURBON 126H ET D: SSAL 4130 EYE CANDY 10E
JAC 155E CONNIE 1L
S: GHC C5 ATTENTION 155E
D: JAC 24C CONNIE 1J
HAROLDSON'S ES ZENA 31J 18L
S: BROOKS 1F 12B ACTION 31J
D: HAROLDSON'S ZENA 24E 96J
RSK 207H MS FIREFLY ET 36L
S: NJW 139C 181F BALANCE 207H

MAKAILA PEUTERT WOOD MOUNTAIN, SK BREEDER: PCL

C03103827 JILL 103L 2023-02-12
C03105923 JJAC 1L 2023-02-12
C03107463 AFSY 18L 2023-02-12
C03105372 RSK 36L 2023-02-12
C03104642 BLB 8L 2023-02-12
C03113070 MAK 61L 2023-02-11 RANK#EXHIBITED
Open Show, Class 25.2, Intermediate Yearling Heifer born in 2023 - Heat #6
Sponsored by: McLeannan Creek Herefords
TINLEY HARVIE OLDS, AB BREEDER: HARVIE
MEGAN NICHOLAS MILESTONE, SK BREEDER: MC COY CATTLE COMPANY LTD
CLAIRE PUGH MONO, ON BREEDER: GLENLEES
EMMIT MANCHESTER SENLAC, SK BREEDER: CSC
ELIZABETH SCHAUB THORSBY, AB BREEDER: SKY
TEEGAN HYNDMAN HAMIOTA, MB BREEDER: TEEG
HARVIE OVHF RONDA 83L
S: NJW PMH COMMITMENT 137J ET
D: HARVIE OVHF MS RONDA 14G
MCCOY 183F MELISSA 49L
S: TH MASTERPLAN 183F
D: MCCOY 858F MELISSA 18J
GLENLEES DBK 69H LANA 8L
S: GLENLEES 7454 GAME ON 69H
D: GLENLEES DBK 72C LANA 23G
CSC 701 LADY DEW 301 ET
S: HH ILR FORWARD 1056J ET
D: CSC 502 LADY DEW 701
SKY LILY 221L
S: H WMS ELIJAH 1502 ET D: FCC 1F KATE 30H
TEEG 018 MASERATI 310L
S: BAR STAR FRESH PRINCE 018 ET D: TEEG 27C ASHLYN 2008H
Open Show, Class 25.2, Intermediate Yearling Heifer born in 2023 - Heat #7 Sponsored by: Alameda Agencies/ Bonnie Thompson
KOLTON GUNTER CLEVELAND, QC BREEDER: AFPH
MARSHALL BROOKS ALAMEDA, SK BREEDER: BROOKS
GARTH MCINTYRE GRAVENHURST, ON BREEDER: EXR
JAYK MITCHELL VIBANK, SK BREEDER: RSK
HANNAH MACDONALD ORILLIA, ON BREEDER: GLENLEES
ARTHUR 35H 6F FIONA
S: REMITALL-W HAYMAKER ET 35H
D: STONE-HEDGE FIONA 6F
BROOKS 71D 33H MISS UNIQUE 6L
S: TH 745A 7B START ME UP 71D
D: BROOKS 153D 9E MISS UNIQUE 33H
RW 9200 PRIMROSE ET 206L
S: EXR PLATINUM 9200 ET
D: EXR PRIMROSE 4126 ET
RSK E 207H MISS FIREFLY 18L
S: NJW 139C 181F BALANCE 207H
D: RSK E 2046 MISS FIREFLY ET 22C
GLENLEES 69H CATALINA 4L
S: GLENLEES 7454 GAME ON 69H
D: DORBAY MISS CATALINA 408F

C03103837 JILL 83L 2023-02-10
C03104766 ZTM 49L 2023-02-10
C03105681 AHL 8L 2023-02-08
P44467806 301 2023-02-08
C03105450 SKY 221L 2023-02-08
C03103188 TEEG 310L 2023-02-07
C03106375 AFPH11L 2023-02-06
C03104326 BRKS 6L 2023-02-06
C03105494
RW 206L 2023-02-06
C03105294
RSK 18L 2023-02-05
C03105679 AHL 4L 2023-02-05

Nyle Pennell, CCA, T.AG.
Sales Agronomist SW MB/Southern Saskatchewan
Phone: (204) 476-5241
Cell: (204) 841-0802 Toll Free: 1-800-430-5955 nyle.pennell@dsv-northstar.com
DSV Northstar Ltd. P O. Box 2220 Neepawa, MB R0J 1H0 www.dsv-northstar.com

Open Show, Class 25.2, Intermediate Yearling Heifer born in 2023 - Heat #8
Sponsored by: Hills Galore Stock Farm
EMERSYN SISSONS PORTAGE LA PRAIRIE, MB BREEDER: KTCT
KYLER VAN ESSE THAMESVILLE, ON BREEDER: DOUBLE-H
BECCA LEES ARCOLA, SK BREEDER: GLENLEES
IVY ALLEN ROBLIN, MB BREEDER: HPH
LUKE ULMER PARKLAND COUNTY, AB BREEDER: SKY
RACHEL TOBER OXBOW, SK BREEDER: ARTHUR
HUDSON BROOKS STEELMAN, SK BREEDER: BROOKS
ALEXANDRA (LEXIE) O'CONNOR VIBANK, SK BREEDER: XLP

