Neve e Valanghe 98

Page 1


Meteorologia alpina, Glaciologia, Prevenzione e Sicurezza in montagna

Indirizzi e numeri telefonici dei Servizi Valanghe AINEVA

REGIONE PIEMONTE

ARPA Piemonte

Dipartimento Rischi naturali e ambientali Via Pio VII 9 - 10135 Torino Tel 011 19681340 - fax 011 19681341 http://www.arpa.piemonte.it e-mail: dip.rischi.naturali.ambientali@arpa. piemonte.it

REGIONE AUTONOMA VALLE D’AOSTA PRESIDENZA DELLA REGIONE Dipartimento Protezione civile e Vigili del fuoco Centro Funzionale e Pianificazione Loc. Amerique, 33 - 11020 QUART (AO) e-mail: protezionecivile@pec.regione.vda.it Tel. 0165-776604

REGIONE LOMBARDIA

ARPA Lombardia

Settore Tutela delle Risorse e Rischi Naturali U.O. Centro Nivometeorologico Via Monte Confinale 9 - 23032 Bormio (SO) Tel. 0342 914400 http://www.arpalombardia.it e-mail: nivometeo@arpalombardia.it

PROVINCIA AUTONOMA DI TRENTO Servizio prevenzione rischi Ufficio previsioni e pianificazione Via Vannetti 41 - 38122 Trento Tel. 0461 494870 - Fax 0461 238305 Bollettino Nivometeorologico Tel. 0461 238939 Self-fax 0461 237089 http://www.meteotrentino.it e-mail: ufficio.previsioni@provincia.tn.it

PROVINCIA AUTONOMA DI BOLZANO Ufficio Meteorologia e Prevenzione Valanghe Viale Druso, 116 - 39100 Bolzano Tel.: +39 0471 416140 https://valanghe.report https://meteo.provincia.bz.it e-mail: meteovalanghe@provincia.bz.it telefono info meteo: 0471 270555 0471 271177

REGIONE DEL VENETO

ARPA-Veneto Centro Valanghe di Arabba Via Pradat 5 - 32020 Arabba (BL) Tel. 0436 755711 - Fax 0436 79319 http://www.arpa.veneto.it e-mail: cva@arpa.veneto.it

REGIONE AUTONOMA FRIULI VENEZIA

GIULIA

Protezione civile della Regione Nucleo Valutazione Rischio Valanghe Servizio di Previsione e Prevenzione Via Natisone 43 33057 PALMANOVA (UD) Tel 0432 926111

REGIONE MARCHE

Servizio Protezione Civile Centro Funzionale Multirischi Via del Colle Ameno, 5 - 60126 Ancona Tel. 071 8067743 - Fax 071 8067709

http://protezionecivile.regione.marche.it e-mail: spc.centrofunzionale@regione.marche.it

Sede AINEVA

Vicolo dell’Adige, 27 38122 Trento Tel. 0461 230305 - Fax 0461 232225 http://www.aineva.it e-mail: aineva@aineva.it

Gli utenti di “NEVE E VALANGHE"

• Sindaci dei Comuni Montani

• Comunità Montane

• Commissioni Locali Valanghe

• Prefetture montane

• Amministrazioni Province Montane

• Genii Civili

• Servizi Provinciali Agricoltura eForeste

• Assessorati Reg./ProvincialiTurismo

• APT delle località montane

• Sedi Regionali U.S.T.I.F.

• Sedi Provinciali A.N.A.S.

• Ministero della Protezione Civile

• Direzioni dei Parchi Nazionali

• Stazioni Sciistiche

• Scuole di Sci

• Club Alpino Italiano

• Scuole di Scialpinismo del CAI

• Delegazioni del Soccorso Alpino del CAI

• Collegi delle Guide Alpine

• Rilevatori di dati nivometeorologici

• Biblioteche Facoltà Univ. del settore

• Ordini professionali del settore

• Professionisti del settore italiani e stranieri

• Enti addetti ai bacini idroelettrici

• Redazioni di massmedia specializzati

• Aziende addette a: produzione della neve, sicurezza piste e impianti, costruzione attrezzature per il soccorso, operanti nel campo della protezione e prevenzione delle valanghe.

Rivista dell’AINEVA

ISSN 1120 - 0642

Aut. Trib. di Rovereto (TN) N° 195/94NC del 28/09/1994 n 98 anno 2024/2025

Direttore Responsabile

Gianni MARIGO

Regione Veneto

Comitato di redazione:

Erika SOLERO, Giovanna BURELLI, Matteo FIOLETTI, Walter BEOZZO, Paola DELLAVEDOVA, Mauro VALT, Stefano SOFIA, Elena BARBERA, Igor CHIAMBRETTI

Coordinamento Redazionale:

Erika SOLERO

Comitato scientifico editoriale:

Alessio SALANDIN, Claudio GARLATTI

Paolo SANDRONI, Gianni MARIGO, Michela MUNARI, Maria Luisa PASTORE, Valerio SEGOR, Mauro GADDO

Segreteria di Redazione:

ASSOCIAZIONE INTERREGIONALE

DI COORDINAMENTO E DOCUMENTAZIONE PER I

PROBLEMI INERENTI ALLA NEVE E ALLE VALANGHE

Vicolo dell’Adige, 27 - 38122 TRENTO

Tel. +39 0461 230305 - Fax +39 0461 232225 aineva@aineva.it - aineva@pec.aineva.it www.aineva.it

Videoimpaginazione e grafica: MOTTARELLA STUDIO GRAFICO www.mottarella.com

Cosio Valtellino (SO)

Hanno collaborato a questo numero:

Serena Mottarella, Stefania Del Barba, Nadia Preghenella, Elena Barbera, Estella Barbera.

Gli articoli e le note firmate esprimono l'opinione dell'Autore e non impegnano l'AINEVA.

Referenze fotografiche: Foto di copertina: Patrick De Michelis - Guida Alpina

Sezione neve, incidenti da valanga, glaciologia e meteorologia alpina: Arpa Piemonte

Valanghe: ufficio neve e valanghe Regione autonoma Valle D'Aosta

Se non diversamente specificato in didascalia, le foto contenute negli articoli sono degli autori.

Edizione cartacea speciale stampata in occasione del quarantennale AINEVA. La rivista dal numero 90 è consultabile solo in versione digitale sul sito di AINEVA.

Neve

IL MONITORAGGIO DELLA RISORSA NIVALE (SWE) IN VENETO CON SENSORI CRNS

Mauro Valt

EVENTI DI PIOGGIA SU NEVE (ROS) NELLE ALPI MERIDIONALI

Mauro Valt

Valanghe

DIMENSIONE VALANGHE E PROBLEMI TIPICI VALANGHIVI

Andrea Debernardi, Valerio Segor

CAIROS

Armonizzare la valutazione sito-specifica del rischio valanghe a livello transfrontaliero

Alice Gasperi , Jakob Schwarz , Michael Winkler

ANALISI DI RISCHIO VALANGHIVO A SCALA REGIONALE IN PIEMONTE

Lanteri Luca, Pispico Rocco, Solero Erika, Chiambretti Igor

X-RISK-CC STUDIA IL CONTESTO ALPINO DELLA

VAL DI FIEMME E FASSA

Kevin Ferrari

Incidenti

da valanga, prevenzione e sicurezza in montagna

DISPOSITIVI DI CONTROLLO FUNZIONALITA’

A.R.T.VA

Consuelo Antonio Bonaldi

Glaciologia

RECENTI ATTIVITA’ DI MONITORAGGIO DEL GHIACCIAIO DI DOSDE’ CENTRALE I

Risultati di proiezioni Georadar, rilievi GNSS e APR

Metereologia

alpina

Meteo.report previsioni comuni per tutto l’Euregio Trentino

Alto-Adige e Tirolo

Erica Cova

ATC

AVALANCHE

TRAINING CENTER

Avalanche Training Center ATC è un impianto sso che ha lo scopo di esercitare la ricerca di sepolti in valanga con apparecchi a.r.t.va (Apparecchio Ricerca Travolti in Valanga) e con sonde (fase di localizzazione).

L’impianto può gestire un minimo di 6 no a un massimo di 16 trasmettitori che saranno sepolti nel campo di ricerca e che trasmettono con le medesime frequenze degli a.r.t.va in commercio. I trasmettitori possono essere attivati a distanza da centrale di comando in modo casuale (modalità esercizio) oppure manualmente (modalità esperti). Queste possibilità permettono di simulare la ricerca con scenari di seppellimento semplici o complessi (con più sepolti). Campi di applicazione: stazioni sciistiche, rifugi, comunità montane, scuole di sci e alpinismo.

CP2011 & CP2022 AVALANCHE CHECKPOINTS

Gli esclusivi e versatili CP2011 e CP2022 offrono sicurezza a scialpinisti e praticanti ambiente innevato rilevando l'a.r.t.va in modalità trasmissione. Entrambi i dispositivi segnalano anche il passaggio nel caso in cui l'apparecchio di ricerca in valanga è spento o in modalità di trasmissione non attiva. CP2011 consente inoltre di registrare ogni passaggio, diventando così un sistema di conteggio persone.

Aree di applicazione: Stazioni sciistiche, rifugi, comunità montane. Campi di applicazione avanzati per CP2011: Via ferrata, piste ciclabili, sentieri escursionistici.

info e personalizzazione pannello: professional@outback.it

DISTRIBUITO DA

Dopo l’edizione del 2023 dedicata al quarantennale dell’Associazione, riprende la pubblicazione della rivista di AINEVA, proseguendo nel contempo la divulgazione dei resoconti stagionali.

