Integrating Mobility Focused Land Use, Zoning Reform, and Housing Policy in Tampa Bay

Page 1

FEASIBILITY TESTING & CASE STUDIES

1
Integrating Mobility Focused Land Use, Zoning Reform and Housing in Tampa Bay | APA Florida 2023 Annual Conference
Coding for affordability, diversity, transitsupportiveness, and walkability.

ADVANCING COMMON GOALS

Housing Affordability & Diversity

Tilt the playing field to incentivize affordable housing and a wider diversity of housing types.

Transit-Supportiveness & Walkability

Align land use and mobility planning to create more sustainable and compact forms of development and promote transit and active transportation as realistic alternatives to driving.

2
Integrating Mobility Focused Land Use, Zoning Reform and Housing in Tampa Bay | APA Florida 2023 Annual Conference

DRIVERS SHAPING PLANNING & CODING

Financial & Market

POLICY & CODE DEVELOPMENT Use, Density, Form, & Parking

Feasibility Building Code & Construction Methods Site Conditions & Context Mobility Options
Integrating Mobility Focused Land Use, Zoning Reform and Housing in Tampa Bay | APA Florida 2023 Annual Conference

FEASIBILITY STUDIES & FINANCIAL TESTS

4 Integrating Mobility Focused Land Use, Zoning Reform and Housing in Tampa Bay | APA Florida 2023 Annual Conference

FEASIBILITY STUDIES & FINANCIAL TESTS

US19 Multimodal Corridor Study, Pinellas County, Florida

Site Development Studies

Bonus Feasibility Tests

Tests suggested significant density increases and parking reductions required to achieve 40% affordable units at 60% AMI. With ROI held constant, density needed to increase from 24 DU/A to over 90 DU/A due to cost per unit of structured parking.

Integrating Mobility Focused Land Use, Zoning Reform and Housing in Tampa Bay | APA Florida 2023 Annual Conference

FEASIBILITY STUDIES & FINANCIAL TESTS

HART TOD Pilot Project, HART, City of Tampa, Hillsborough County, Hillsborough Planning Commission, Hillsborough TPO

Feasibility by Context for TOD Development Types

TOD development types (at market rates) feasible in more urban locations but challenging in suburban retrofit locations.

Integrating Mobility Focused Land Use, Zoning Reform and Housing in Tampa Bay | APA Florida 2023 Annual Conference

FEASIBILITY STUDIES & FINANCIAL TESTS

Financial Impacts of Reduced Parking

20% parking reduction only a marginal positive impact on financial feasibility of projects in locations with stronger residential market conditions.

(Greater parking reductions have been granted through Planned Development in City of Tampa so are generally available through discretionary approval.)

HART TOD Pilot Project, HART, City of Tampa, Hillsborough County, Hillsborough Planning Commission, Hillsborough TPO
Integrating Mobility Focused Land Use, Zoning Reform and Housing in Tampa Bay | APA Florida 2023 Annual Conference

FEASIBILITY STUDIES & FINANCIAL TESTS

Financial Impacts of Reduced Parking

Workforce housing feasible for middle density projects with land subsidy and reduced parking. Public interventions not as impactful at higher densities and locations with lower per square foot rents. Little “head room” for densitybased incentives given high existing density allowance, small site sizes, and low scale of adjacent development in more urban locations and poor market conditions in more suburban locations.

HART TOD Pilot Project, HART, City of Tampa, Hillsborough County, Hillsborough Planning Commission, Hillsborough TPO
Integrating Mobility Focused Land Use, Zoning Reform and Housing in Tampa Bay | APA Florida 2023 Annual Conference

DEVELOPMENT TYPOLOGY RESEARCH

Integrating Mobility Focused Land Use, Zoning Reform and Housing in Tampa Bay | APA Florida 2023 Annual Conference

DEVELOPMENT TYPOLOGY RESEARCH

Research to Guide Planning & Coding

Focus on Multifamily & Multifamily Mixed Use Projects Since 2006

Document Scale, Context, Density/Intensity, & Configuration.

Identify Common Characteristics & Outliers

Data from property appraiser records supplemented by site plan approval data. Be careful with commercial sources.

Integrating Mobility Focused Land Use, Zoning Reform and Housing in Tampa Bay | APA Florida 2023 Annual Conference

PROJECT YIELD & CONFIGURATION

MARKET RATE

6+ STORY MULTIFAMILY STRUCTURED PARKING

AVERAGES

Units per Project: 318

Density: 183.0 DU/A

Intensity: 5.0 FAR

Site Size: 2.7 ACRES

4-5 STORY MULTIFAMILY STRUCTURED PARKING

2-4 STORY MULTIFAMILY SURFACE PARKING

ATTACHED SINGLE FAMILY & SF+ADU

Units per Project: 353

Density: 80.6 DU/A Intensity: 2.0 FAR

Site Size: 3.7 ACRES

Units per Project: 281

Density: 22.0 DU/A

Intensity: 0.5 FAR

Site Size: 12.7 ACRES

AFFORDABLE

MULTIFAMILY

AVERAGES

Units per Project: 6

Density: 17.1 DU/A

Intensity: 2.1 FAR

Site Size: 0.3 ACRES

Units per Project: 107

Density: 43.4 DU/A

Intensity: 1.1 FAR

Site Size: 4.1 ACRES

* Indicates project approved with reduced parking and supported by a mix of surface parking types, including tuck under, on-street, and alley-accessed.