KTCT 18F LISA 3L
S: MANNS LAWMEN 20C 18F
D: KTCT 46C VIOLET 47F
HARVIE VLE RIESLING ET 58L
S: BAR STAR FRESH PRINCE 018 ET
D: HARVIE OVHF RIESLING ET 3F
GLENLEES 57G HOPE 3L
S: NJW 11B 6589 AUTHORITY 57G ET
D: SSF 432B HOPE HISTORIC 416
ALLENHURST LULU 13L
S: HARVIE OVHF EMPOWER ET 5F
D: LEVELDALE ENVY 101B 712E
SKY CLASSY LADY 213L
S: HMS HI-CLIFFE 225D GUINNESS 3G
D: K-COW CLASSY 86F
ARTHUR 1H 2J VAL 5L
S: ARTHUR 708 127C CAPONE ET 1H
D: TWIN-VIEW 99W VELLENE 2J
BROOKS 3H 15J KATE 3L
S: GLENLEES 27C KREED 3H
D: BROOKS 36G 36C KATE 15J
XLP 91H RITA 58L
S: RSK 173D COMMAND ET 91H
D: XLP RITA 38T ET 58E
C03105391 KTCT 3L 2023-02-04
C03105625 JILL 58L 2023-02-04
C03108125 AHL 3L 2023-02-04
C03111655 AHH 13L 2023-02-04
C03109336 SKY 213L 2023-02-04
C03106692 AFPH 5L 2023-02-03
C03104287 BRKS 3L 2023-02-02
C03106484 XLP 58L 2023-02-01


Open Show, Class 25.3, Senior Yearling Heifer Born in 2023 - Heat #1
Sponsored by: Trevor & Janice Tapp
SPENCER SKEOCH KILLARNEY, MB BREEDER: MANNS
WYATT WOOD WALDHEIM, SK BREEDER: LVSK
OWEN GRUNDY OXFORD MILLS, ON BREEDER: PCL
FAITH COLLINS OUTLOOK, SK BREEDER: HMS
KORI MANCHESTER SENLAC, SK BREEDER: MANCHESTER
ALANNAH WOOD WALDHEIM, SK BREEDER: LVSK
CAYDEN LISCHKA STEELMAN, SK BREEDER: ANL POLLED HEREFORDS
MANNS MISS VICKY 21H 3L
S: RU BA 11X EXCALIBER 223F
D: MANNS VICKY 12E 21H
LVSK LEXI 2L
S: TH MASTERPLAN 183F
D: PCL 504C JADE 23J
GLENLEES DBK 183F REAL LADY 2L
S: TH MASTERPLAN 183F
D: PCL 113F REAL LADY 71J
HMS HICLIFFE LUV POTION ET 25L
S: HAROLDSON'S JVJ ROYAL 24E
D: HMS HI-CLIFFE 225D GLAMOUR 32G
MANCHESTER 901 MIST 330L
S: CSC 701 BOLDER 901
D: MANCHESTER 106A MIST 734E
LVSK LAINEY 1L
S: EFBEEF BR VALIDATED B413
D: PCL 504C MISS VIVA 15J
ANL C 845C MAPLE 60J 4L
S: WHITEHAWK WARRIOR 845C ET
D: ANL C 36G MAPLE 34C 60J
Open Show, Class 25.3, Senior Yearling Heifer Born in 2023 - Heat #2
Sponsored by: Courtenay Herefords
KHLOE STOCKI FISHER BRANCH, MB BREEDER: GRHK
JESSE PROCYK FILLMORE, SK BREEDER: LONEPINE CATTLE AND JRP LIVESTOCK
JESSICA O'CONNOR VIBANK, SK BREEDER: LPK
JACKSON DENSCHIKOFF THORSBY, AB BREEDER: BAR-RZ
TY AIRRIESS WADENA, SK BREEDER: AIRRIESS-ACRES
KORBIN MARTINSON MIDALE, SK BREEDER: LV
CHLOE LOANE KILMUIR, PE BREEDER: GH
KENZIE AIRRIESS WADENA, SK BREEDER: AIRRIESS-ACRES
GRHK 029H DEW 18L
S: CHURCHILL DESPERADO 029H
D: GRHK 11E DEW 7H
XLP JRP MANDY 117L
S: TH MASTERPLAN 183F
D: XLP 75Z MANDY 117H
XLP-KPH MIRABELLE ET 45L
S: REMITALL-W GOLD RUSH ET 91H
D: REMITALL-W BELLE ET 45F
BAR-RZ 35H LILLIBET 21L
S: CHSF 7165 UPSCALE 35H
D: BAR-RZ 37C GABBIE 31G
AIRRIESS-ACRES KATRINA 75L
S: SHF HORIZON D287 H022 ET
D: GHC C5 MISS BEAUTY 30B
LV MOXIE L 5L
S: HAROLDSON'S UNITED 33D 36G
D: LV MOXIE C 57E
GH 1H LEEANN 26L
S: JKF 174E AVALANCHE 1H
D: GH 55C CASCADE ANN 183J
AIRRIESS-ACRES SUZIE 70L
S: BG LCC 11B PERFECTO 84F
D: AIRRIESS-ACRES STELLA 19G
C03106308
UBT 3L 2023-01-31
C03101792 LVSK 2L 2023-01-31
C03110231 AHL 2L 2023-01-30
C03105956 HMS 25L 2023-01-28
C03107011 MAN 330L 2023-01-28
C03101791 LVSK 1L 2023-01-28
C03105942 KKL 4L 2023-01-27
C03110688 RNDK 18L 2023-01-26
C03105304 XLP 117L 2023-01-26
C03110921 LPK 45L 2023-01-21
C03106360 SPH 21L 2023-01-21
C03104489 TSA 75L 2023-01-19
C03103635 LM 5L 2023-01-17
C03104080 GAH 26L 2023-01-17
C03104487 TSA 70L 2023-01-17