In questi ultimi tempi molte sono le sfide che gli Uffici valanghe aderenti ad AINEVA stanno affrontando; si sta concretizzando un progressivo cambio generazionale in molte strutture, portando ad un approccio in materia di neve, valanghe, meteorologia alpina, glaciologia, e climatologia che si sta adeguando alle moderne metodologie e tecnologie non solo scientifiche, ma anche comunicative.

Nel corso del 2024 AINEVA ha reso disponibile una nuova APP che integra la comunicazione attraverso il sito WEB e attraverso alcuni canali social, per raggiungere il più vasto pubblico possibile con il bollettino valanghe, con notizie, informazioni e contenuti scientifici.

Questo non significa rinunciare alla pubblicazione di articoli di divulgazione nella loro forma più classica, garantendo la continuità della storica rivista di AINEVA.

All’interno di questo nuovo numero sono numerosi gli spunti di approfondimento, con un occhio di riguardo agli effetti, spesso drastici, del cambiamento climatico sulla neve, sulle valanghe, sul clima delle nostre montagne e sui ghiacciai delle Alpi, con varie ripercussioni anche sulla gestione dei rischi che ne possono conseguire, comprese le valutazioni sulle attività delle Commissioni Locali Valanghe, che vanno ottimizzate e armonizzate per far fronte alle nuove criticità.

Non mancano riferimenti alla sicurezza di chi si muove in montagna, con alcuni dati interessanti sulle statistiche nell’uso dell’ARTVA.

Altri spunti rilevanti riguardano l’utilizzo di sensori innovativi per la misura dei parametri nivologici, quale quello fondamentale dello Snow Water Equivalent, per la stima della risorsa nivale.

Non da ultimo, si approfondiscono i nuovi sistemi di divulgazione delle previsioni meteo, con un’ottica anche transfrontaliera.

AINEVA si rinnova, gli Uffici affrontano nuove sfide e nuove criticità, ma, ripartendo dalla propria storia ormai più che quarantennale, custodendo il bagaglio di conoscenza maturato nei precedenti decenni di attività dell’Associazione.

Gianni Marigo

Direttore Responsabile

NEVE

6 Il monitoraggio della risorsa nivale (SWE) in Veneto con sensori CRNS

16 Eventi di pioggia su neve (ROS) nelle Alpi meridionali

MONITORAGGIO con sensori CRNS RISORSA NIVALE IN VENETO (SWE)

Di Mauro Valt

ARPAV Avalanche Center Arabba , LIvinallongo del Col di Lana, Italy

Mauro.valt@arpa.veneto.it

The snowpack is an important resource for hydrology, vegetation, winter sports and energy production. The 202122 and 2022-23 winter seasons were mild, with little rainfall and significant repercussions on the general availability of water resources. The decrease in snowfall is in fact evident throughout the Alps, with greater trends at low altitudes, especially in the last 30–40 years.

In the eastern Alps, the reduction in snow is especially evident in March with a decrease in the Snow Water Equivalent (SWE) of more than 60% in the period 1991-2020 compared to the previous thirty years (1961-1990), below 2000 meters.

To monitor the SWE in the mountains, Arpa Veneto-Centro Valanghe di Arabba, built a network with 25 latest-generation CRNS (Cosmic Ray Neutron Sensor) sensors between 2023 and 2024.

To validate the data from these sensors, more than 200 SWE cores were taken in the vicinity of the sensors.

The first results show a high correlation coefficient (0.90) between the cores and the instrumental measurements with sites above 0.95, while some are below 0.80. For the latter, elements of measurement disturbance were found, such as the presence of ski slopes, woods or buildings in the immediate vicinity.

Il manto nevoso è una risorsa importante per  l'idrologia, la vegetazione, gli sport invernali e per la produzione di energia. Le stagioni invernali 2021-22 e 2022-23 sono state miti, con scarse precipitazioni e importanti ripercussioni sulla disponibilità generale della risorsa idrica. La diminuzione della precipitazione nevosa è infatti evidente su tutto l’arco alpino, con trend maggiori alle basse quote, specie negli ultimi 30-40 anni.

Nelle Alpi orientali la riduzione della neve è evidente soprattutto nel mese di marzo, con un calo della risorsa idrica nivale (Snow Water EquivalentSWE) di oltre il 60% al di sotto dei 2000 metri nel periodo 1991-2020 rispetto al trentennio precedente (1961-1990).

Per monitorare lo SWE in montagna, Arpa Veneto – Centro Valanghe di Arabba ha realizzato fra il 2023 e il 2024 una rete con 25 sensori CRNS (Cosmic Ray Neutron Sensor) di ultima generazione.

Per validare i dati di questi sensori sono stati effettuati più di 200 carotaggi di SWE in prossimità dei sensori.

I primi risultati evidenziano un elevato coefficiente di correlazione (0.90) fra i carotaggi e le misure strumentali, con siti superiori allo 0.95 e alcuni inferiore allo 0.80. Per questi ultimi sono stati riscontrati degli elementi di disturbo della misurazione, come la presenza nelle immediate vicinanze di piste da sci, boschi o edifici.

INTRODUZIONE

Il manto nevoso è una risorsa importante per l'ambiente montano per diversi aspetti come ad esempio l'idrologia, la vegetazione, gli sport invernali e la produzione di energia. Le stagioni invernali 2021-22 e 2022-23 sono state miti, con scarse precipitazioni e importanti ripercussioni sulla disponibilità della risorsa idrica (Colombo et al., 2023). La diminuzione della precipitazione nevosa è evidente su tutto l’arco alpino, con trend maggiori alle basse quote specie negli ultimi 30-40 anni (Bertoldi et al. 2024).

Nelle Alpi orientali la riduzione della neve negli ultimi 30 anni (1991-2020) è evidente soprattutto nel mese di marzo con un calo della risorsa nivale (Snow Water Equivalent - SWE) di oltre il 60% al di sotto dei 2000 metri (Valt, 2023) rispetto al trentennio precedente (1961-1990).

Il suo monitoraggio diventa quindi strategico per l’ottimizzazione dei consumi nel periodo primaverile/estivo (idropotabile, agricoltura, produzione di energia, industria, etc.)

Nel campo del telerilevamento, le stime spaziali dell’equivalente in acqua della neve sono ricavate, in modo operativo, utilizzando le informazioni sulla copertura nevosa (Snow Cover Area - SCA), elaborando le informazioni fornite dal sensore

MODIS (Moderate-resolution Imaging Spectroradiometer) installato a bordo dei satelliti Terra e Aqua con associati modelli di spazializzazione dei dati di altezza neve (HS) e densità del manto nevoso (ρ) (Valt

e Cianfarra, 2015), mentre sono in fase di testing tecnologie operative su media scala utilizzando dati SAR (Oveisgharan et al. 2024, https://techport.nasa.gov/ projects/90997).

Il monitoraggio in alcuni bacini montuosi, tipo il Piave (1300 km2), avviene mediante campagne di misure a terra con carotaggi verticali del manto nevoso (Berni e Giancanelli, 1967), estrapolando dati di SWE (Barlet e Lehning, 2002) dai profili neve dei Servizi valanghe (Valt et al., 2012) e attraverso la modellistica del manto nevoso (Morin et al. 2023).

Comunque, a livello di Arco alpino, lo SWE a terra è in generale scarsamente campionato e le serie storiche sono assai rare e discontinue.

Pertanto, per la gestione operativa della disponibilità della risorsa idrica derivante dalla fusione della neve, è necessario disporre di sensori di misura/stima dello

SWE in tempo reale. Nel presente lavoro viene descritta la rete di monitoraggio per la stima dello SWE realizzata da ARPA Veneto con sensori CRNS.

SENSORI PER LA MISURA IN TEMPO REALE DELLO SWE

La misura dello SWE con sensori automatici rappresenta una sfida da molto tempo, sia per l’ingombro dei sensori, sia per il tipo di alimentazione.

Royer et al. (2021) nell’articolo “Performance assessment of radiation-based field sen-

sors for monitoring the water equivalent of snow cover (SWE)” descrivono quattro sensori di nuova generazione, non invasivi e basati su diverse radiazioni che interagiscono con la neve per il monitoraggio della SWE: la sonda a raggi cosmici di neutroni (CRNS), lo scintillatore per il monitoraggio dei raggi gamma (GMON), il radar a onde continue modulato in frequenza (FMCW) a 24 GHz e i ricevitori del sistema globale di navigazione satellitare (GNSS, GNSSr). Tutte e quattro le tecniche hanno requisiti di potenza relativamente bassi, forniscono misure SWE continue e autonome e possono essere facilmente installate in aree remote su stazioni automatiche alimentate anche a celle solari con batterie in tampone.