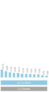
362 00 279 76 267 72 211 47 206 42 172 26 171 68 160 88 130 61 94 40 75 85 62 81 59 85 120 29 113 39 100 42 95 14 90 24 89 77 79 02 75 19 75 00 69 41 68 97 63 62 56 84 56 42 54 69 53 27 51 09 30 88 28 98 28 73 23 90 21 70 21 22 20 98 19 90 19 66 16 31 16 18 14 88 32 72 25 00 21 43 19 36 18 18 15 25 14 29 13 47 13 33 12 50 8 70 7 69 105 01 99 42 89 89 39 65 29 02 26 05 20 10 18 05 15 46 13 18
AFFORDABLE 362-206 120-51 DU/A 31-15 DU/A 105-40 DU/A RANGE 10+ Stories 4-5 Stories 5-7 STORIES Structured Surface Structured PARKING Surface * * 29-13 DU/A
AVERAGES
AVERAGES
6-10 Stories 172-59 DU/A 2-4 Stories 2-4 Stories DWELLING UNITS PER ACRE
33-12 DU/A
Stories
2-3
AVERAGES
DWELLING UNITS
ACRE
PER
Integrating Mobility Focused Land Use, Zoning Reform and Housing in Tampa Bay | APA Florida 2023 Annual Conference

PROJECT YIELD & CONFIGURATION

362 00 279 76 267 72 211 47 206 42 172 26 171 68 160 88 130 61 94 40 75 85 62 81 59 85 120 29 113 39 100 42 95 14 90 24 89 77 79 02 75 19 75 00 69 41 68 97 63 62 56 84 56 42 54 69 53 27 51 09 30 88 28 98 28 73 23 90 21 70 21 22 20 98 19 90 19 66 16 31 16 18 14 88 32 72 25 00 21 43 19 36 18 18 15 25 14 29 13 47 13 33 12 50 8 70 7 69 105 01 99 42 89 89 39 65 29 02 26 05 20 10 18 05 15 46 13 18 MARKET RATE AFFORDABLE 362-206 120-51 DU/A 31-15 DU/A 105-40 DU/A RANGE 10+ Stories 4-5 Stories 5-7 STORIES Structured Surface Structured PARKING Surface * * 29-13 DU/A 4-5 STORY MULTIFAMILY STRUCTURED PARKING AVERAGES Units per Project: 353 Density: 80.6 DU/A Intensity: 2.0 FAR Site Size: 3.7 ACRES 2-4 STORY MULTIFAMILY SURFACE PARKING AVERAGES Units per Project: 281 Density: 22.0 DU/A Intensity: 0.5 FAR Site Size: 12.7 ACRES 6-10 Stories 172-59 DU/A 2-4 Stories 2-4 Stories DWELLING UNITS PER ACRE 33-12 DU/A 2-3 Stories ATTACHED SINGLE FAMILY & SF+ADU AVERAGES Units per Project: 6 Density: 17.1 DU/A Intensity: 2.1 FAR Site Size: 0.3 ACRES AFFORDABLE MULTIFAMILY AVERAGES Units per Project: 107 Density: 43.4 DU/A Intensity: 1.1 FAR Site Size: 4.1 ACRES 6+ STORY MULTIFAMILY STRUCTURED PARKING AVERAGES Units per Project: 318 Density: 183.0 DU/A Intensity: 5.0 FAR Site Size: 2.7 ACRES DWELLING UNITS PER ACRE
High rise projects limited to downtown and downtownadjacent locations. All configured as residential towers above parking podiums. Most provide ground floor retail. Types are the most land efficient and typically deliver quality frontage conditions driven by regulations and market conditions.
Integrating Mobility Focused Land Use, Zoning Reform and Housing in Tampa Bay | APA Florida 2023 Annual Conference

PROJECT YIELD & CONFIGURATION

362 00 279 76 267 72 211 47 206 42 172 26 171 68 160 88 130 61 94 40 75 85 62 81 59 85 120 29 113 39 100 42 95 14 90 24 89 77 79 02 75 19 75 00 69 41 68 97 63 62 56 84 56 42 54 69 53 27 51 09 30 88 28 98 28 73 23 90 21 70 21 22 20 98 19 90 19 66 16 31 16 18 14 88 32 72 25 00 21 43 19 36 18 18 15 25 14 29 13 47 13 33 12 50 8 70 7 69 105 01 99 42 89 89 39 65 29 02 26 05 20 10 18 05 15 46 13 18 MARKET RATE AFFORDABLE 362-206 120-51 DU/A 31-15 DU/A 105-40 DU/A RANGE 10+ Stories 4-5 Stories 5-7 STORIES Structured Surface Structured PARKING Surface * * 29-13 DU/A 4-5 STORY MULTIFAMILY STRUCTURED PARKING AVERAGES Units per Project: 353 Density: 80.6 DU/A Intensity: 2.0 FAR Site Size: 3.7 ACRES 2-4 STORY MULTIFAMILY SURFACE PARKING AVERAGES Units per Project: 281 Density: 22.0 DU/A Intensity: 0.5 FAR Site Size: 12.7 ACRES 6-10 Stories 172-59 DU/A 2-4 Stories 2-4 Stories DWELLING UNITS PER ACRE 33-12 DU/A 2-3 Stories ATTACHED SINGLE FAMILY & SF+ADU AVERAGES Units per Project: 6 Density: 17.1 DU/A Intensity: 2.1 FAR Site Size: 0.3 ACRES AFFORDABLE MULTIFAMILY AVERAGES Units per Project: 107 Density: 43.4 DU/A Intensity: 1.1 FAR Site Size: 4.1 ACRES 6+ STORY MULTIFAMILY STRUCTURED PARKING AVERAGES Units per Project: 318 Density: 183.0 DU/A Intensity: 5.0 FAR Site Size: 2.7 ACRES DWELLING UNITS PER ACRE
Higher intensity affordable projects each represent a unique set of conditions. Virtually all received significant parking reductions and various combinations of financial support.
Integrating Mobility Focused Land Use, Zoning Reform and Housing in Tampa Bay | APA Florida 2023 Annual Conference