Sponsored by: Gardewine Trucking
CHEVY MATCHETT SOUTHEY, SK BREEDER: MHPH
DEVON WHITNEY NEILBURG, SK BREEDER: MHPH
KHLOE STOCKI FISHER BRANCH, MB BREEDER: GRH
PAIGE VAN SICKLE RED DEER COUNTY, AB BREEDER: UU
KYLE WHITNEY NEILBURG, SK BREEDER: MANCHESTER
CHANZE ALTSTADT CANWOOD, SK BREEDER: KURTIS M P REID
MHPH 203H JACKLYN 1161L
S: MHPH 117E HOBBS ET 203H
D: HMS HI-CLIFFE 225D JACKLYN 17J
MHPH GL 240J DAISY 115L
S: KJ MHPH RW 364C MEDIA 240J ET
D: GLENLEES JC 27C DAISY 40F
GRH 57G RITA 8L
S: NJW 11B 6589 AUTHORITY 57G
D: GRH 81S LADYSPORT 9E
UU 0121H REMI 1L
S: UU KINGSLEY 0121H
D: UU 9530 MISS RILEY 114J
MANCHESTER 901 WILLOW 312L
S: CSC 701 BOLDER 901
D: MANCHESTER 106A WILLOW 817F
TCF 155E MISS DEANNE 311L
S: GHC C5 ATTENTION 155E
D: TCF EL 305A GOOD GIRL 506C
Sponsored by: Lawrence King
KALEIGH MCNAUGHTON GRAVENHURST, ON BREEDER: MHPH
DAPHNEY SCHAUB THORSBY, AB BREEDER: BEEBE-PLAIN
MADELINE MCCAULEY RUSSELL, MB BREEDER: SINNIBAR
DUNCAN LARMER NESTLETON STATION, ON BREEDER: SINNIBAR
JESSE PROCYK FILLMORE, SK BREEDER: MHPH
CONNOR SCHAUB THORSBY, AB BREEDER: ELM-LODGE
MHPH 240J DEANNA 1121L
S: KJ MHPH RW 364C MEDIA 240J ET
D: MHPH 8300 DEANNA 109J
BEEBE-PLAIN LIZZY 6L
S: JKF 174E AVALANCHE 1H
D: GH WJP DESTINY'S OPTION 192J
SINNIBARS 401G PIXIE 109L
S: MHPH 646D GUNFIRE ET 401G
D: GLENLEES BNC 72C PIXIE 10F
SINNIBARS 401G L'IL ROSIE 106L
S: MHPH 646D GUNFIRE ET 401G
D: SINNIBAR'S YELLOW ROSE 306H
MHPH 8300 CAMEO 106L
S: CHURCHILL RED BARON 8300F ET
D: MHPH 84G CAMEO 1041J
ELM-LODGE KT LOOKING GOOD 2L
S: TH MASTERPLAN 183F
D: ELM-LODGE KT HEAD TURNER 17H


C03103446
MHPH 1161L 2023-01-16
C03103438 MHPH 115L 2023-01-15
C03104173 RND 8L 2023-01-14
C03105638 PAV 1L 2023-01-14
C03106998 MAN 312L 2023-01-13
C03104118 THR 311L 2023-01-13
C03103451 MHPH 1121L 2023-01-12
C03103883 ABPF 6L 2023-01-12
C03103812 SNBR 109L 2023-01-09
C03106018 SNBR 106L 2023-01-06
C03103458 MHPH 106L 2023-01-06
C03103137 ELLA 2L 2023-01-06