Nella Fig. 1, ridisegnata sempre da Royer et al. 2021, sono indicati i diagrammi dei percorsi di radiazione per i quattro approcci di misurazione dello SWE. In tutte le figure, le frecce nere corrispondono ai segnali naturali (a, b, c) o emessi (d, e), mentre le frecce rosse tratteggiate corrispondono ai raggi che interagiscono con la neve (più basso è il segnale che raggiunge il sensore, più alta è la SWE). L'impronta del sensore è definita dall'area da cui proviene la radiazione misurata che ha interagito con la neve. (a) sonda a raggi cosmici di neutroni (CRNP) sotto la neve e interrata. In questo caso, le frecce nere rappresentano neutroni ambientali generati principalmente dalle interazioni dei neutroni secondari dei raggi cosmici con i nuclei terrestri e atmosferici. Le frecce rosse tratteggiate raffigurano neutroni che interagiscono con la neve, che diminuiscono quando aumenta la SWE. Le frecce blu tratteggiate rappresentano neutroni che interagiscono con l'umidità del suolo;

(b) CRNP sopra la neve, orientata verso il basso: funziona come in (a) per il significato delle frecce, ma le frecce blu tratteggiate raffigurano neutroni che interagiscono con l'umidità del suolo e dell'atmosfera;

(c) sensore di monitoraggio dei raggi gamma (GMON): come in (a) per il significato delle frecce;

(d) radar a onde continue modulate in frequenza (radar FMCW) orientata verso il

Figura 1. Da Royer et al. (2021). Tecniche diverse di misura dello SWE (spiegazione nel testo).

basso sopra la neve. Le frecce nere rappresentano l'onda emessa dal radar a 24 GHz; (e) ricevitori del sistema globale di navigazione satellitare (GNSS). Le due antenne ricevono i segnali emessi da tutti i satelliti GNSS presenti nel campo visivo delle antenne e a tutti gli angoli di incidenza: è mostrato solo un raggio incidente (freccia nera) a un angolo. In base all'algoritmo di inversione, vengono utilizzati diversi raggi che interagiscono con la neve (frecce rosse tratteggiate).

La rete di sensori CNRS di ARPA Veneto è formata da 25 sensori CRNS costituiti da un box a terra che contiene il rivelatore di neutroni, con la sua elettronica di lettura, e da un box fuori della neve installato sul palo dei pannelli solari, contenente un rivelatore di riferimento per monitorare il flusso di raggi cosmici in arrivo (Stevanato et al.2022) e quindi ottenere una miglior misura.

Questa tipologia di sensori fornisce delle misure di SWE areale (termine tecnico footprint) e non valori strettamente puntali.

Tuttavia i valori di footprint dei CRNS sono ancora oggetto di dibattito nella comunità scientifica.  Le simulazioni eseguite dai Weimar J. O. nel 2022 mostrano che, per un sensore CRNS al di sopra della neve, il raggio del footprint è compreso tra 130 e 140 m per valori di SWE > 200 mm, e maggiore per SWE < 200 mm. Jitnikovitch et al. (2021), hanno affermato che il footprint CRNS interrato dovrebbe essere piuttosto puntuale. Schattan et al. (2017) affermano di non aver misurato la saturazione per un manto nevoso dell'ordine di 600 mm w.e., su un footprint di 230 m di raggio dal box di misura a terra.

Le misure della rete del Veneto hanno evidenziato un valore di footprint variabile da pochi metri a un centinaio, ma ancora in via interpretazione (Fig. 2).

Una ulteriore valutazione dello SWE con lo stesso sensore viene espressa, in via sperimentale, mediante il conteggio dei muoni, con risultati molto incoraggianti (Gazzola et al., 2025). Muone è una particella subatomica instabile della stessa classe dell’elettrone - un leptone -, ma con una massa circa 200 volte superiore. I muoni costitui-

1- Monti Alti Ornella

2- Monte Cherz

3- Col dei Baldi

4- Cima Pradazzo

No

Container

Bosco

46.355° 11.822° Pista sci

5- Pale San Martino 46.279° 11.886° No

6- Malga Losch 1757 46.262° 11.959° No

7- Passo Falzarego 2090 46.520° 12.028° Edifici

8- Ra Vales 2592 46.548° 12.076° Dirupo

9- Monte Piana 2262 46.613° 12.250° No

10- Tre Cime 46.617° 12.317° no

11- C. Coltrondo 1929 46.665° 12.443° Bosco

12- Casera Doana 1887 46.481° 12.541° No

13- Monte Rite 46.541° 12.246° Edifici

14- Val Salatis 46.143° 12.484° Dirupo

15- Casera Palantina 1492 46.119° 12.475° No

16- Faverghera 1607 46.074° 12.301° No

17- Monte Lisser 1422 45.954° 11.650° No

18- Malga Larici 1606 45.964° 11.418° Bosco

19- Cima Dodici 45.978° 11.486° No

20- Campomolon 1732 45.877° 11.250° Bosco

21- P. Campogrosso 1462 45.728° 11.170° Strada

22- Monte Baldo 1756 45.772° 10.865° No

23- Val Visdende 2010 46.653° 12.617° No

24- Sant'Antonio 1490 46.571° 12.485° Bosco

25- Vette Feltrine 1900 46.098° 11.840° No

Figura 2. Esempio di footprint del sensore (area con il cerchio azzurro).
Tab. I. Nella colonna a destra, per le stazioni non in campo libero, il tipo di infrastruttura vicina con possibile condizionamento delle misure.

scono gran parte della radiazione cosmica che raggiunge la superficie terrestre.

LA RETE DI ARPA VENETO

La rete di ARPA Veneto è stata realizzata nell’ambito del D.L. n. 59/2021, convertito con modificazioni dalla L. n. 101/2021, recante “Misure urgenti relative al Fondo complementare al Piano nazionale di ripresa e resilienza e altre misure urgenti per gli investimenti” nello specifico l’investimento “Salute, Ambiente, Biodiversità e Clima”, incluso nel Piano Nazionale per Investimenti Complementari di competenza del Ministero della Salute. Le risorse economiche per realizzare la rete di CRNS e di altre tecnologie sono state trovate all’interno della Missione 6 – Salute del

dati via rete 4G/5G per il controllo da remoto della funzionalità da parte del realizzatore dello strumento.

Nella stagione invernale 2023-24 sono diventati operativi i primi 20 sensori, mentre nella stagione 2024-2025 sono entrati in servizio tutti e 25 (Fig. 3).

DEFINIZIONE DI UNO SWE DI RIFERIMENTO SITO SPECIFICO

La definizione di un valore di SWE per un sito specifico è un’operazione assai complessa che dipende da molti fattori, principalmente meteorologici e morfologici. Il terreno ideale sarebbe un’area del tipo campo da calcio, con un drenaggio uniforme, in una zona senza vento, con profilo orografico circostante basso e con il sensore ubicato nella lunetta di centro campo. La realtà è ben diversa e le stazioni nivometeorologiche sono spesso ubicate in radure, altre volte in spazi aperti senza vegetazione, su suoli lisci o anche ondulati, inclinati, e che determinano una variabilità del manto nevoso al suolo in temini di spessore, ben identificate nei lavori sulla stabilità del manto nevoso (ad esempio Birkeland, 1997).

Piano Nazionale di Ripresa e Resilienza

“Rafforzamento complessivo delle strutture e dei servizi di SNPS-SNPA a livello nazionale, regionale e locale, migliorando le infrastrutture, le capacità umane e tecnologiche e la ricerca applicata”, per il periodo 2021-2026.

La rete è stata realizzata con sensori CRNS collegati alle esistenti stazioni nivometeorologiche della rete regionale gestita da ARPA Veneto (Tab. I).

I sensori, interrati a livello di campagna o appoggiati e fissati su roccia per un piccolo numero di stazioni, sono interfacciati con le stazioni esistenti, trasmettendo i dati rilevati nello stesso flusso della stazione automatica (via radio o GRS) e alimentati con la stessa energia delle stazioni. I sensori hanno anche un flusso diretto di

Pertanto la definizione di un valore di SWE in un sito specifico di riferimento può essere eseguita mediante campionamenti diretti in sito, ripetuti nel tempo e nello stesso punto (1-2 metri di distanza). Questa tipologia di campionamenti è sempre di carattere distruttivo, quindi non è ripetibile nello stesso identico punto, poiché la neve ne risulterebbe alterata e non rappresentativa.

I campionamenti diretti più comuni eseguiti sulle Alpi sono:

 di tipo verticale (B&G) con la metodologia descritta da Berni & Giancanelli (1966) (B&G), con prelievo e peso di una carota totale della neve al suolo (Fig. 4);  di tipo orizzontale, strato per strato, utilizzando i profili del manto nevoso eseguiti dai Servizi valanghe (Yeti) e validati con la metodologia descritta da Valt et al. 2013.

Misure comparate delle due metodologie

Figura 3. Mappa con le stazioni con sensori CRNS.
Figura 4. Tecnica di campionamento B&C. Un tubo carotatore unico viene inserito nel manto nevoso (nel caso di nevi profonde ai diversi livelli) e la carota poi peseta. Conoscendo il volume del prelevato e l’altezza della neve al suolo, viene determianto lo SWE e la densità della neve.

hanno evidenziato errori inferiori al 5%, rientranti nella variabilità della ripetizione delle misure stesse (Valt, 2017) e quindi possono essere adottate per lo stesso sito specifico, con una prevalenza alle misure B&G (carotaggio verticale). Nei grafici sono riportate con la dicitura MISURE.

Oltre a questa tipologia di misure. che richiede la presenza in sito di operatori specializzati, è possibile definire un valore di SWE del sito specifico anche con:  modello di simulazione del manto nevoso Snowpack (Lehning et al. 2001) (SnowP) che fornisce valori orari di SWE;

 modello statistico derivante dal valore di altezza neve della stazione (HS) giornaliero, moltiplicato  per il valore statistico di densità della neve per y-esimo giorno della stagione invernale, su base storica (1991-2020) o della stagione in corso (SWE Rif).

Per quanto riguarda i risultati forniti dal modello del manto nevoso Snowpack, questi sono stati equiparati ai carotaggi verticali con valori del +/- 8% dello SWE totale e quindi ritenuti validi (Valt, 2017).