PROJECT YIELD & CONFIGURATION

4-5 STORY MULTIFAMILY STRUCTURED PARKING

Avg Units per Project: 353

Avg Density: 80.6 DU/A

2-4 STORY MULTIFAMILY SURFACE PARKING

Avg Units per Project: 281

Avg Density: 22.0 DU/A

ATTACHED SINGLE

FAMILY & SF+ADU

Avg Units per Project: 6

Avg Density: 17.1 DU/A

Density Range: 51-120 DU/A

Avg Intensity: 2.0 FAR

Avg Site Size: 3.7 ACRES

Density Range: 15-31

Avg Intensity: 0.5 FAR

Avg Site Size: 12.7 ACRES

Density Range: 8-33 DU/A

Avg Intensity: 2.1 FAR

Avg Site Size: 0.3 ACRES

362 00 279 76 267 72 211 47 206 42 172 26 171 68 160 88 130 61 94 40 75 85 62 81 59 85 120 29 113 39 100 42 95 14 90 24 89 77 79 02 75 19 75 00 69 41 68 97 63 62 56 84 56 42 54 69 53 27 51 09 30 88 28 98 28 73 23 90 21 70 21 22 20 98 19 90 19 66 16 31 16 18 14 88 32 72 25 00 21 43 19 36 18 18 15 25 14 29 13 47 13 33 12 50 8 70 7 69 105 01 99 42 89 89 39 65 29 02 26 05 20 10 18 05 15 46 13 18 MARKET RATE AFFORDABLE 362-206 120-51 DU/A 31-15 DU/A 105-40 DU/A RANGE 10+ Stories 4-5 Stories 5-7 STORIES Structured Surface Structured PARKING Surface * * 29-13 DU/A 6-10 Stories 172-59 DU/A 2-4 Stories 2-4 Stories DWELLING UNITS PER ACRE 33-12 DU/A 2-3 Stories AFFORDABLE MULTIFAMILY AVERAGES Units per Project: 107 Density: 43.4 DU/A Intensity: 1.1 FAR Site Size: 4.1 ACRES
STORY MULTIFAMILY STRUCTURED PARKING AVERAGES Units per Project: 318 Density: 183.0 DU/A Intensity: 5.0 FAR Site Size: 2.7 ACRES DWELLING
6+
UNITS PER ACRE
Research focuses on the middle types
the most common forms of market-rate multifamily housing in the region
Integrating Mobility Focused Land Use, Zoning Reform and Housing in Tampa Bay | APA Florida 2023 Annual Conference

Avg Units per Project: 353

Avg Density: 80.6 DU/A

Density Range: 51-120 DU/A

Avg Intensity: 2.0 FAR

Avg Site Size: 3.7 ACRES

4-5 Story Multifamily Structured Parking

• Transit-supportive densities and walkable forms.

• Texas Donut with stick-built units wrapping a midblock parking structure OR stick-built above single story concrete podium.

• Parking mostly screened from public view.

• Potential for quality frontage on all sides— storefronts or walk out ground level units.

• Vaulted stormwater under parking and courtyards.

Most codes with “head room” to allow for attractive bonus provisions. Coding should focus on frontage conditions (first floor use, clear ceiling height, entries, and transparency), parking access and screening, and transitions to lower scale projects.

Integrating Mobility Focused Land Use, Zoning Reform and Housing in Tampa Bay | APA Florida 2023 Annual Conference

Avg Units per Project: 281

Avg Density: 22.0 DU/A

Density Range: 15-31

Avg Intensity: 0.5 FAR

Avg Site Size: 12.7 ACRES

2-4 Story Multifamily Surface Parking

• Typical in drivable suburban contexts.

• Only transit-supportive at highest densities but typically not walkable in configuration.

• Projects average 22 DU/A due to space needs for surface parking and tend toward mega-block (+10 acre) configurations.

• Parking in 1-2 bay configurations across site.

• Typically single use with few projects with urban frontage conditions. Limited potential to code for walkable urbanism. Little head room to create attractive bonuses provisions and limited potential for parking reduction given conventional scale and form or projects.

Integrating Mobility Focused Land Use, Zoning Reform and Housing in Tampa Bay | APA Florida 2023 Annual Conference

Avg Units per Project: 6

Avg Density: 17.1 DU/A

Density Range: 8-33 DU/A

Avg Intensity: 2.1 FAR

Avg Site Size: 0.3 ACRES

Attached Single Family & SF+ADU

• Ideal types in urban infill, transit-oriented, and downtown adjacent locations.

• Walkable forms at high range in densities and site sizes.

• Strong potential as transitional uses between centers/corridors and adjacent neighborhoods.

• High flexibility in configurations to address site constraints.