Open Show, Class 25.3, Senior Yearling Heifer Born in 2023 - Heat #5
Sponsored by: Old Burchill Farms
CODY SCHEIRLINCK DEL BONITA, AB BREEDER: BJ'S
CAELAN PUGH MONO, ON BREEDER: LIAN
ABIGAIL AIRRIESS WADENA, SK BREEDER: AIRRIESS-ACRES
TINLEY HARVIE OLDS, AB BREEDER: BAR-J-M
ABBY MACDONALD ORANGEVILLE, ON BREEDER: DOUBLE-H
CAMDEN ALTSTADT CANWOOD, SK BREEDER: KURTIS M P REID
BJ'S 2J MISS FANCY 1L
S: SR DOMINATE 308F ET
D: BJ'S 4G MISS 2J
LIAN 240J OMEGA 105L
S: KJ MHPH RW 364C MEDIA 240J ET
D: LIAN 32D OMEGA 126F
AIRRIESS-ACRES KANDY KANE 16L
S: SHF HORIZON D287 H022 ET
D: AIRRIESS-ACRES KANDY 68J
BAR-J-M CJVK 174E BELLA 1L
S: TH FRONTIER 174E
D: PCL 1D SPIRIT QUEEN 1H
MHPH 018 RIESLING ET 101L
S: BAR STAR FRESH PRINCE 018 ET
D: HARVIE OVHF RIESLING ET 3F
TCF 018 PRINCESS GLORIA 301L
S: BAR STAR FRESH PRINCE 018 ET
D: TCF 305A GLORIA'S GOODS 512C
Open Show, Class 22, Two-Year-Old Cow with Calf born in 2024 - Heat #1
Sponsored by: Flyer Cattle Co.
GABRIELLE CHEREMSHYNSKI VEGREVILLE, AB BREEDER: JAY RIMKE
MIA MACKIE
MAPLE CREEK, SK BREEDER: BBSF
CODY SCHEIRLINCK DEL BONITA, AB BREEDER: BJ'S
ALEXANDRA (LEXIE) O'CONNOR VIBANK, SK BREEDER: XLP
JESSE PROCYK FILLMORE, SK BREEDER: JESSE PROCYK
C03102696 BJCC 1L 2023-01-04
C03103872 TWPH 105L 2023-01-03
C03103908 TSA 16L 2023-01-03
C03103180 JBS 1L 2023-01-02
C03104693 MHPH 101L 2023-01-01
C03104110 THR 301L 2023-01-01
MAR 5F DAISY 150K
S: MAR 109 FERNIE ET 5F
D: MAR 64A DAISY 323E
BBSF 9530 DOMINO 203K
S: H DOMINO 9530 ET D: BBSF 229C DOMINO 206G
BJ'S 38E STD KAP 33K
S: H70 - QUANTOCK D 589E
D: JEN STD KAP 38E
XLP SF JAZZY ET 61K
S: HARVIE OVHF EMPOWER ET 5F
D: CHULA-VISTA CONNIE 216C
JRP 183F SAPPHIRE 7B ET 713K
S: TH MASTERPLAN 183F
D: XLP 5L BOGARTS SAPHIRE 7B
CO3097752 AMJ 150K 2022-03-30
C03097249 GHMB 203K 2022-03-23
C03093008 BJCC 33K 2022-03-20
C03099984 XLP 61K 2022-02-22
C03099704 JRP 713K 2022-01-25

Open Show, Class 22, Two-Year-Old Cow with Calf born in 2024 - Heat #2
Sponsored by: McCoy Cattle Co.
JACKSON DENSCHIKOFF THORSBY, AB BREEDER: GH
ELIZABETH SCHAUB THORSBY, AB BREEDER: TLELL
PARKER DAVIS LETHBRIDGE, AB BREEDER: GH
GH 324G BRITISH KARI 82K
S: GH LUNAR ECLIPSE 324G
D: GH 41D BRITISHETTE 1042F
SKY 7F KORAL 229K
S: INNISFAIL WHR X651/723 4013 ET
D: TLELL 501C FIONA 7F
GH 170H LADY KRISY 41K
S: GH SO BLOCKBUSTER ET 170H
D: GH MVP LADY SMASH 302C
Open Show, Class 22, Two-Year-Old Cow with Calf born in 2024 - Heat #3
Sponsored by: Meridian Polled Herefords
SHAYNA BENSON WINNIPEGOSIS, MB BREEDER: RSF
MADELINE MCCAULEY RUSSELL, MB BREEDER: SNBR
HANNAH MACDONALD ORILLIA, ON BREEDER: FCC
KENNEDY MANNS AUSTIN, MB BREEDER: ICF
JORDY DOENZ WARNER, AB BREEDER: BAR-RZ
RSF GINGER 9K
S: SQUARE-D BULLSEYE 531E
D: RSF 18E GINGER 2G
SINNIBAR'S 401G ROSALEA 120K
S: MHPH 646D GUNFIRE ET 401G
D: SINNIBAR'S YELLOW ROSE 306H
FCC 8300F BETTY 4K
S: CHURCHILL RED BARON 8300F ET D: FCC 707E BETTY 24H
ICF WILMA 155E 115K
S: GHC C5 ATTENTION 155E
D: ICF WILMA 303T 317Y
BAR-RZ 50E YANISSA 4K
S: BAR-RZ 6964 EARL 50E
D: BAR-RZ 59T YANISSA 53Y
C03097597 GAH 82K 2022-02-11
C03093431 SKY 229K 2022-02-09
C03099968 GAH 41K 2022-01-30
C03091010 RSF 9K 2022-01-20
C03097144 SNBR 120K 2022-01-20
C03094503 GCFH 4K 2022-01-15
C03093024 ICF 115K 2022-01-15
C03094740 SPH 4K 2022-01-11


