Determining the Age-Size Relationship of Panulirus argus in the Southwest Area of Puerto RIco

Page 1


Taken by: https://www.dreamstime.com/stock-images-hogfish-reef-chinchorro-banks-mexico-image31688864:

Determining the age-size relationship of Panulirus argus in the southwest area of Puerto Rico.

Ana G. Medina Martinez

Content Introduction and

Justification

Research objectives

Materials and Methods

Results

Conclusion

Recommendations

Introduction

The Caribbean Spiny Lobster is a nocturnal crustacean. They vacate their old shells while simultaneously absorbing water , expanding their body size. At night, they move away from the cravices and holes in coral reefs to feed on a wide variety of marine invertebrates. They grow by molting.

Taken By: https://www.saltyunderground.com/3-marine-invertebrates

Taken By: https://www.sealifebase.se/Photos/ThumbnailsSummary.php?Genus=Panulirus&Species=argus

Panulirus guttatus
Panulirus argus

Caribbean Spiny Lobster Panulirus argus

This is the most economically valuable species in Puerto Rico. Representing up to 30% of the total commercial catch in Puerto Rico.

Unlike fish, estimation of age has been a challenge in lobsters, since it wasn’t until recent years that ossicles were considered.

Taken By:https://fineartamerica.com/featured/1-caribbean-spiny-lobster-sally-weigand.html

Justification

There are signs that this animal is being overfished. Many factors play crucial roles in influencing the productivity of lobsters.

Fishing pressure can also influence length and growth of P. argus

Taken By:https://pt.dreamstime.com/o-mapa-das-cara%C3%ADbas-ilustra%C3%A7%C3%A3o-do-vetor-image107059815

By: https://www.researchgate.net/figure/The-Caribbean-spiny-lobster-Panulirus-argus

In the U.S., fishery management actions, plans, and rules of commercially important species are mostly based on stock assessments of individual species or closely related groups of species.

Objetives of the Study:

Estimate and construct the age structure of P. argus population of the south-west coast of Puerto Rico using ossicles.

In addition, this allowed us to construct length-age and weight-age relationships which are fundamental for stock assessment.

Stock assesments: scientific evaluations conducted to estimate abundance, status, annual catch limit (ACL) and health of important fisheries.

Materials and Methods

Taken By: Ana Medina

Materials and Methods

More than a 100 lobsters where capture from the southwest area of Puerto Rico. Every lobster captured was tagged with a number.

From every localization a lobster was captured, we have the coordinates, the the area and the time and duration of the dive.

Taken By:

https://seafoodsustainability.org/a-first-for-caribbean-fisheries-bahamas-spiny-lobster-earns-msc-certification-2/:

Determine the sex, if female does it have eggs or spermataphore?

Laboratory Work

Weight the animal and measure carapace lenght.

Detect if its molting. Does it have any wounds?

Taken By: Ana Medina

This figure shows:(A) P. argus Opened, Exposing Hepatopancreas, Stomach, and Gonads. (B) Stomach in Preservation Solution.

Taken By Ana Medina

Laboratory Work

Stomach opened
Taken By: Ana Medina

Laboratory Work

Ossicle exposed
Taken By: Ana Medina

Laboratory Work

Ossicle divided into parts

First layer of epoxi ready to bake for 3 hours.

Laboratory Work

Ossicles placed in the firts layer of epoxi to be covered with a another layer of epoxi.

Baked for another 3 hours

Final result: a clear cube with the sample inside.

Taken By: Ana Medina
Taken By: Ana Medina

Taking Pictures of each sample.