I valori di Snowpack hanno il vantaggio di tener conto delle variazioni stagionali dello SWE, di eventuali episodi di pioggia su neve che non modificano il valore di HS ma determinano un aumento di densità. Tuttavia la qualità dei dati della stazione è importante per il calcolo dei flussi energetici del manto nevoso; talvolta gli errori riscontrati anche per le simulazione dello SWE sono stati dovuti ad imprecisioni strumentali non intercettate dalle routine di validazione dei dati dei sensori (Fig. 5).  Inoltre, i valori delle simulazioni SnowP sono stati correlati con le misure e i campionamenti utilizzati nel presente lavoro con una risposta di un R2> 0.95. Il modello statistico (SWE Rif) costituisce un’alternativa semplice e utilizzabile su tutte le stazioni in cui si dispone di un valore di altezza neve giornaliera. Il valore di densità è dato dal valore di riferimento per l’area (Valt M., 2025) per y-esimo giorno dal 1 di novembre, o caratteristico della stagione invernale. Nel caso di valori di riferimento, è importante che siano tarati

per tipologia di andamento della stagione invernale; i valori in primavera possono variare anche del 25-30%. Una stagione caratterizzata da spessori superiori al metro di neve al suolo già a fine novembre, avrà valori di densità elevati in primavera (400450 kgm -3), rispetto ad una stagione invernale con poca neve (30-50 cm) e con nevicate da febbraio in poi (300-400 kgm -3).

Le rette caratteristiche delle stagione invernale utilizzate nel presente lavoro sono state:

Per le Dolomiti

ρ = dy*1,0842 + 199,19: periodo 1991-2020

ρ = dy*0,9386 + 218,92: inverno 2023-2024

ρ = dy*1,3107 + 151,30: inverno 2024-2025

Per le Prealpi

ρ = dy*1,1411 + 201,72: periodo 1991-2020

ρ = dy*1,1411 + 201,72: inverno 2023-2024

ρ = dy*1,4395 + 173,96: inverno 2024-2025

dove ρ è la densità del manto nevoso in kgm -3 e  dy è il numero progressivo di giorni dal 1 di novembre al 30 di maggio. Questi due metodi, SWE Rif e SnowP, permettono una verifica del dato del sensore CRNS anche dove non è possibile effettuare campionamenti diretti.

RISULTATI

Stagione 2023-2024

Nel corso della stagione invernale 20232024 sono state realizzate un centinaio di misure di SWE specifico presso i campi neve.

Per alcune siti il campionamento è stato costante durante tutto l’inverno mentre per altri è stato saltuario a causa delle difficoltà di accesso.

L’iniziale analisi dei dati a fine stagione ha evidenziato delle sottostime importanti del CRNS per alcune stazioni in quota e quindi si è provveduto a ricalibrare la curva

Figura 5. Esempio di curva cumulate dei valori di SWE per la stazione di Monti Alti di Ornella. Alla fine del mese di marzo e inizio di aprile, pur con una riduzione dello spessore della neve, lo SWE è leggermente aumentato per gli apporti di pioggia e per l’assestamento della neve senza perdita di massa.

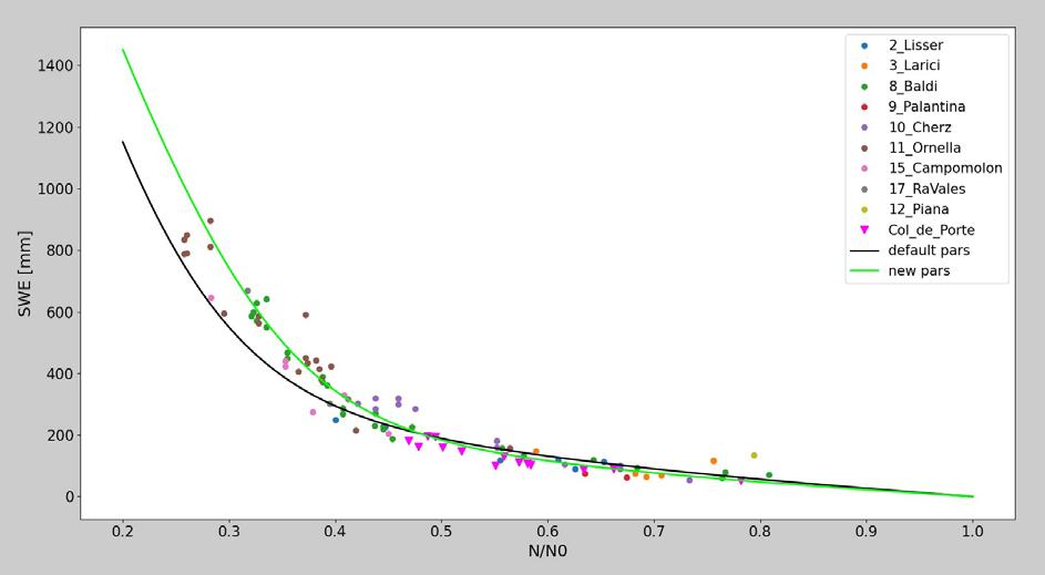
Figura 6 . Le curve rappresentano due diverse parametrizzazioni della formula di conversione per arrivare con il CRNS a definire lo SWE: la curva nera è quella di più diffuso uso in letteratura antecedente, mentre la verde è la curva ottimizzata tramite interpolazione su un set campionamenti prevalentemente della montagna veneta.

caratteristica del sensore (Fig. 6) e a ricalcolare tutti i valori di SWE per la stagione invernale 2023-2024.

Nelle Fig. 6 e 7 relative alle stazioni di Col dei Baldi nelle Dolomiti e di Monte Lisser nelle Prealpi, sono rappresentati di tutti i valori misurati durante la stagione invernale.

In entrambi i casi è possibile osservare anche visivamente una buona correlazione fra tutte le misure effettuate.

Stagione 2024-2025

Nella stagione 2024-2025 sono stati effettuate, alla data del 25 aprile, oltre 100 misure di B&G e YETI presso i campi neve dove sono installati i sensori CRNS, con le stesse modalità della stagione invernale precedente. La curva di calibrazione dello strumento non è stata rettificata rispetto all’inverno precedente.

I risultati di correlazione sono stati nuovamente soddisfacenti.

Correlazione fra misure

In totale, nelle 2 stagioni invernali sono state utilizzate oltre 200 misure presso 8 stazioni meteo, con  un valore finale di R2=0.91 (Fig. 9) con i dati misurati dal CRNS.

E’ stata quindi elaborata anche la correlazione fra CRNS e SnowP e CRNS e Snow Rif con un  R2=0.91 (Fig. 10) e R2=0.86.

In particolare nella stagione 2023-24, con 19 sensori operativi, ben 11 hanno evidenziato un R2 > 0.90 e solo 3 un R2 < 0.80. Nella stagione 2024-25, con 25 sensori installati, 3 hanno evidenziato delle problematiche di trasferimento dei dati riconducibili a siti di nuova installazione, con effettivi problemi di invio dei dati via 4G/5G. Degli altri 22, 12 hanno registrato un R2 > 0.91 e ben 7 un R2 < 0.80.

Per 4 stazioni anche il confronto SWE CRNS e SWE Stat ha riportato un valore inferiore allo 0.80 ad indicare un’indipendenza dai fattori meteorologi (Snowpack considera anche la pioggia).

Per alcune stazioni c’è stato un decadimento del valore di R2 fra le 2 stagioni invernali. Sono  in corso di analisi le serie di dati per comprendere se sdi tratta di un problema di taratura di inizio stagione (umidità del suolo), di suolo (dolomia, calcare, argilla etc.) oppure di climatologia locale o stagionale (esempio pioggia su neve), che richiedono una curva di calibrazione diversa. Ad esempio, il sensore di  Passo Falzarego ha una evidente sottostima dello SWE (Fig. 11) ma il sito è condizionato da 2 edifici nelle vicinanze (10 metri).

In alcuni casi, come Casera Coltrondo, posta in mezzo ad una radura, tutte e 2 le stagioni hanno presentato un R2 inferiore a 0.80. E’ probabile che non sia stato corretta la taratura iniziale del sensore in funzione della tipologia di suolo.

DISCUSSIONE

Il problema principale di ogni analisi dello SWE puntuale o areale, è definire il valore più rappresentativo a cui poi far riferimento. La metodologia B&G è consolidata da oltre 60 anni di misure e spazializzazione dei dati, ma non è esente da imprecisioni. Infatti, le misure di B&G, pur esprimendo il valore medio di 3 carotaggi verticali, come anche le misure di Yeti, sono prove distruttive del manto nevoso e quindi la ripetibilità nel tempo è in funzione del campo neve disponibile.

Anche le elaborazioni di Snowpack sono bidimensionali e si riferiscono al sito dove sono ubicati i sensori della stazione automatica nel tempo.

Le misure del CNRS, sono invece areali, anche se l’ampiezza del footprint non è ancora ben definita (Fig. 2). La presenza, nel raggio di 20-40m, di zone boscate, edificate, di bruschi cambiamenti di pendenza, può rendere la misura diversa dal singolo valore, come già evidenziato da alcune stazioni della rete regionale veneta. Infatti l’analisi dei dati ha evidenziato una sottostima dei valori per alcune stazioni, che si ritiene dovuta all’ubicazione del sensore rispetto all’ambiente circostante (vicinanza ad abitazioni, alberi, etc..).