Open Show, Class 23, Cow born prior to 2022 with Calf born in 2024 - Heat #1 Sponsored by: Remitall West
RANK#EXHIBITED BY / FROM / BREEDER
HANNAH LEES
ARCOLA, SK BREEDER: BLAIR-ATHOL
GAVIN FLECK LAMPMAN, SK BREEDER: HMS
KARSTEN GRABLER CHERHILL, AB BREEDER: GH
ANDREW CHARLTON WEYBURN, SK BREEDER: JAC
JADE CHARLTON WEYBURN, SK BREEDER: JAC
/ S: SIRE / D: DAM
BLAIR-ATHOL 124E SASSY 145J
S: MCCOY 53A PATENT 124E
D: BLAIR-ATHOL 53 CC 95Y
HMS HI-CLIFFE 646 JUNIPER 3J
S: CHURCHILL ROCK 646D ET D: TCF GHC 11X MISS ULTRA 306A
GH WJP DESTINY'S OPTION 192J
S: B&C STOCK OPTION 6026D
D: GH UPTOWN DESTINY 25A
JAC 24C LISA LEE 4J
S: BLAIR-ATHOL 10Y HOMERUN 24C
D: JAC LISA LEE 3D
JAC 24C CONNIE 1J
S: BLAIR-ATHOL 10Y HOMERUN 24C
D: JAC CONNIE ET 33Y
Open Show, Class 23, Cow born prior to 2022 with Calf born in 2024 - Heat #2 Sponsored by: ANL Polled Herefords
GAGE CARTER DEL BONITA, AB BREEDER: GH
LYLA HARVIE OLDS, AB BREEDER: HARVIE
LOGAN SCHEIRLINCK DEL BONITA, AB BREEDER: BJ'S
KYLER KAMP REDVERS, SK BREEDER: AQUA-HOLLOW
GH ECLIPSE JEWEL 16J
S: GH 377X ECLIPSE 27E
D: GH UPTOWN LASS 309B
HARVIE OVHF MS FIREFLY 4J
S: EFBEEF BR VALIDATED B413
D: HARVIE MS FIREFLY ET 75G
BJ'S 4G MISS 2J
S: LJS MARK DOMINO 1321
D: BJ'S 56B MISS 4G
AQUA-HOLLOW JENN 42H
S: DTHF FARLEY 195F
D: AQUA-HOLLOW JENN 21D
Champion Mature Female Sponsored by: Lawview Herefords Reserve Champion Mature Female Sponsored by: Paddock Drilling
Grand Champion Female Sponsored by: Copper Creek Ranch
Reserve Grand Champion Female Sponsored by: Twelve Oaks Land & Cattle
/ TATTOO / BIRTHDATE
C03086887 DVL 145J 2021-04-01
C03082532 HMS 3J 2021-02-04
C03088433 WJP 192J 2021-02-03
C03085772 AJAC 4J 2021-02-01
C03085768 JJAC 1J 2021-01-27
C03082434 NHP 16J 2 2021-01-17
C03083596 JILL 4J 2021-01-14
C03083027 BJCC 2J 2021-01-03
C03071761 BB 42H 2020-02-29