Taken By: Ana Medina

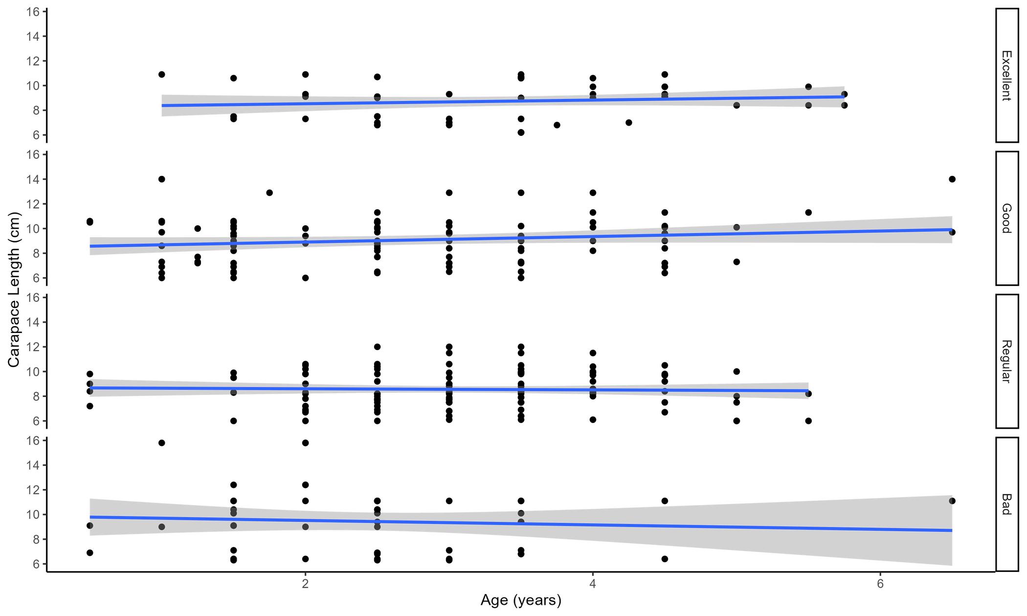
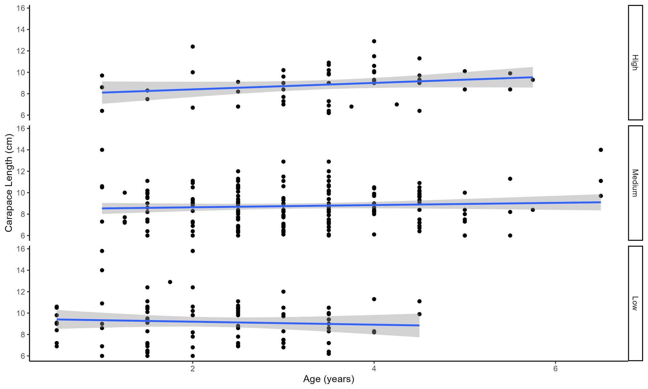
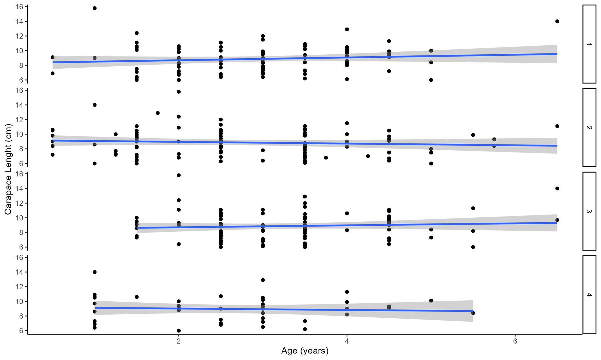
Band Reading

All ossicles were read by a total of 4 readers to confirm the quantity of the bands and verify band counting precision between readers.

Each reader made two estimates of the maximum and the minimum bands that the animal showed in the image. Then the average of those two estimates were calculated to determine the age.

By: Ana Medina

Taken

on all these inary analyses, the sed for final analysis tered by: i) reader: eader 1 and 3 were ered; ii) quality of the s: only images ied as “Excellent” and ” were considered, and nfidence of the reading: High”, and “Medium” used. the 100, 35 ossicles used for the final es.

Linear models and the von Bertalanffy growth model were applied to this data.

TakenBy:https://www.lookphotos.com/de-de/bilder/71310404-Karibik-Languste-Panulirus-Argus-Karibik:

Ludwig von Bertalanffy

The von Bertalanffy Growth Model (1938):

This model assumes that growth of living organism overtime is not linear but rather follows a sigmoidal curve.

Results

Plots showing the distribution of (a) carapace length, (b) weight, and (c) age with pink shading for female lobsters (F) and blue shading for male lobsters (M).

Relationships between (a) carapace length and age, (b) weight and age, and (c) carapace length and weight are reported for female lobsters (F, pink) and male lobsters (M, blue).

Comparison of von Bertalanffy (a) growth rate k values and (b) maximum length (Linf) for Caribbean Spiny Lobster P. argus populations across the Caribbean. The gray points are from Leon (2005) and labeled by their respective region and the black points are the mean estimates (±standard error) for all lobsters from this study.

Conclusion

The age, carapace length, and weight of Caribbean Spiny Lobster has been determined for a total of 35 individuals from southwest Puerto Rico.

The quality of the images significantly impacted the outcomes, which indicates that the technique can be further enhanced through continuous training of new readers and continuous practice of the more experienced.

Conclusion

Even though some filtering of the images and readers used in this study was necessary due to readers experience and image quality, the age-length and age-weight relationship can be considered in further analysis of the status of the lobster population in the study area.

Consequently, there was considerable variability in the age-length, age-weight, and von Bertalanffy relationships from this study.

Recomendations

Ongoing ossicle age training.

Collaborating with fishermen and restaurants who can donate the carapace (stomach) part to this type of studies instead of sacrificing wild lobsters .

Create a research cooperative agreement if more samples are needed.

Recomendations

Continue to promote to the community that it is illegal to fish female lobsters with eggs and that the minimum carapace length to catch lobster is 3.5 inches.

Reinforce regulations for a sustainable Caribbean Spiny Lobster fishery in Puerto Rico.

Acknolegments: Graduate Commitee

DRNA SEAMAP

Caribbean

Fisheries

Managment Council

Turn static files into dynamic content formats.

Create a flipbook
Issuu converts static files into: digital portfolios, online yearbooks, online catalogs, digital photo albums and more. Sign up and create your flipbook.
Determining the Age-Size Relationship of Panulirus argus in the Southwest Area of Puerto RIco by Caribbean Fishery Management Council - Issuu