PUENTES (ARCO Y CATENARIA)

Page 1


D o c e n t e : I n g . R i c h a r d D e p a z B l á c i d o .

ASENCIO CASTILLO CAROLAY LAZARO SUAREZ ADA

UNIVERSIDAD NACIONAL SANTIAGO AN FACULTAD DE INGENIERÍA

ESCUELA PROFESIONAL DE ARQUITECTU

En este trab estructuras e Se mues mostramo curso y las h

Sabemos perte conocimie

IVERSIDAD NACIONAL SANTIAGO AN FACULTAD DE INGENIERÍA

ESCUELA PROFESIONAL DE ARQUITECTU

In this work w of bridge st All processe our learnin dev We know of belonging to d

INTEGR

ASENCIO CAST

C A T E D R A

Carolay
LAZARO SUA Ada

CONTENIDO

Introducción Introduction

Ubicación:

Ubicación micro

Aplicación en puentes:

Puente en arco

Puente en catenaria

Introducción

UBICACIÓN

El proyecto se encuentra ubicado en el valle del Callejón de Huaylas, en el norte del Perú, departamento de Áncash, la provincia de Yungay, distrito de Shupluy, en el lado noroeste de la ciudad, aledaño a las aguas correspondientes del Río Santa, que atraviesa completamente a la ciudad.

PERÚ ANCASH YUNGAY SHUPLUY

El actual puente San Cristóbal une a los pueblos de Tingua y Shupluy, e interconecta a los distritos de Shupluy y Cascapara.

CATENARIA

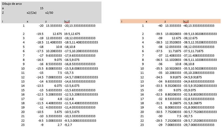
La forma del arco se reparten las tensiones de manera que se producen compresiones en todas las partes del arco.

Propuesta de puente vehicular con dos vías.

Es la forma funicular que adopta un cable sin carga y es determinada únicamente por el propio peso del cable.

Propuesta de puente vehicular con dos vías

Puen

PUENTE CON CATENARIAS

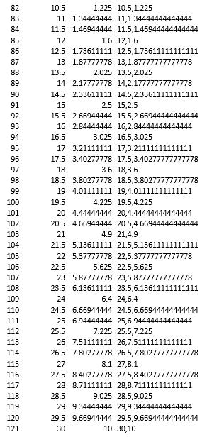
CATENARIA 01

CATENARIA 02

CATENARIA 01

PREDIMENSIONAMIENTO DE UNA ESTRUCTURA EN CATENARIA 01

A METRADO DE CARGAS

P/A = 0.80 ~ 1.0 ~ 1.20 t/m2

f = 2500 o 3500 kg/cm2

f = 80 ~ 145 kg/cm2

f = 210 ~ 350 kg/cm2

f = 9600 kg/cm2

A(influencia) (m2): suma de todas las áreas de influencia, como la plataforma de circulación del puente

Tmax en kg

A(arco) en cm2

A(cable) en cm2 L en m

B PARÁMETROS DE ARCO

Cable sometido a carga constante por unidad de abscisa.