Most codes with “head room” to allow for attractive bonus provisions. Coding should focus on orientation, frontage conditions, and parking location and access.

Integrating Mobility Focused Land Use, Zoning Reform and Housing in Tampa Bay | APA Florida 2023 Annual Conference

NOTE THE TYPOLOGY GAP

• Average densities for typical jump from 22-80 DU/A and a gap exists from 30-50 DU/A.

4-5

2-4

Avg Units per Project: 353

Avg Density: 80.6 DU/A

Density Range: 51-120 DU/A

Avg Intensity: 2.0 FAR

Avg Site Size: 3.7 ACRES

PARKING

Avg Units per Project: 281

Avg Density: 22.0 DU/A

Density Range: 15-31

Avg Intensity: 0.5 FAR

Avg Site Size: 12.7 ACRES

• Few recently constructed market-rate projects fall in the gap.

• The gap is both practical and financial—a function of area required for surface parking and the need to pay a premium for structured spaces.

STORY MULTIFAMILY STRUCTURED PARKING STORY MULTIFAMILY SURFACE
Integrating Mobility Focused Land Use, Zoning Reform and Housing in Tampa Bay | APA Florida 2023 Annual Conference

EARLY TAKE AWAYS

Integrating Mobility Focused Land Use, Zoning Reform and Housing in Tampa Bay | APA Florida 2023 Annual Conference

EARLY TAKE AWAYS

Account for the “typology gap” in plans and codes.

• Density increases in steps, not along a steady line or curve. A 50% bonus over 30 DU/A is practically meaningless.

• Don’t bonus into the gap. Only projects with significant parking reductions hit 30-50 DU/A.

• Push for parking reductions but be mindful of context and availability of on-street and shared parking.

Integrating Mobility Focused Land Use, Zoning Reform and Housing in Tampa Bay | APA Florida 2023 Annual Conference

EARLY TAKE AWAYS

Density’s only one piece of a complex puzzle.

• 50 and 100 DU/A can be delivered in 4-5 floors, and look and feel almost exactly the same.

• Frontage conditions impact perceptions of a place more than density.

• 20 and 200 DU/A can comfortably coexist with good form-based coding and thoughtful design.

Integrating Mobility Focused Land Use, Zoning Reform and Housing in Tampa Bay | APA Florida 2023 Annual Conference

EARLY TAKE AWAYS

Zone for high density but…

• Provide clear form-based standards addressing frontage condition, parking location and configuration, and transitions to lower density places.

• Be careful about taking up “head room” that could be used for bonus programs.

Integrating Mobility Focused Land Use, Zoning Reform and Housing in Tampa Bay | APA Florida 2023 Annual Conference
THANK YOU! Stefanie McQueen, AICP stefanie.mcqueen@hdrinc.com Steve Schukraft, AICP steve.schukraft@hdrinc.com Integrating Mobility Focused Land Use, Zoning Reform and Housing in Tampa Bay | APA Florida 2023 Annual Conference

Centers & Connections: Incentivizing Infill and Diverse Housing in Unincorporated

Hillsborough County

Katrina Corcoran, AICP

Elizabeth Watkins, AICP

Florida Planning Conference

September 8, 2023

PlanHillsborough.org/hclanduse

Addressing Future Growth

Hillsborough County will see…

350,000 MORE PEOPLE

107,000 MORE JOBS

& Increasing demand for…

TRANSPORTATION COUNTY SERVICES SCHOOLS RECREATION

Urban Service Area

• Part of the adopted Future Land Use Element’s Growth Management Strategy

• Pinpoints where current growth is focused

• Identifies urban/suburban development and rural areas

• Helps to create compatible development patterns that efficiently utilize land and county services

20%

Land that is vacant, developable or redevelopable within the Urban Service Area

Source: Planning Commission, Jan. 2023

*Note: 2,110 acres annexed by Plant City since 2015

d Rede velopm ent

51,077

TOTAL ACRES

Developable and redevelopable land within Plant City, Tampa, Temple Terrace, and the Urban Service Area

33,282 (65%)

Total Acres In the Urban Service Area

17,796 (35%)

Total Acres In Plant City, Tampa, and Temple Terrace

Source: Planning Commission, May 2023

*Note: Plant City has annexed 2,110 acres since 2015

re
Land for Futu
De ve lopm e n t an

DEVELOPABLE REDEVELOPABLE

*excludes wetlands

…  Envision Future Growth  Provide Consistency  Prioritize Funding  Protect Resources • Legally required • Typically updated every 7-10 years
The Comprehensive Plan can

A Changing Concept & Political Realities

• Original idea – Incentivize growth with existing infrastructure and transit service through Comprehensive Plan policy

• Bus Emphasis Corridors (BECs)

• Evolution based on stakeholder input, leadership changes, and legislative action

• Hillsborough Transit Authority (HART) leadership & financial uncertainties

• Election & shift in priorities for the Hillsborough BOCC

• State legislation – Senate Bill 250

• Incremental policy changes can lead to bigger outcomes

Public Outreach

MetroQuest survey with 1,800+ participants

• 32,000+ data points collected

• 1,600+ comments submitted overall

• 5,600+ mapping data points

Multiple outreach meetings

• May 16 (in-person in Brandon)

• May 23 (virtual, recorded)

• May 24 and June 28 (in-person in Palm River)

• July 26 (in-person, Bay Area Apartment Association)

• More upcoming in November

Survey Results: Inward Growth

Question: How important is each strategy when considering inward growth (within the Urban Service Area boundary)?