La situazione ideale, anche per un’analisi del footprint in funzione dello spessore

Figura 7. Andamento invernale dello SWE nella stazione di Col dei BaldiDolomiti.
Figura 8. Andamento invernale dello nella stazione di Monte LisserPrealpi.

del manto nevoso (HS) - poiché secondo alcuni autori dipende da esso - potrebbe essere quella della stazione di Monti Alti di Ornella (Fig. 2).

Nella Fig.12 è descritta la situazione della stazione di Cima Pradazzo, importante per il vento in quota e per il trasporto della neve. La zona del nivometro è senza neve (HS=0) e anche Snowpack stima SWE=0 mm. La sonda CNRS, “sente” correttamente la neve attorno indicando un valore di SWE. Inoltre la stazione è anche vicina alle piste di sci con innevamento programmato. Il sensore in questo caso è sensibile e misura anche gli apporti di neve programmata e quindi fornisce valori in aumento dello SWE non giustificati dal tempo meteorologico (precipitazioni o erosioni eoliche).

In questo caso le misure di confronto non sono attendibili ed è necessario effettuare delle misure di volume della neve adiacente per stimare il valore del CRNS.

Una ulteriore problematica ancora in fase di analisi è la sensibilità del sensore all’umidità del terreno ad inizio inverno, che fornisce falsi valori di SWE di 10-30 mm, che poi vengono integrati nel manto nevoso stagionale senza portare scompensi positivi nei valori misurati. Per questo sembra essere necessario un periodo predefinito di azzeramento di tutti i sensori in campo. Tuttavia la neve in quota nelle Dolomiti compare ad inizio ottobre mentre nelle Prealpi può arrivare anche a metà dicembre e quindi l’azzeramento deve seguire delle regole dettate dalla climatologia locale e dall’altimetria delle stazioni.

La taratura ad inizio stagione invernale è ancora in fase di discussione e analisi. Negli inverni con molto SWE è meno influente che negli inverni con SWE scarso, ovvero quando la stima più precisa è maggiormente richiesta per la scarsità della risorsa da stimare.

PROBLEMATICHE DI GESTIONE

OPERATIVE

DEI SENSORI CRNS

La prima stagione invernale è stata utilizzata per testare i sensori ed il loro funzionamento generale. Le misure sono servite

per migliorare la calibrazione del sensore.

Dal punto di vista infrastrutturale, trovandosi i box interrati anche in zone dove la presenza di acqua di fusione è importante, sono state riscontrate delle anomalie nelle guarnizioni dei pressa-cavi con infiltrazioni d’acqua non desiderate.

Nelle stazioni più strumentate (18-20 sensori), alimentate a celle solari dove la batteria in tampone da 120mA era datata e tendente ad essere esausta, sono stati notati dei cali di tensione nei lunghi periodi di brutto tempo (5-10 giorni) dovuti al maggior consumo.

Per mantenere operativa la stazione nivometeo, è stato temporaneamente spento il CRNS fino a quando la tensione è ritornata

su valori normali; in un caso è stato sostituito un pannello solare con uno più efficiente e a maggior superficie. In qualche caso il sensore ha richiesto dei reboot da remoto.

In generale la mancanza di valori nella banca dati è dovuta ad mancata trasmissione da zone molto remote per le nuove stazioni per le quali si deve ancora tarare la miglior trasmissione dati.

I sensori sono stati posizionati in modo casuale rispetto alle infrastrutture della stazione stessa e dei corpi solidi o arborei presenti nelle vicinanze. L’analisi dei dati della prima stagione invernale ha fornito indicazioni su come migliorare la misura posizionando in modo differente il sensore a terra.

Figura 9. Confronto fra i valori CRNS e le misure a terra.
Figura 10. Confronto fra i valori CRNS e i valori di Snowpack.

NEVE

Per le stazioni con R2 inferiore a 0.80 sarà da valutare la localizzazione del sensore, l’elettronica o fattori che richiedono una propria taratura.

Non è stata ancora messa punto una metodologia per la taratura dei sensori ad inizio stagione: le misure hanno evidenziato che deve essere attuata per sito specifico in funzione anche della litologia del terreno. E’ stato notato anche un eccesso di di spike fra i dati trasmessi dal sensore al data-logger della stazione meteorologica rispetto al flusso di dati al Cloud del fornitore dei sensori. E’ probabile che ciò sia dovuto a delle interferenze nei cavi analogici.

CONCLUSIONI

L'ARPA Veneto ha realizzato una rete di 25 sistemi CRNS per misurare la SWE, di-

slocati nella Dolomiti e Prealpi venete, ad altitudini che vanno dai 1300 ai 2600 m. Le stazioni hanno raccolto dati nelle stagioni invernali 2023-2024 e 2024-2025, registrando cumuli stagionali di SWE anche superiori ai 600 mm.

La tecnologia CRNS presenta diversi vantaggi rispetto ai metodi tradizionali, poiché consiste in una misurazione diretta e continua. Rispetto al carotaggio, che è una tecnica invasiva e distruttiva, la tecnicaa CRNS lascia inalterato lo stato del manto nevoso.

A differenza del modello Snowpack, questa tecnica non si basa sulla stima precisa di altri parametri (come la temperatura, la profondità della neve e così via). Inoltre, non essendo una misura puntuale, può essere più rappresentativa di un sito specifico.

Le sonde CRNS hanno potuto essere facilmente integrate in stazioni meteorologiche e nivologiche d'alta quota preesistenti. Il basso consumo energetico dell'elettronica ha consentito il funzionamento integrato anche per le stazioni alimentate a celle solari con batterie tampone. La compattezza del sensore ha facilitato la corretta installazione anche su terreni rocciosi.

Le misure di SWE sono state convalidate dal confronto con le misure di carotaggio diretto (metodi YETI e Berni e Giancarelli), con i risultati del modello di simulazione del manto nevoso Snowpack, con valori statistici di riferimento e per diverse quantità di copertura nevosa, ottenendo valori di correlazione superiori a 0.90 per la maggior parte dei siti.

Poiché il manto nevoso è distribuito in modo diverso da sito a sito, a seconda dell'orografia del terreno, dell'esposizione e della presenza di alberi, si possono osservare differenze tra i metodi sopra citati. La valutazione dell'impatto della morfologia del sito e della presenza di elementi naturali/antropici all'interno del footprint della sonda CRNS è in corso di valutazione. Infine l'ottimo accordo tra i dati dimostra che la tecnologia CRNS può essere utilizzata con successo per la stima della neve su larga scala.

Figura 11. Valori di SWE stagionale per il sito di Passo Falzarego con l’evidedente sottostima del sensore CRNS.
Figura 12. Stazione di Cima Pradazzo, q. 2200 m. La stazione è senza neve sotto i sensori. Il CNRS sente la neve che è nel raggio di 20 m fornendo valori di SWE.

BIBLIOGRAFIA

 Bartelt, P., Lehning, M.,(2002). A physical SNOWPACK model for the Swiss avalanche warning: Part I: numerical model Cold Regions Science and Technology 35(3):123-145 35(3): 123-145 DOI:10.1016/ S0165-232X(02)00074-5

 Berni, A., Giancanelli, E., (1967). La campagna di rilievi nivometrici effettuata dall’ENEL nel periodo febbraio – giugno 1966. L’energia elettrica, 9, 542-553

 Birkeland, K.W., (1997). Spatial and temporal variations in snow stability and snowpack conditions throughout the Bridger Mountains, Montana. PhD dissertation, Department of Geography, Arizona State University, Tempe, AZ, 205 pp

 Bozzoli, M., Crespi, A., Matiu, M., Majone, B., Giovannini, L., Zardi, D., Brugnara, Y., Bozzo, A., Berro, D. C., Mercalli, L., & Bertoldi, G. (2024). Long-term snowfall trends and variability in the Alps. International Journal of Climatology, 44(13), 4571–4591. https://doi.org/10.1002/ joc.8597

 Cester, D., Lunardon, M., Moretto, S., Nebbia, G., Pino, F., Sajo-Bohus, L., Stevanato, L., Bonesso, I. and Turato, F. (2016). A novel detector assembly for detecting thermal neutrons, fast neutrons and gamma rays, Nucl. Instrum. Methods 830: 191–196. https://doi.org/10.1016/j. nima.2016.05.079,

 Colombo, N., Guyennon, N., Valt, M., Salerno, F., Godone, D., Cianfarra, P., Freppaz, M., Maugeri, M., Manara,V., Acquaotta, F., Petrangeli, A.B., Romano, R., (2023). Unprecedented snow-drought conditions in the Italian Alps during the early 2020s, Environ. Res. Lett. 18 074014 DOI 10.1088/1748-9326/acdb88

 Gianessi, S., Polo, M., Stevanato, L., Lunardon, M., Francke, T., Oswald, S.E., Ahmed, H.S., Toloza, A., Weltin, G., Dercon, G., Fulajtar, E., Heng, L. and Baroni, G., (2024). Testing a novel sensor design to jointly measure cosmic-ray neutrons, muons and gamma rays for non-invasive soil moisture estimation, Geosci. Instrum. Method. Data Syst. 13: 9–25. https://doi.org/10.5194/gi-13-9-2024, .

 Gottardi, F., Carrier, P., Paquet, E. and Laval M.-T., (2013). Le NRC: une décennie de mesures de l’équivalent en eau du manteau neigeux dans les massifs montagneux français, International Snow Science Workshop 2013, 33, 926–930,

 Kodama, M., Nakai, K., Kawasaki, S. and Wada, M., (1979). An application of cosmic-ray neutron measurements to the determination of the snow-water equivalent, J. Hydrol., 41, 85–92, https://doi. org/10.1016/0022-1694(79)90107-0, 1979.