Parámetro a

Tensión mínima

Tensión máxima

5 242 88 a= L 8 f = 29 98 2 191 87

CATENARIA 02

PREDIMENSIONAMIENTO DE UNA ESTRUCTURA EN CATENARIA 02

A METRADO DE CARGAS

P/A = 0 80 ~ 1 0 ~ 1 20 t/m2

f = 2500 o 3500 kg/cm2

f = 80 ~ 145 kg/cm2

f = 210 ~ 350 kg/cm2

f = 9600 kg/cm2

A(influencia) (m2): suma de todas

las áreas de influencia, como la plataforma de circulación del puente

Tmax en kg

A(arco) en cm2

A(cable) en cm2 L en m

B PARÁMETROS DE ARCO

x 640 = 512

Cable sometido a carga constante por unidad de abscisa

Parámetro a

Tensión mínima

Tensión máxima

= 13 33

= 13 33 L 8 f = 60 01 2

CATENARIA 01
CATENARIA 02
CATENARIA 02

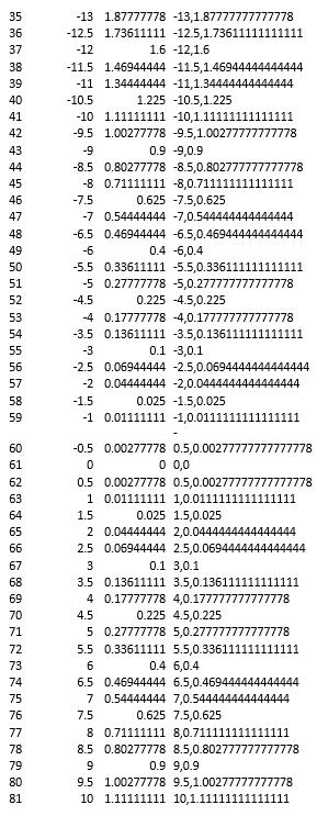
Selección de la sección: Circulo

PREDIMENSIONAMIENTO

Selección de la sección: Círculo

A PARA LA ESTRUCTURA EN CABLE

A.1. TORRE

De los datos anteriores 5 242. 88 T

Para 53°

Suponiendo dos columnas de concreto para la torre

CATENARIA 01

= peso específico = volumen

CATENARIA 02

= peso específico = volumen

torre

Puente 02

PUENTE CON ARCOS

ARCO

PREDIMENSIONAMIENTO DE UNA ESTRUCTURA EN AR

A. METRADO DE CARGAS

P/A = 0 80 ~ 1 0 ~ 1 20 t/m2

f = 2500 o 3500 kg/cm2

f = 80 ~ 145 kg/cm2

f = 210 ~ 350 kg/cm2

f = 9600 kg/cm2

A(influencia) (m2): suma de todas las áreas de influencia, como la plataforma de circulación del puente.

A q PA influencia L

Tmax en kg

A(arco) en cm2

A(cable) en cm2 L en m

B PARÁMETROS DE ARCO

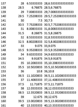
Cable sometido a carga constante por unidad de abscisa

Parámetro a

Tensión mínima Tensión máxima

0.8 x 4 influencia m2 PA A q influen L 6 f = a= L 8 f = 60 2 384 346 13

C. PREDIMENSIONAMIENTO

DE ACERO

DE MADERA DE CONCRETO

CONCRETO

Selección del perfil

P/A = 0.80 ~ 1.0 ~ 1.20 t/m2

f = 2500 o 3500 kg/cm2

f = 80 ~ 145 kg/cm2

f = 210 ~ 350 kg/cm2

f = 9600 kg/cm2

Nota : Dimensiones en la base

18542. 68 A arco = ~ 18543

Para determinar la dimensión en el punto mas alto

D ECUACIÓN DEL ARCO

E. ECUACIÓN DEL ARCO PARA EL ESPESOR DE CONCRETO

Datos del arco eje:

E 1 Espesor inferior (eje b) E 2 Espesor superior (eje a)

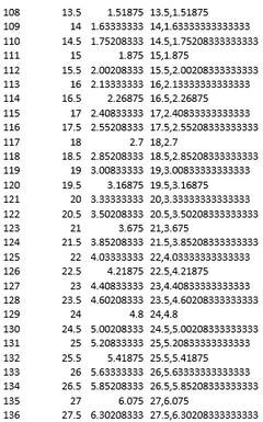
ARCO

Sección cuadrada: BLOQUE DE ANCLAJE

puntual

arco de cocncreto

bloques de anclaje 60. 00 m

10 00 m 12 00 m

8 00 m

CATENARIA

VISTA FRONTAL
VISTA HORIZONTAL
VISTA LATERAL

ARCO

VISTA FRONTAL
VISTA HORIZONTAL
VISTA LATERAL

Turn static files into dynamic content formats.

Create a flipbook
Issuu converts static files into: digital portfolios, online yearbooks, online catalogs, digital photo albums and more. Sign up and create your flipbook.
PUENTES (ARCO Y CATENARIA) by Carolay Asencio - Issuu