Most Important: Efficiency of Existing Infrastructure

Relative to the other options, maximizing existing infrastructure was the most important strategy when focusing on inward growth

Least Important: Variety of Housing Types

Variety of housing types was ranked as the least important of the four options

Survey Results: Inward Growth

Question: How important is each strategy when considering inward growth (within the Urban Service Area boundary)?

1 = not effective or important, 5 = extremely effective or important

Efficiency of existing infrastructure

• An average of 4.36 out of 5

• 52% of respondents ranked it 5

Close to daily needs

• An average of 4.02 out of 5

• 38% of respondents ranked it 5

• Safe walking and biking

• An average of 4.23 out of 5

• 49% of respondents ranked it 5

Variety of housing types

• An average of 3.36 out of 5

• 25% of respondents ranked it 5

Survey Results: Mapping

Survey Results: Mapping

Full survey results & tech memo available at: PlanHillsborough.org/hclanduse

In-Person & Virtual Meetings

High support for:

• Public greenspace

• Connected sidewalks

Medium support for:

• Duplexes

• Mixed-use development

• Reduced speed limits

Lower support for:

• Transit

• Townhomes

• Mid-rise development

Visual Preference Exercise

What We Heard EMPHASIS ON SAFETY

Preserve Natural/Environmental Spaces

Traffic/Mobility/Accessibility problems, especially during peak hours

Student transportation to school

Consider current neighborhood character and strategic density increases

Limited access to emergency services and mobility choices

Need more affordable housing and a variety of housing types

Schools chronically overcrowded

Residential should be closer to daily needs

Driving Walking Cycling
o o o o

Centers and Connections

How will this work?

• Part of the Future Land Use Section update

• Encourage growth in areas where communities desire it by allowing density and intensity bonuses in specific centers and corridors, in line with adopted Community Plans within the Urban Service Area (USA)

• Expand housing opportunities, improve walkability, and encourage a sense of place

Centers and Connections

Expanding choices for living and getting around

BEFORE… AFTER…

Residential with 20 units per acre

• Focuses on centers and corridors that are coordinated with Community Plans and major intersections

• Expands housing opportunities and choices

• Encourages more pedestrian friendly development

• Allows for a bonus in density or intensity to the next land use category

Residential with 9 units per acre

Residential with 35 units per acre

Residential with 15 units per acre

PALM RIVER USF AREA

Map Methodology

CONNECTIONS

• On roads that have either:

• An adopted roadway context designation that supports more walkability

CENTERS

• Include major intersections and areas identified in Community Plans for redevelopment or walkability

• Potential for intensity and density bonuses within centers

• Future Land Use categories that already support the potential for higher density

• Corridors in the CHHA are excluded

• Potential for density bonuses along these corridors

Map Updates

Concept Support

• Significant support for the concept in the northern portion of the County within the USA, especially the USF Area & East Lake Orient Park

Map Revisions

• Less support and mixed-reactions for portions of Brandon

• Addressed concerns about centers and corridors in South County, especially Sun City Center

• Simplified applicable areas

• Staff reviewed and considered revisions as needed

• Staff also considered comments for policy impacts

Centers and Connections

Draft Map August 2023

Connections

Centers in the Community Plans and major intersections –increased development via bonuses

Policy Language

(1) Defining the Centers & Connections (C&C) concept

• How they should be reviewed during FLU map amendments and rezoning applications

(2)Policy language for all C&Cs regardless of bonus usage

• Diverse housing types, mixed-use development, multimodal investments

(3) Density & intensity bonus table & locations

• Planned development rezoning application is required

• Connection to Transfer of Development Rights

• Modest, compatible increases in density

(4)Design criteria

• Building design and orientation

• Access management

• Sidewalks

• Landscaping

• Green & open space

Next Steps

Final Draft Policy Language Final Community Meetings October November Planning Commission Recommendation Hillsborough County BOCC Transmittal Hearing 2023 January 2024 January 2024

Thank you!

We look forward to your questions during Q&A!

Katrina Corcoran, AICP Senior Planner Elizabeth Watkins, AICP Principal Planner HillsboroughCountyCityCountyPlanning Commission Hillsborough TransportationPlanning Organization

Integrating Mobility Focused Land Use, Zoning Reform and Housing in Tampa Bay

Florida Chapter of the American Planning Association Annual Conference

September 8, 2023

1

ABOUT US

PINELLAS PLANNING COUNCIL

Maintain the Countywide Plan which governs densities, intensities, and uses across Pinellas County

METROPOLITAN PLANNING ORGANIZATION

Develop transportation plans, programs, and priorities for State and Federal funding

The Countywide Plan

• Coordinates land use among the 25 local governments in Pinellas County

• Guides land use with transportation priorities and other countywide considerations

• Updated to respond to meet local needs – bonus provisions

• Knowledge Exchange Series / Pilot Program Grants / Information Clearinghouse

3

Pre-2019 Countywide Plan

• Coordinated with Greenlight Pinellas - eliminate property tax in exchange for a sales tax

• Transit-oriented development rights enabled for 16 light rail stations

• 2014 referendum failed 62%38% and the planned station area densities/intensities were not implemented

Pre-2019 Countywide Plan

• Countywide Plan didn’t effectively support the long range plan’s jobs and population projections