Open Show, Class 26, Bull Calf born on or after January 1st, 2024 - Heat #1
Sponsored by: Arthur Polled Herefords
FAITH COLLINS OUTLOOK, SK BREEDER: HMS
JAYK MITCHELL VIBANK, SK BREEDER: PLA
TEEGAN HYNDMAN HAMIOTA, MB BREEDER: TEEG
HANNAH LEES ARCOLA, SK BREEDER: BLAIR ATHOL
MATTHEW CHARLTON WEYBURN, SK BREEDER: JAC
BASIL ARTHUR ALIDA, SK BREEDER: ARTHUR
LUCAS BIEGANSKI CARBERRY, MB BREEDER: SHEREFF
PARKER DAVIS LETHBRIDGE, AB BREEDER: DGB
HMS HI-CLIFFE 608H MATADOR 33M
S: MJT 15C ROYAL 608H
D: HMS HI-CLIFFE 646 JUNIPER 3J
PLA INFERNO 403M
S: NJW 119E 87G ENDORSEMENT 216J
D: KIRBY-LONEPINE SYBIL 403K
TEEG 22H CAL NAUGHTON 435M
S: BLAIR-ATHOL 206E TOPLINE 22H
D: KTCT 46C MOLLY 14F
BLAIR ATHOL AD 1G MAHOMES 25M
S: PCL 4013 GLITZ 1G
D: BLAIR-ATHOL 124E SASSY 145J
JAC RANGO 3M
S: SHF HORIZON D287 H022 ET
D: JAC 6C SHEEZ COUNTRY 8G
ARTHUR 1037 19K PONCHO 6M
S: PERKS RF 4Z PONCHO 1037 ET
D: ARTHUR 4R 6B MARVELLOUS ET 19K
SHEREFF DIGNIFIED 179J 5M
S: TH 183F DIGNIFIED 179J
D: SHEREFF XKEONA 1F 10K
DGB MISTER COPPER 2M
S: GH 7057 COPPERSTONE ET 11K
D: GH 170H LADY KRISY 41K
Open Show, Class 26, Bull Calf born on or after January 1st, 2024 - Heat #2
Sponsored by: Jackson Creek Polled Herefords
SHAYNA BENSON WINNIPEGOSIS, MB BREEDER: RSF
GAGE CARTER DEL BONITA, AB BREEDER: GH
TY AIRRIESS WADENA, SK BREEDER: AIRRIESS ACRES
LOGAN SCHEIRLINCK DEL BONITA, AB BREEDER: BJ'S
KENNEDY MANNS AUSTIN, MB BREEDER: MANNS
JESSE PROCYK FILLMORE, SK BREEDER: JRP
PHH 22J MAGNUM 1M
S: GRHK 27A HOMETOWN 22J
D: RSF GINGER 9K
GH INSIGHT MARCO 7M
S: SHF INSIGHT F158 J364
D: GH ECLIPSE JEWEL 16J
AIRRIESS ACRES FREEDOM ET 46M
S: RST FINAL PRINT 0016
D: AIRRIESS ACRES KANDY 68J
BJ'S MICHIGAN
S: UU 31F CALCUTTA MADE 84J
D: BJ' 4G MISS 2J
PBHR KM MR WORLD WIDE 115K 2M
S: CSC 701 BOLDER 901
D: ICF WILMA 155E 115K
JRP 36F WINSTON 800M
S: JRP WINSTON 252C PHOENIX 36F
D: JRP BAMBI'S ACTION 800D
SINNIBARS 183F DON MARCO 105M
S: TH MASTERPLAN 183F
D: SINNIBAR'S 203D DONNA KAY 207K
C03113253 HMS 33M 2024-03-06
C03111831 PLA 403M 2024-02-29
C03113303 TEEG 435M 2024-02-15
C03114631 DVL 25M 2024-02-11
C03113085 MJAC 3M 2024-02-09
PENDING AFPH 6M 2024-02-06
C03113543 JASC 5M 2024-02-05
C03113095 DGBF 2M 2024-02-02
C03113423 PHH 1M 2024-01-30
C03113590 GAH 7M 2024-01-20
C03114234 TSA 46M 2024-01-14
C03112389 BJCC 2M 2024-01-11
C03113599 PBHR 2M 2024-01-10
C03112718 JRP 800M 2024-01-06
C03113156 SNBR 105M 2024-01-05

Open Show, Class 27, Yearling Bull born in 2023 - Heat #1
Sponsored by: Pleasant Hill Farm / Benson Nutrition
ALANNAH WOOD WALDHEIM, SK BREEDER: LVSK
MIA MACKIE
MAPLE CREEK, SK BREEDER: WBHR
TEEGAN HYNDMAN HAMIOTA, MB BREEDER: TEEG
JAYK MITCHELL VIBANK, SK BREEDER: PLA
ELIZABETH SCHAUB THORSBY, AB BREEDER: SKY
LVSK LUMEN 3L
S: PCL 6153 HYPER DRIVE 30H
D: PCL 113F STARLET 74J
WBHR LOGICAL 2L
S: HILLS-GALORE 44Z REWIND 147E
D: WBHR FANCY 2F
TEEG 22H RICKY BOBBI 335L
S: BLAIR-ATHOL 206E TOPLINE 22H
D: KTCT 46C MOLLY 14F
PLA ICETIME 132L
S: NJW 73S W18 DOWNHOME 21ZET
D: XLP 41F RITA 132
SKY 3G LANDSHARK 370L
S: HMS HI-CLIFFE 225D GUINNESS 3G
D: FCC 13B BETTY 21E
Open Show, Class 27, Yearling Bull born in 2023 - Heat #2
Sponsored by: Embryo Genetics
MATTHEW CHARLTON WEYBURN, SK BREEDER: CRITTENDEN
JESSE PROCYK FILLMORE, SK BREEDER: HI-CLIFFE
SOPHIA BUSMANN FORTMACLEOD, AB BREEDER: CIRCLE S RANCH
ALEXANDRA (LEXIE) O'CONNOR VIBANK, SK BREEDER: XLPA
JAC 173D ENDORSE ET 10L
S: NJW 79Z Z311 ENDURE 173D ET
D: HAROLDSONS JVJ SARAH 521X 14Z
HI-CLIFFE 901 LED ZEPPELIN 11L
S: CSC 701 BOLDER 901
D: HI-CLIFFE 646D JESSICA 1J
CSR 144F 241S GOGGLES 37L
S: CSR 1W NEWLINE ET 144F
D: CSR 222D WILMA 14H
XLPA AEROSMITH 97L
S: HARVIE OVHF EMPOWER ET 5F
D: ANL 425X MARVEL 3807A 97D

C03102001 LVSK 3L 2023-03-24
C03102952 MS 2L 2023-03-11
C03106216 TEEG 335L 2023-03-03
C03107865 PLA 132L 2023-03-01
C03109330 SKY 370L 2023-03-01
C03107964 MJAC 10L 2023-02-23
C03104432 CMI 11L 2023-02-21
C03107115 DSB 37L 2023-02-09
C03106482 97L 2023-01-24