 Jitnikovitch, A. and Marsh, P. and Walker, B. and Desilets, D., (2021). Snow water equivalent measurement in the Arctic based on cosmic ray neutron attenuation, The Cryosphere, 15, 5227-5239. DOI 10.5194/ tc-15-5227-2021,.

 Morin, M., Horton, S., Techel, F., Bavay, M., Coléou, C., Fierz, F., Gobiet, A., Hagenmuller, P., Lafaysse, M., Ližar, M., Mitterer, C., Monti, F., Müller, K., Olefs, M., Snook, J.S., van Herwijnen, A., Vionnet, V., (2020) . Application of physical snowpack models in support of operational avalan -

che hazard forecasting: A status report on current implementations and prospects for the future, Cold Regions Science and Technology, Volume 170, 2020, 102910, ISSN 0165-232X, https://doi.org/10.1016/j. coldregions.2019.102910 .

 Nitu, R., Roulet, Y.-A., Wolff, M., Earle, M., Reverdin, A., Smith, C., Kochendorfer, J., Morin, S., Rasmussen, R., Wong, K., Alastrué, J., Arnold, L., Baker, B., Buisán, S., Collado J.L., Colli, M., Collins, B., Gaydos, A., Hannula, H.-R., Hoover, J., Joe, P., Kontu, A., Laine, T., Lanza, L., Lanzinger, E., Lee, G.W., Lejeune, Y., Leppänen, L., Mekis, E., Panel, J.-M., Poikonen, A., Ryu, S., Sabatini, F., Theriault, J., Yang, D., Genthon, C., van den Heuvel, F., Hirasawa, N., Konishi, H., Motoyoshi, H., Nakai, S., Nishimura, K., Senese, A. and Yamashita, K., (2018). WMO Solid Precipitation Intercomparison Experiment (SPICE) (2012 – 2015). Instruments and Observing Methods Report No. 131. WMO, Geneve. https://library. wmo.int/idurl/4/56317, 2018

 Oveisgharan, S., Zinke, R., Hoppinen, Z., and Marshall, H. P., (2024). Snow water equivalent retrieval over Idaho – Part 1: Using Sentinel-1 repeat-pass interferometry, The Cryosphere, 18, 559–574, https://doi. org/10.5194/tc-18-559-2024,

 Royer, A., Roy, A., Jutras, S., and Langlois, A. (2021). Review article: Performance assessment of radiation-based field sensors for monitoring the water equivalent of snow cover (SWE), The Cryosphere, 15, 5079–5098, https://doi.org/10.5194/tc-15-5079-2021

 Stevanato, L., Baroni, G., Cohen, Y., Fontana, C.L., Gatto, S., Lunardon, M., Marinello, F., Moretto, S. and Morselli, L.. (2019). A Novel CosmicRay Neutron Sensor for Soil Moisture Estimation over Large Areas, Agriculture 9: 202. https://doi.org/10.3390/agriculture9090202,

 Stevanato, L., Baroni, G., Oswald, S.E., Lunardon, M., Mares, V., Marinello, F., Moretto, S., Polo, M., Sartori, P., Schattan, P. and Ruehm, W., (2022). An Alternative Incoming Correction for Cosmic-Ray Neutron Sensing Observations Using Local Muon Measurement, Geophys. Res. Lett. 49: e2021GL095383. https://doi.org/10.1029/2021GL095383, 2022

 Valt, M. and Cianfarra, P. (2014). Snow water equivalent monitoring from MODIS data: the case study of the upper Piave river basin (eastern Italian Alps). Neve e Valanghe 83, 28-35, DOI: 10.13140/ RG.2.1.1183.8565 .

 Valt, M., (2018). Variabilità spaziale della densità del manto nevoso e dello SWE. IV Interconfronto Snow Water Equivalent: metodi, tecniche e strumenti di misura in ambiente alpino Val di Susa – 19/20 marzo 2018- Atti

 Valt, M., (2023). La risorsa nevosa sulla montagna veneta (SWE). Report SNPA n.36/2023–ISBN 978-88-448-1168-6, Delibera del Consiglio SNPA. 14.07.2023 Doc. n. 213/23 https://www.snpambiente. it/2023/07/20/il-clima-in-italia-nel-2022/

 Weimar, J.O., (2022). Advances in Cosmic-Ray Neutron Sensing by Monte Carlo Simulations and neutron detector development, PhD thesis, Heidelberg University, https://www.physi.uni-heidlberg.de/ Publications/DissertationJannisWeimar.pdf

EVENTI DI nelle Alpi meridionali PIOGGIA (ROS) SU NEVE

Di Mauro Valt

ARPAV-Centro Valanghe di Arabba, Via Arabba-Pradat, 5, 32020 Livinallongo del Col di Lana (BL)- ITALY Mauro.valt @arpa.veneto.it

Rain-on-snow (ROS) events in the Southern Alps

Winter precipitation in the Alps does not show any particular trends. However, especially in the last 40 years, snow depths on the ground have decreased, the share of reliable snow has increased, the amount of new snow has decreased as well as the SWE snow resource has contracted. Thus, rainon-snow episodes are increasing as already pointed out by some authors. Investigating in AINEVA's Italian avalanche services database, an increase in rain-on-snow episodes was found at all elevations, even above 2200 m altitude. The analysis conducted on 20 years of data verified that on days with rain-on-snow events, spontaneous medium and large avalanche activity also appears to be more frequent.

The analysis conducted in the Dolomites on a 6 stations at different elevations further verified the increase in rainy days, especially in February and at medium and low elevations. In the survey area, the number of days with precipitation in the period 2016-2025 decreased by 25 percent, thus indicating more intense episodes as the total precipitation does not show such important changes.

The number of snow days decreased by 33% further indicating the change in snow/rain regime. Over the past 30 years, the snow/rain line has risen by as much as 240 m in January and more than 420 m in February.

Sulle Alpi le precipitazioni invernali, in mm di acqua equivalente non, evidenziano particolari tendenze. Tuttavia, specie negli ultimi 40 anni, gli spessori di neve al suolo si sono ridotti, l’altitudine della neve affidabile è salita, la quantità di neve fresca si è ridotta, così come la risorsa nivale SWE si è contratta. Sono quindi in aumento gli episodi di pioggia su neve, come evidenziato già da alcuni autori. Indagando nel database dei Servizi valanghe italiani di AINEVA, è stato riscontrato un aumento degli episodi di pioggia sulla neve a tutte le quote, anche oltre i 2200 m di quota. L’analisi condotta su 20 anni di dati ha permesso di verificare che nelle giornate con eventi di pioggia su neve, anche l’attività valanghiva spontanea di medie e grandi valanghe sembra più frequente.

L’analisi condotta nelle Dolomiti su 6 stazioni a diverse quote, ha permesso di verificare ulteriormente l’aumento dei giorni di pioggia, specie nel mese di febbraio e alle quote medie e basse. Nell’area di indagine il numero di giornate con precipitazioni nel periodo 2016-2025 è diminuito del 25%, quindi con episodi più intensi in quanto la precipitazione totale non evidenzia così importanti variazioni.

Il numero di giornate nevose è diminuito del 33% ad indicare ulteriormente il cambiamento di regime neve/pioggia. Negli ultimi 30 anni, il limite neve/pioggia si è innalzato di ben 240 m nel mese di gennaio e di oltre 420 m nel mese di febbraio.

Foto 1 (pagina precedente)

Colonne di ghiaccio nel manto nevoso “flow fingers”. Stazione di Col dei Baldi, 1900 m. Primavera 2025. L’acqua trova i percorsi preferenziali per trasferirsi per gravità e capillarità. Foto Renato Zasso

NEVE INTRODUZIONE

Il manto nevoso ha un ruolo importante per diversi aspetti, dall’ecosistema alpino, al sistema economico della montagna e in generale nel bilancio energetico del pianeta. L‘estensione della copertura nevosa (Snow Cover Area-SCA), gli spessori di neve al suolo (HS), la durata della stagione invernale (HSday) e il contributo come risorsa idrica nivale (Snow Water Equivalent, SWE) sono oggetto di monitoraggio a livello planetario.

Negli ultimi anni la SCA ha subito importanti variazioni di estensione anche sull’arco alpino, anche a causa dell’aumento delle temperature (Notarnicola, 2022).

Infatti l’analisi condotta su una base di oltre 800 stazioni delle Alpi nel periodo 19712019 (Matiu et al. 2021) ha evidenziato un trend negativo di HS sull’ 85% delle stazioni e solo un trend positivo del 15% generalmente per le stazioni in quota. La copertura nevosa è diminuita maggiormente sulle stazioni al di sotto dei 2000 m specie sulle Alpi meridionali (principalmente in Italia) rispetto alle Alpi settentrionali.

Nella fascia sotto i 1000 m, la stagione con neve al suolo si è accorciata di 22 giorni sul versante nord delle Alpi e di 26 giorni sul versante sud, mentre fra i 1000 e i 2000 m la diminuzione è stata rispettivamente di 24 e 33 giorni, per il ritardo nella formazione del manto nevoso autunnale ma soprattutto per l’anticipo della fusione (Crespi et al. 2021).