Parkshore

Plaza, St. Petersburg, 117 units per acre

• Density/intensity of new centers and corridors were limited

• Some existing “Special Centers” had nonconforming development maximums

Avanti, St. Petersburg, 154 units per acre

Waters Edge, Clearwater, 86 units per acre

5

Post-2019 Countywide Plan

• More effective coordination of the Countywide Plan with the 2045 Long Range Transportation Plan (removed Greenlight Pinellas)

• Addressed the nonconforming status of existing “Special Centers”

• Strategy supports 30 transitoriented centers linked by various corridors in the appropriate locations

6

Post-2019 Countywide Plan

7

Post-2019 Countywide Plan

8

Post-2019 Countywide Plan

9

Countywide Housing Strategy

• Penny IV Housing Grant Program - 2019 ($33.9 million awarded)

• Advantage Pinellas Housing Compact - 2022

• Homes for Pinellas Summit - 2023

• Housing Action Plan - 2023

• Regulatory Toolkit – 2024

• Is the Live Local Act a challenge, opportunity or both?

10

Countywide Housing Strategy

Active Transportation Plan

• Plan was adopted in 2020 to prioritize strategic investments and provide funding

• Prioritized 14 bicycle and pedestrian projects

• 96,000 people and 53,000 jobs within ¼ mile of priority projects

Active Transportation Plan

• Priority bicycle/pedestrian projects will be funded through 2045

Project Scoring By Total Weighted Score & Geographic Equity

• One overpass (four total) will be funded at regular intervals through 2045

• Local governments or FDOT will manage the projects through each phase of the project development and delivery process

Overpass Scoring & Funding Timeframe

Lessons Learned

• Take proactive steps to ensure that your land use vision is closely coordinated with the MPO’s jobs and population projections

• Include your local transit agency and FDOT in your development review process – transit supportive amenities and supplemental funding

• Everyone hates meetings but they can be a huge help – gain deeper understanding, build trust and share responsibilities

14

Thank You!

Rodney Chatman, AICP

rschatman@forwardpinellas.org

FAPA

Integrating Mobility Focused Land Use, Zoning Reform, and Housing Policy in Tampa Bay

September 8, 2023

Elizabeth Abernethy, AICP Director, Planning & Development Services

CITY OF ST. PETERSBURG

Housing Development Opportunities: Action Plan

• Increasing housing development opportunities within the neighborhoods, corridors, and centers framework:

o Neighborhood, Corridors, and Centers

o Traditional and Suburban

• Connecting land use and transportation

• Incorporate affordability

• Complete neighborhoods

• Create and preserve neighborhood and community character

2 2

HOUSING PRODUCTION

FUTURE DEMAND: Moderate growth scenario = 1,035 units/year; Strong growth scenario: = 1,550/units per year

3 Unit Type Average Annual FY 2001-2020 % FY21 % FY22 % Single Family 201 23% 292 28% 313 16.76% Townhome 129 15% 40 4% 160 8.57% Duplex 16 2% 18 2% 34 1.82% ADU 7 1% 43 4% 76 4.07% Multifamily 3-4 8 1% 6 1% 4 0.21% Multifamily 5+ 526 59% 635 61% 1280 68.56% Sub-Total 887 1034 1867 Average Annual Demos -209 -161 -378 Net Annual Unit Increase 678 873 1489

Affordable Housing Code Amendments

• Streamlining of Workforce Housing Bonus Procedures –

• Fee reductions –

February 2019

November 15, 2018

• Multi-family parking reductions and unit size, accessory dwelling units, design requirements – September 5, 2019

• Downtown LDRs – increase priority for Workforce Housing –

• Neighborhood Traditional Mixed-Residential (NTM) –

• Affordable Housing Site Plan Review/HB 1339 –

• Fee in lieu increase – December 2021

• ADU Citywide expansion – July 2022

November 14, 2019

December 12, 2019

October, 2021

• Affordable Housing Site Plan Review/SB 962 Amendment –

• Sewer fee waiver – December 2022

• NTM zoning & LDR amendment –

March 2023

• Live Local Act/SB 102 – anticipated Oct/Nov 2023

September 2022

• Commercial Corridor/Sunrunner Station Area amendments – on going

4 4

ACCESSORY DWELLING UNITS

1925: First Zoning ordinance

1933: First Zoning ordinance

Allowed servants quarters (ADUs)

1943: ADUs limited to certain single-family districts

1977: ADUs removed as an allowed use

Citywide rezoning to suburban

2007: ADUs returned as an allowed use

In certain traditional districts, with design standards

2017: Amendments Design Changes

2019: Amendments

1. Exempted ADUs from density calculation

2. Reduced minimum lot size requirement

3. Eliminated minimum unit size

2022: Amendments

1. Expanded ADUs to all neighborhoods

2. Design modifications and limited parking exemption

5

ADU: JULY 2022 AMENDMENTS

City Code Section 16.10.010

Neighborhood Traditional (NT):

• ALLOWED in the NT-3 zoning category (3,495 parcels)

Neighborhood Suburban (NS):

• ALLOWED in the NS-1 and NS-2 zoning categories, subject to:

 When located on an alley

 When located at corner of two intersecting streets and meets minimum lot area for zoning category

 If no alley or corner, then minimum lot size shall be 10,000 square feet

6 6

ADU: JULY 2022 AMENDMENTS

INCREASED the maximum unit size and CLARIFY language to define subordinate in size (principal and accessory):

• 67% of the principal square footage (same as 40% of the total floor area combined), whichever is less. Garage square footage to be excluded.