Open Show, Class 27, Yearling Bull born in 2023 - Heat #3
Sponsored by: Chevalier Polled Herefords
RANK#EXHIBITED BY / FROM / BREEDER
ALEXANDRA (LEXIE) O'CONNOR VIBANK, SK BREEDER: XLP
MYLES VAN SICKLE RED DEER COUNTY, AB BREEDER: UU
DAPHNEY SCHAUB THORSBY, AB BREEDER: C
REBECCA HESS NORTH GOWER, ON BREEDER: KIDS
CONNOR MCNAUGHTON GRAVENHURST, ON BREEDER: RW
ANIMAL / S: SIRE / D: DAM
XLP 137G JOURNEY 500L
S: RVP 8Y GLOBE TROTTER ET 137G
D: XLP 41F REESE 500H
UU 69H RED LAD 6L
S: UU 24E ZAM LAD 69H
D: UU 13D RED LADY 4G
C BELL HEIR 3062
S: C CJC BELLE HEIR ET D: C 7369 CANADA LASS 0288
KIDS LEGEND 8C 1L
S: HARVIE OVHF EMPOWER ET 5F
D: KIDS 521X CHARITY 1T 8C
RW MHPH 240J LEGACY 102L
S: KJ MHPH RW 364C MEDIA 240J ET D: 6MC T/R 561C SHELBY 013 ET
Reserve Champion Yearling Bull Sponsored by: HMS Hi-Cliffe
Open Show, Class 28, Two-Year-Old Bull born in 2022
Sponsored by: Thornbank Farms
RANK#EXHIBITED BY / FROM / BREEDER
SOPHIA BUSMANN FORT MACLEOD, AB BREEDER: CIRCLE S RANCH
CODY SCHEIRLINCK DEL BONITA, AB BREEDER: YV
ALEXANDRA (LEXIE) O'CONNOR VIBANK, SK BREEDER: XLP
ANIMAL / S: SIRE / D: DAM
CSR 16F K EDITION 54K
S: CSR 222D BRAXTON 16F
D: BP 78B MISS WAYNE 11D
YV 12F MR. SILVER DUKE 5K
S: YV 101D MR. DUKES SKY 112F
D: YV 13F MS SILVER CARGO 35H
XLP JRP RED ROCK 1K
S: TH MASTERPLAN 183F
D: XLP 75Z MANDY 117H
Champion Two Year Old Bull Sponsored by: Mission Ridge Herefords
Reserve Champion Two Year Old Bull Sponsored by: RSK Farms
Grand Champion Bull Sponsored by: Allenhurst Herefords
Reserve Grand Champion Bull Sponsored by: Copper Creek Ranch

# / TATTOO / BIRTHDATE
C03106480
XLP 500L 2023-01-21
C03107371 WVS 6L 2023-01-20
44471115 3062 2023-01-05
C03102593 KIDS 1L 2023-01-03
C03103556 RW 102L 2023-01-02
C03107118 DSB 54K 2022-04-03
C03095486 YV 5K 2022-02-02
C03095819 XLP 1K 2022-01-03
Open Show, Class 29, Three head from one family (siblings)
Sigga
Jackson
Mia
Matthew
Emmit
Connor
Measha




Team Judging
Sponsored by: Bob & Joyce Gordon & Family
1st Place: ________________________________
2nd Place: _______________________________
3rd Place: ________________________________
4th Place: ________________________________
Team Marketing
Sponsored by: Bob & Joyce Gordon & Family
1st Place: ________________________________
2nd Place: _______________________________
3rd Place: ________________________________
4th Place: ________________________________
Sponsored by: TKO Ranch
Section A
Mini Herf: ________________________________
Pee Wee: _________________________________
Junior: ____________________________________
Intermediate: ____________________________
Senior: ___________________________________
Section B
Mini Herf: ________________________________
Pee Wee: _________________________________
Junior: ____________________________________
Intermediate: ____________________________
Senior: ___________________________________
Section C
Mini Herf: ________________________________
Pee Wee: _________________________________
Junior: ____________________________________
Intermediate: ____________________________
Senior: ___________________________________
Section D
Mini Herf: ________________________________
Pee Wee: _________________________________
Junior: ____________________________________
Intermediate: ____________________________
Senior: ___________________________________
Sponsored by: Manitoba Junior Hereford Assoc.
Section A
Mini Herf: ________________________________ Pee Wee: _________________________________
Junior: ____________________________________
Intermediate: ____________________________
Senior: ___________________________________
Section B
Mini Herf: ________________________________
Pee Wee: _________________________________ Junior: ____________________________________
Intermediate: ____________________________
Senior: ___________________________________
Section C
Mini Herf: ________________________________
Pee Wee: _________________________________ Junior: ____________________________________
Intermediate: ____________________________ Senior: ___________________________________
Photography
Sponsored by: Prairie Pistol Design
Section A
Mini Herf: ________________________________
Pee Wee: _________________________________
Junior: ____________________________________
Intermediate: ____________________________
Senior: ___________________________________
Section B
Mini Herf: ________________________________
Pee Wee: _________________________________
Junior: ____________________________________
Intermediate: ____________________________
Senior: ___________________________________
Section C
Mini Herf: ________________________________
Pee Wee: _________________________________
Junior: ____________________________________
Intermediate: ____________________________
Senior: ___________________________________
Provincial Booth Competition
Sponsored by: Parks Auction Service
1st Place: ________________________________
Provincial Scrapbook
Sponsored by: Virden Animal Hospital
1st Place: ________________________________
Stall Competition
Sponsored by: Pizza Hut & Lochwood Farms
Wednesday: ______________________________
Thursday: ________________________________
Friday: ___________________________________
Saturday: ________________________________
Individual Judging
Sponsored by: Manitoba Hereford Association
Pee Wee: _________________________________
Junior: ____________________________________
Intermediate: ____________________________
Senior: ___________________________________
Individual Public Speaking
Sponsored by: Keith Gilmore Foundation
Prepared
Pee Wee: _________________________________
Junior: ____________________________________
Intermediate: ____________________________
Senior: ___________________________________
Impromptu
Pee Wee: _________________________________
Junior: ____________________________________
Intermediate: ____________________________
Senior: ___________________________________
Individual Scrapbook
Sponsored by: Manitoba Hereford Association
Pee Wee: _________________________________
Junior: ____________________________________
Intermediate: ____________________________
Senior: ___________________________________