Secondo Marty et al. (2017, 2023) la risorsa idrica nivale (SWE) ha mostrato una diminuzione significativa negli ultimi 6 decenni nelle Alpi, più pronunciata durante la primavera che durante l’inverno, con neve sempre più umida e variabile. Nelle Alpi orientali la riduzione della neve negli ultimi 30 anni (1991-2020) è evidente soprattutto nel mese di marzo con una diminuzione importate della risorsa nivale (SWE) (Valt, 2023).

Anche sulle Alpi orientali è stata osservata una diminuzione della precipitazione nevosa nel mese di febbraio in quota e nei mesi di gennaio e marzo a bassa quota (Valt, 2024) con forti ripercussioni sugli spessori della neve al suolo. Bozzoli et al. (2024) hanno analizzato 46

serie storiche di dati di neve fresca (HN) dell’Arco alpino nel periodo 1920-2020 evidenziando una forte diminuzione della precipitazione nevosa specie negli ultimi 40 anni. Determinante è stato il ruolo che ha avuto l’aumento della temperatura dell’aria come fattore principale del cambiamento di fase neve/pioggia, poiché non sono state osservate variazioni significative dei quantitativi di precipitazione invernale (pioggia + neve fusa).

Sulle Alpi meridionali, nel periodo 19612025 la quota di affidabilità della neve naturale (Beniston, 1997) è aumentata di 233 m per ogni aumento di 1 °C della temperatura media dell’aria (Valt et al., 2022).

Nelle ultime stagioni invernali si è attestata intorno ai 2000 m, rispetto ai 1750 m del periodo 1991-2020.

Quindi, anche in accordo con le conclusioni di Bozzoli et al. (2024), è da ipotizzare un aumento degli episodi di pioggia in inverno ed in particolare di eventi di pioggia sul manto nevoso.

Nel presente lavoro viene analizzata la problematica della neve su pioggia (Rain on Snow, ROS), alcuni effetti relativi al manto nevoso e al distacco di valanghe, l’andamento degli eventi negli ultimi 20 anni e il cambiamento di regime neve fresca/ pioggia per alcune stazioni campione.

PIOGGIA SU NEVE (RAIN ON SNOW)

La pioggia su neve (ROS) si verifica nei periodi in cui le precipitazioni liquide cadono su un manto nevoso preesistente, sia che questo accada sulle Alpi che nelle zone polari.

La pioggia innesca processi di fusione del manto nevoso in zone dove la neve rimarrebbe stabile e fredda, determinando un inizio precoce dell’ablazione e, secondo Choen et al. (2015), questo porterebbe ad una maggior esposizione del suolo al sole e all’aria calda che a sua volta, in alcune zone alpine, determina terreni più asciutti in estate con ampie complicazioni ambientali ed ecologiche.

L’aumento delle temperature osservato nella Svizzera nord orientale nel periodo 1960-2015 (Beniston & Stoffel, 2016), ha

contribuito direttamente all’aumento di eventi di pioggia su neve del 40% alle basse quote e del 200% alle quote elevate. Sempre secondo Beniston & Stoffel i risultati di un semplice modello di neve basato sulla temperatura dell’aria dimostrano che il numero di eventi di ROS potrebbe aumentare di quasi il 50% con temperature di 2-4 °C più calde di quelle attuali, per poi diminuire quando le temperature superano i 4 °C, questo perché verrebbe addirittura a mancare.

La probabilità di un maggior numero di eventi ROS suggerisce che i rischi di inondazione in un clima futuro potrebbero effettivamente peggiorare prima di migliorare. Questi cambiamenti previsti nelle variabili climatiche avranno un forte impatto sui processi idrometeorologici, tra cui l’accumulo di neve al suolo e le dinamiche di fusione del manto nevoso. Si prevedono dei cambiamenti nell’intensità e nella distribuzione delle precipitazioni con un innalzamento del limite pioggia/neve.  Nell'emisfero settentrionale, si prevede che i ROS diventino più intensi con inverni più caldi, che determinerebbero il passaggio dalle precipitazioni solide a quelle liquide, aumentando il rischio di inondazioni (es. Musselman et al, 2018).

Le proiezioni future per le regioni montuose indicano un aumento complessivo dei ROS nella parte centrale della stagione invernale (da novembre a marzo) poiché una maggior quantità di precipitazione cadrà sotto forma di pioggia invece che di neve (li Jeong e Sushama, 2017); al contrario ma anche di conseguenza, si prevede una diminuzione dei ROS, ad inizio e fine inverno, a diretta conseguenza della diminuzione del periodo con neve al suolo.  Tuttavia, secondo Sezen et al. (2020) non è ancora del tutto chiaro come i cambiamenti climatici influenzeranno il ROS, a causa della loro natura complessa.

GLI EFFETTI SULLA DEL MANTO NEVOSO

Gli effetti della pioggia sulla neve sono in generale ancora poco noti.

In ambiente artico questi episodi determi-

nano la formazione di una crosta di ghiaccio che può avere gravi conseguenze per la fauna selvatica, le infrastrutture e le comunità (percorsi ghiacciati per le motoslitte).

In Scandinavia e nel Canada settentrionale ad esempio, le renne e i caribù sono in sofferenza alimentare per l’aumento degli eventi di pioggia che poi rigela sulla neve. Nel 2003, nell’isola di Banks nell’artico canadese, più di 20.000 buoi muschiati sono morti perché non riuscivano a rompere la crosta di ghiaccio per procurarsi il cibo. In situazioni più miti, la pioggia non determina direttamente la fusione del manto nevoso.

In generale l’impatto della pioggia modifica la forma dei grani in superficie e quindi l’albedo che si abbassa, con aumento dell’assorbimento di energia della neve e può aumentare lo SWE del manto nevoso. Se il manto nevoso ha già temperature vicine alla fusione (T=0°C) la pioggia accelera la fusione della neve, mentre se il manto nevoso è freddo (T<0°C), si formano croste di ghiaccio, lenti e colonne di ghiaccio (Foto 1).

Il manto nevoso non si comporta come un mezzo di assorbimento uniforme della pioggia. Infatti l’acqua penetra nel manto cercando i percorsi a minor resistenza utilizzando l’attrazione capillare per attraversare la neve, formando quelli che si chiamano “flow fingers”, ovvero percorsi di flusso preferenziali (colonne di ghiac-

cio). L’acqua riscalda la neve quel tanto che basta per farsi strada, facilitando così il passaggio di tutta l’altra acqua piovana, senza bisogno di riscaldare in modo uniforme il manto nevoso.

Una questione molto importante e in fase di studio è come considerare gli eventi di pioggia su neve nel contesto del bilancio energetico del manto nevoso che controlla la quantità complessiva di fusione della neve e la sua dinamica (Brandt et al. 2022). Sebbene il calore fornito dalla pioggia sia una fonte piuttosto secondaria per la fusion - di solito il 10% del bilancio energetico totale a lungo termine (Li et al., 2019) - l’apporto di calore è più importante per la fusione a breve termine (Hotovy e Jenicek, 2020). Il calore della pioggia può contribuire a più del 25% dell’energia totale accessibile per la fusione della neve durante i giorni di pioggia intensa, accelerandola e di conseguenza aumentando i deflussi.

Inoltre, secondo Mark et al. (1998) e Garvemann et al. (2014), gli episodi piovosi sono spesso associati ad un evento aggiuntivo di calore turbolento (sensibile e latente); anche la radiazione a onde lunghe può accelerare la fusione (Sezen et al. 2020). I ROS sono anche un importante fattore scatenante delle valanghe nei climi marittimi, in quanto la pioggia indebolisce i legami fra i vari grani di neve riducendo la resistenza strutturale del manto nevoso (Conway et al., 1988; Conway & Raymond,

1993; Heywood, 1988, Singh et al., 1997). Gli eventi di pioggia modificano la stabilità del manto nevoso superficiale aumentando l’instabilità specie in presenza di spessori nella norma (se c’è poca neve al suolo, gli effetti sono meno evidenti). In ambiente artico abbiamo documentate situazioni di grandi valanghe spontanee conseguenti a pioggia su neve in Groenlandia nell’aprile del 2016 (Abermann et al., 2019), nel 20212022 e nelle Svalbard nel gennaio 2010 e marzo 2011 (Eckerstrofen & Christiansen, 2011; Vickers et al. 2024).

Dal punto di vista idrologico, le alluvioni associate ad eventi di pioggia su neve, come l’alluvione del 1966 nel Bellunese, hanno una lunga storia di danni materiali, inondazioni e perdite di vite umane (Musselman et al. 2018). Tuttavia la fusione e le piogge contribuiscono simultaneamente al deflusso ed è difficile distinguere i 2 eventi sebbene alcuni studi (Wayand et al., 2015) abbiano tentato di quantificare i contributi separatamente. Con il modello di simulazione SnowPack, nella sua elaborazione dei valori di SWE puntuali, in alcuni episodi è stato possibile distinguere il contributo della pioggia sulla neve e quello della fusione contemporanea.

Singh et al. (1997) hanno indagato sui meccanismi responsabili dell’elevato deflusso durante gli episodi di intense precipitazioni sulla neve e hanno osservato che si verifica un elevato flusso a causa del maggior

Foto 2 - Valanghe di medie dimensioni dopo un evento di pioggia su neve con interessamento di una pista da sci (chiusa al momento dell’evento).

Figura 1: Alpi meridionali. Numero di giornate da dicembre a febbraio (DJF) con osservazione di eventi di pioggia sulla neve.

Figura 2: Alpi meridionali.

Andamento degli eventi di pioggia su neve nella fascia altimetrica fra i 1500 e i 1800 m di quota.

Figura 3: Alpi meridionali.