• For example: 1,000 SF house can have 670 SF ADU; 1,200 SF house can have an 800 SF ADU*

* 800 SF is maximum unit size.

7
60 % (primary) 40 % (ADU) + = 100 % Total ADU SF / Total Primary SF
67 %
=

ADU: JULY 2022 AMENDMENTS

City Code Section 16.10.020

WAIVED parking for ADU units that are:

• Located within 1/8 mile of High Frequency Transit Route (about 2 city blocks);

Located on an alley;

• 600 square feet or less in size;

• Required spaces provided from alley, no front driveway.

EXISTING PARKING STANDARDS

Single-Family:

• Traditional and Suburban: “2 spaces up to 3 bedrooms, plus 0.5 for each additional bedroom.

ADU:

• Traditional and Suburban: “1 space for units with up to 2 bedrooms; plus 0.5 for each additional bedroom.”

8
ADU Amendments 9 9 Year ADU # 2007 1 2008 2 2009 1 2010 0 2011 1 2012 3 2013 3 2014 0 2015 2 2016 16 2017 23 2018 21 2019 29 2020 44 2021 53 2022 86 Total 285 ADU permits issued ADU LDR amendments approved in July 2022: Expanded allowable locations to 70% of all single-family properties

Neighborhood Traditional MixedResidential – NTM

2017: Exploration of “Missing Middle” Housing

Public education workshops

Explore expansion of ADUs and 2- to 4-unit MF

2019: Created NTM-1 Zoning Category

New zoning category to accommodate 2- to 4-units

Planned map amendments delayed due to COVID

Location on Major Corridor

2021: StPete2050 Vision Plan Completed

2021-22: City Council Considers Expansion of NTM-1

Debated expanding applicability over 6 Workshops

Final direction to proceed using 2019 adopted language

2023: NTM-1 Rezoning & LDR Amendments

Application ZM-15/2023-01

10
10

“MISSING MIDDLE”

• Multi-unit, low rise housing with development standards reinforcing traditional development patterns

• Variety of building typologies

• Housing diversity with lower price per square foot compared to single-family

• Uses alley system for access and parking

• Reinforces walkability of neighborhoods

11
Cottage Court ADU ADU Duplex / Townhouse Courtyard
11
Fourplex

Mixed Unit Types, “DUPLEX”

13.72 dwelling units per acre 12.31 dwelling units per acre 10.24 dwelling units per acre 17.42 dwelling units per acre

Purpose

Applicability

Introduction to Districts

Maximum Development Potential

• Minimum Lot Width

• Minimum Lot Area

• Maximum Impervious Surface Ratio

• Maximum Building Coverage

• Maximum Residential Density

• Maximum Residential Intensity

• Maximum Nonresidential Intensity

Maximum Height / Minimum Setbacks

Entrances

Building and Site Design

• Building Layout and Orientation

• Vehicle Connections and Parking

• Porches and Pedestrian Connections

• Building and Architectural Design Standards

• Building Style and Typology

• Building Form

• Wall Composition and Transparency

• Roofs

• Building Materials

• Accessory Structures and Ancillary Equipment

City Code Section 16.20.015

1. Within 175-feet to centerline of Future Major Streets

2. Direct connectivity to adjoining Future Major Streets

3. Adjacent to a public alley

4. Outside of the Coastal High Hazard Area (“CHHA”)

5. Historic preservation standard

13

MAP AMENDMENT

2,985 parcels

1. Within 175-feet to centerline of Future Major Streets 2. Direct connectivity to adjoining Future Major Streets 3. Adjacent to a public alley
14
4. Outside of the Coastal High Hazard Area (“CHHA”)

FUTURE MAJOR STREETS

• Comprehensive Plan Definition: Roads that exist primarily to provide mobility for people and goods and interconnect residential and nonresidential areas.

• Map 20 Comprehensive Plan:

• Interstate • Arterial (Principal and Minor)

• Collector (Collector and Neighborhood)

15

MAP AMENDMENT

1. Within 175-feet to centerline of Future Major Streets

2. Direct connectivity to adjoining Future Major Streets

3. Adjacent to a public alley

4. Outside of the Coastal High Hazard Area (“CHHA”)

Location: 13th Avenue and 49th Street North

16

1.

MAP AMENDMENT

2.

3. Adjacent to a public alley

17
Within 175-feet to centerline of Future Major Streets Direct connectivity to adjoining Future Major Streets
17
4. Outside of the Coastal High Hazard Area (“CHHA”)

ADDITIONAL RECOMMENDATIONS

Per Public Feedback

1.

No less than 1-space per unit

2. Alley Improvements

For three or more units, alley shall be paved to nearest roadway.

3. Solid Waste Collection

For three or more units, provide reserved area measuring at least 3’ x 3’ for 300-gallon tub.

18 18 BIN
Minimum No. of Parking Spaces

EFFECTIVE NOW

STATE OF FLORIDA STATUTES 2030 SESSION

SENATE BILL 102 “LIVE LOCAL ACT”

• Residential: Multi-family allowed in commercial, industrial, mixed-use zones;

• Affordability: 40% must be affordable workforce at or below 120% AMI;

• Density: 82-units per acre;

• Height: Highest currently allowed for a commercial or residential development within 1-mile of the proposed site or 3-stories, whichever is greater;

• Approvals: No map amendment or public hearing.