1
2
3
4th Pl
Little League Grooming
Sponsored by: Hyndman Cattle Co. & Red Fox Ranch
Premier Breeder
Sponsored by: Justamere Ranch
Major Jay Fox Ambassador Award
Sponsored by: Justamere Ranches & Fox Families
Team Grooming
Sponsored by: Alberta Junior Hereford Assoc.
1
2nd Pl
3
4
CJHA Advertising Competition
Sponsored by: Maritime Junior Hereford Assoc.
1
Overall Major Jay Fox Ambassador Award
Sponsored by: Justamere Ranches & Fox Families
Grand Aggregate
Sponsored by: Manitoba Junior Hereford Assoc.
Overall Bob Gordon Memorial Award Grand Aggregate Sponsored by: Gordon Family













Cooper Creek Ranch
Bonanza Legacy Sponsor
When the Stevenson family founded Copper Creek Ranch in 1999, their own children became involved in the Canadian Junior Hereford Association and Sharon Stevenson participated as an adult advisor In 2009, they hosted Bonanza right on the ranch in Princeton, British Columbia
But since their children have grown, the Stevensons have taken it upon themselves to stand behind this annual event, to ensure the survival of an event where young cattle people can gather in camaraderie and friendly competition, with some serious hands-on learning and education and experience that stands to influence their adult lives both in and out of the cattle business It also allows them to experience the diversity and landscape of their country, along with the different types of agricultural operations and production practices The Stevensons have been the major sponsors of Bonanza for over 20 years and are proud of that tradition of supporting our Hereford youth in the industry. In conjunction with this, they fully support all fund-raising junior programs to lend support wherever they can in their wider Hereford community. As they do every year, they wish you all a fun and rewarding time at the show!




Bob Gordon was instrumental in the creation of the Canadian Junior Hereford
Association. In the late 70’s, he witnessed the development of successful youth cattle programs across North America and while serving as a Canadian Hereford Association board member he proposed the formation of the Canadian Junior Hereford program.
Today the CJHA is an active and busy organization and hosts one of the largest junior events in Canada - Bonanza Many thanks to the Gordon Family for supporting the Bob Gordon Memorial Award and to Bob Gordon for his vision and support of the CJHA.
The Major Jay Fox Memorial Ambassador Awards program recognizes a CJHA member ambassador who exemplifies a positive attitude, willingness to help others, eager to learn and participate in Bonanza activities, and have good knowledge of the Hereford breed. Division Ambassadors are selected by their peers from their age category during Bonanza and an Overall Ambassador Award is selected by the entire Junior membership at Bonanza Major Jay Fox was a young leader in agriculture and served on the Board of the Manitoba Beef Producers fo 6 yearsincluding a term asPresident. He was a loyal, hardworking and tireless volunteer for his community and industry. Many thanks to Justamere Ranches and the Fox families for continuing to sponsor this special award for CJHA members.




Marshalls, Ringmen, Clerks, Parents and Fellow Breeders;
On behalf of the entire The Bonanza planning team, we want to extend our heartfelt gratitude to you for your invaluable contribution as a volunteer. Your dedication and hard work have made a significant difference in the success of Bonanza.
Whether you assisted with organizing our recent show, provided support during our educational seminars, or contributed in any other capacity, your efforts have not gone unnoticed Your enthusiasm and commitment were truly inspiring, and we are immensely grateful to have had you on our team.
Volunteers are crucial in advancing our mission to promote and preserve the Hereford breed. Your willingness to give your time and energy embodies the spirit of community and collaboration that defines our organization.
We sincerely appreciate your contributions and look forward to continuing our work together to support Hereford enthusiasts and breeders. Please know that your efforts have made a lasting impact, and we are deeply thankful for your generosity.
Thank you once again for your dedication and support. We are privileged to have you as part of the Bonanza family.
The Bonanza Planning Committee See you in Olds, AB