19

EFFECTIVE NOW

STATE OF FLORIDA STATUTES

SENATE BILL 250 “NATURAL EMERGENCIES”

(1) A COUNTY OR MUNICIPALITY LOCATED ENTIRELY OR PARTIALLY WITHIN 100 MILES OF WHERE EITHER HURRICANE IAN OR HURRICANE NICOLE MADE LANDFALL

SHALL NOT PROPOSE OR ADOPT MORE RESTRICTIVE OR BURDENSOME AMENDMENTS TO ITS COMPREHENSIVE PLAN OR LAND DEVELOPMENT REGULATIONS, NOR PROPOSE OR ADOPT MORE RESTRICTIVE OR BURDENSOME PROCEDURES CONCERNING REVIEW, APPROVAL, OR ISSUANCE OF A SITE PLAN, DEVELOPMENT PERMIT, OR DEVELOPMENT ORDER, TO THE EXTENT THAT THOSE TERMS ARE DEFINED BY S. 163.3164, FLORIDA STATUTES, BEFORE OCTOBER 1, 2024

20

CURRENT INITIATIVE

PINELLAS SUNRUNNER: BUS RAPID
TRANSIT
22 [ LINK ]

Central Avenue Revitalization Plan (September 2012):

• Revitalization approach

• Land use and urban design • Transportation

Streetscape

Branding / identity

Land Use and Urban Design:

• Amended Comprehensive Plan Central Avenue Activity Center

• Amended Future Land Use Map Activity Center Overlay

• Amended Land Development Regulations

• Increase density to 60 units per acre

• Increase building height to 72-feet maximum

23
• Economic development support services
24 [ LINK ]
25
26
27
2018 Warehouse Arts District Deuces Live Action Plan 2019 Complete Streets Plan
28
2019 Union District Master Plan 2021 StPete2050 Plan
29 2023 Target
Industrial Land Study
Employment
2023 Grand Central District Master Plan
22 nd STREET STATION AREA

TARGET EMPLOYMENT CENTER - LOCAL New Zoning Overlay

31 31

ZONING DENSITY

32 32
Market Rate + Work Force Housing Bonus DENSITY Potential Range for Base Density CCS-1 15 + 8 = 23 + 30-45 upa base CCS-1 AC 60 + 10 = 70 CCS-2 40 + 10 = 50 + 45-60 upa base CCS-2 AC 40 + 15 = 55 + 45-60 upa base CCT-1 24 + 8 = 32 + 30-45 upa base CCT-1 AC 36 + 8 =44 + 45-60 upa base CCT-2 40 + 6 = 46 + 45-60 upa base CCT-2 AC 60 + 6 = 66 CRS-1 15 + 6 = 21 + 30-45 upa base CRS-2 24 + 8 = 32 + 30-45 upa base CRT-1 24 + 8 = 32 + 30-45 upa base CRT-1 AC 60 + 8 =68 CRT-2 40 + 6 = 46 + 45-60 upa base CRT-2 AC 60 + 6 = 66

Application No. 1

COMPREHENSIVE PLAN TEXT AMENDMENT

Activity Center – Combine and Replace Central Ave Corridor and Central Plaza Activity Center w/ SunRunner BRT Activity Center

Comprehensive Plan Text - Amend Future Land Use Element regarding Activity Center allowances and increasing density and intensity along the commercial corridors– FLU categories: PR-MU, PR-C, R/OG, AC Overlay, CRD – Grand Central District

TEC, Local – Add TEC, Local subcategory; define geographic limits east of 24th Street to interstate

33 33

Application No. 2

LAND DEVELOPMENT REGULATIONS TEXT AMENDMENT

• Activity Center – Combine and Replace Central Ave Corridor and Central Plaza Activity Center w/ SunRunner BRT Activity Center. Potential changes to density, intensity, building height, and development standards

• TEC, Local Overlay @ 22nd Street South Station - Create TEC, Local development standards and mix of uses

• Development Potential – Increase density / intensity with workforce housing bonus within commercial corridors

34 34

Application No. 3

ZONING MAP AMENDMENTS

• SunRunner TEC, Local Overlay @ 22nd Street South Station

• Central Avenue Corridor – Rezone CRT-1 to CCT-1 to allow retail and restaurant uses along properties facing Central Avenue between and around station areas • SB 250 Considerations

35 35
WWW.STPETE.ORG/SUNRUNNERTOD

• September 14, 2023: City Council Workshop @ Housing, Land Use and Transportation Committee – Comprehensive Plan text changes, LDR text changes, Zoning Map Amendments

37 37 WWW.STPETE.ORG/SUNRUNNERTOD

ADU and NTM Key Take-Aways

• Incremental and Reasonable

 Locational criteria backed by objective data and comp plan policies

 Don’t go to far too fast; risk of challenge/ repeal

 Importance of Design Standards to address compatibility and neighborhood character

• Public participation

 Neighborhood meetings and workshops (23)

 Emails to associations

 Post-card notice to property owners (3,058) and surrounding property owners (11,539)

• Buy in from policy makers – many hours of testimony at public hearings;

• Election Cycle timing

• Left room in the final adoption process for changes between the two public hearings to address comments and concerns

38
38

Planning

Elizabeth.Abernethy@stpete.org

THANK YOU
& Development Services
39

Turn static files into dynamic content formats.

Create a flipbook
Issuu converts static files into: digital portfolios, online yearbooks, online catalogs, digital photo albums and more. Sign up and create your flipbook.