Andamento degli eventi di pioggia su neve nella fascia altimetrica fra i 1800 e i 2200 m di quota.

Figura 4: Alpi meridionali.

Andamento degli eventi di pioggia su neve osservati nelle stazioni oltre i 2200 m di quota.

movimento di acqua liquida attraverso il manto nevoso ormai saturo (a velocità fino a 6 m/h) rispetto alla percolazione della fusione nelle nevi a cielo sereno (velocità tipiche inferiori a 1 m/h). Il maggior deflusso avviene a seguito del metamorfismo della microstruttura del manto nevoso e della formazione di percorsi di flusso preferenziali nei manti nevosi saturi. Secondo Wever et al., (2016) questi flussi preferenziali e la posizione di ristagno dell’acqua all’interno del manto nevoso possono influenzare la formazione delle valanghe di neve bagnata (Foto 2).

PIOGGIA SU NEVE SULLE ALPI ITALIANE

Area di studio e dati utilizzati

L’area oggetto di indagine per studiare la frequenza degli eventi di pioggia su neve è il versante meridionale delle Alpi monitorato dai Servizi valanghe associati in AINEVA (www.aineva.it), dalle Alpi Marittime a ovest fino alle Alpi Giulie ad oriente. Ogni Servizio valanghe gestisce una propria rete manuale di monitoraggio giornaliero del manto nevoso tradizionale (Cagnati, 2003) dove un tecnico specializzato, ogni giorno

alla mattina, effettua delle misure e delle osservazioni riassunte in un modulo codificato denominato (MOD 1 AINEVA). I campi neve hanno una distribuzione altimetrica e spaziale nel territorio di competenza che varia da Servizio a Servizio in funzione di ogni singola organizzazione. I dati, archiviati a livello locale, confluiscono anche nel data base di AINEVA dove sono condivisi fra tutti i Servizi.

Per distinguere gli eventi di pioggia su neve, sia in presenza di neve fresca che in assenza di precipitazione tipicamente nevosa, sono state utilizzate diverse osservazioni nei campi neve.

Nelle osservazioni meteorologiche definite come “condizioni del tempo” - sigla WW - la pioggia è ben codificata per segnalare la sua intensità: da “pioggia debole intermittente” a “rovescio di pioggia” con ben 7 classi alle quali si aggiunge il “rovescio di neve mista a pioggia” nella sezione “nevicate”.

Inoltre, nelle osservazioni dei “dati nivometrici”, per i campi HS e HN, sussiste una codificazione per indicare la pioggia su neve anche in assenza di misurazione di neve fresca (HN) e quando la neve fresca è stata interessata da pioggia.

Discriminando nel database tutti questi episodi, che spesso sono ridondati come segnalazione ma coerenti, è stato possibile identificare le giornate con pioggia sulla neve a livello di Arco alpino italiano. Sono stati analizzati i dati dal 2006 al 2025 (20 stagioni invernali), utilizzando una base di oltre 200 stazioni distribuite fra i 155 m e i 3325 m di quota, per oltre 800.000 osservazioni giornaliere.

Primi risultati

Nel database di AINEVA (2006-2025) sono state ricercate tutte le giornate in cui l’osservatore ha segnalato la pioggia nelle precedenti 24 ore, sia come evento meteorologico (Campo WW) sia sulla neve (HS, HN). Le giornate con pioggia, relative ad ogni singola stazione, sono state raggruppate in 4 fasce altimetriche: al di sotto dei 1500 m, fra i 1500 e 1800 m di quota, fra 1800 e 2200 e sopra i 2200 m. Si è deciso di analizzare gli episodi sopra i 1500 m di quota per ricercare un eventuale segnale di trend dove si ritiene che l’eventuale variazione di regime neve/pioggia

Figura 5: Alpi meridionali. Episodi di pioggia su neve osservati presso le diverse stazioni AINEVA sulle Alpi meridionali da dicembre a febbraio suddivise per fasce altimetriche. Sull’asse delle ordinate il numero di stazioni con pioggia su neve.

Foto 3 - Valanghe di medie dimensioni dopo un evento di pioggia su neve con interessamento di una via di comunicazione (chiusa al momento dell’evento).

Figura 6: Alpi meridionali. Tipologia di valanghe osservate in seguito ad una precipitazione con neve al suolo. Gli istogrammi rappresentano la percentuale di tipologia di valanga con episodi di pioggia su neve rispetto agli eventi senza pioggia segnalata.segnalata.

possa essere più evidente.

I risultati sono stati raggruppati per singolo evento giornaliero in relazione alla fascia altimetrica più elevata e per numero di stazioni con pioggia per giorno.

Nella Fig. 1 è riportato il numero di giornate con pioggia segnalata oltre i 1500 m di quota per il periodo dicembre-febbraio.

I risultati evidenziano un trend positivo con una certa oscillazione fra stagioni con più eventi e altre meno.

Anche l’analisi per singola fascia altimetrica (Fig. 2, 3, 4) evidenzia un trend positivo, maggiore nella fascia 1500-1800 e minore oltre i 2200 m di quota.

Nella Fig. 5 viene presentato, per singola stagione invernale nel periodo 2016-2025, il numero di stazioni con episodi di pioggia su neve da dicembre a febbraio suddivise per fasce altimetriche; in questa collezione di figure è possibile distinguere i vari eventi apprezzandone anche l’intensità (numero più elevato di osservazioni per fascia altrimetrica). Ad esempio la stagione invernale 2023-2024 è stata caratterizzata da frequenti episodi di pioggia fino in quota. Nella stagione precedente gli episodi si sono verificati per la maggior parte nella prima metà dell’inverno.

Attività valanghiva e pioggia su neve

L’osservazione dell’attività valanghiva dal campo di osservazione manuale è sempre molto difficile durante le precipitazioni per la poca visibilità. Quindi analizzando i dati di “valanghe osservate” durante le precipitazioni nevose e di pioggia su neve, c’è una netta dominanza di “attività non rilevabile”, associata spesso a “visibilità cattiva- meno di 1000 m sull’orizzonte”.

Pertanto sono stati utilizzati i dati delle valanghe osservate di tutta la stagione invernale e per tutte le quote per valutare una corrispondenza con le tipologie di eventi.

L’indagine è stata condotta sul periodo 2006-2025, che ha evidenziato che il 17% delle segnalazioni di valanghe avviene durante gli episodi di neve su pioggia (Foto 3).

E’ interessante notare che oltre il 22% delle segnalazioni riguardano la casistica di “molte valanghe di medie dimensione” e “singole grandi valanghe”. Queste percentuali, maggiori rispetto al dato generale, fanno supporre che in caso di pioggia su neve, la possibilità di valanghe di medie e grandi dimensioni sia maggiore (Fig.6).

VARIAZIONE DEL REGIME NEVE PIOGGIA NELLE DOLOMITI

L’aumento degli episodi di pioggia sulla neve, a parità di quantità di precipitazione finale, indica che piove di più in montagna a scapito della nevicata; del resto le analisi condotte da Bozzoli et al. (2024) sulla quantità di neve fresca, da Matiu et al. (2020) sulla neve al suolo e da Valt (2024) sullo SWE, sono fra loro in accordo.

Per capire come varia il rapporto neve/ pioggia, sono stati indagati gli episodi di pioggia (senza neve fresca) e di neve fresca (anche con pioggia) per alcune stazioni delle Dolomiti ubicate a diverse quote e precisamente:

 Cima Pradazzo – Passo Valles, 2200 m

 Arabba, 1630 m

 Cortina d’Ampezzo, 1200 m

 Falcade, 1150 m

 Auronzo di Cadore, 850 m

 Cencenighe Agordino, 750 m.

Per queste stazioni sono a disposizione i dati giornalieri di neve fresca e i dati di pioggia delle precedenti 24 ore, rilevati alle ore 8:00 del mattino.

Sono stati presi in considerazione tutti i valori di precipitazione piovosa, anche inferiori a 1 mm. I pluviometri delle stazioni automatiche utilizzate sono di tipo riscaldato e quindi in inverno sottostimano la quantità di precipitazione, pur indicando la precipitazione: per questo sono stati presi tutti i valori.

In alcuni casi, nei mesi di gennaio e febbraio, si è osservata la mancanza di dati di precipitazione (in genere pochi mm) anche in presenza di neve fresca. Questo ha portato, in alcune stazioni, ad avere più nevicate che eventi di precipitazione: questo è un tipico problema di misurazione della precipitazione in climi freddi assai noto. Per ogni stazione sono stati calcolati i giorni con neve fresca e rapportati ai giorni totali del mese con precipitazione. Avendo a disposizione 30 e più anni di dati, le elaborazioni sono state estrapolate per i decenni 1996-2005, 2006-2015 e 2016-2025. In questo modo è possibile osservare l’andamento del rapporto neve/eventi di precipitazione.  Nella Fig. 7 si nota come in alcuni casi le nevicate monitorate siano state superiori ai valori misurati dal pluviometro, quindi con una percentuale superiore al 100%, come a Falcade nel mese di febbraio del decennio 1996-2005 o ad Arabba. In generale l’andamento del decennio 2016-2025 evidenzia una diminuzione degli eventi nevosi rispetto al decennio precedente 2006-2015. Il decennio 2006-2015 sembra in effetti più nevoso anche del 1996-2005 anche se la consistenza dei dati di input in alcuni casi,

come per Cortina, lascia dei dubbi. Durante l’ultimo decennio le stazioni in quota, Cima Pradazzo e Arabba, nel mese di febbraio hanno una percentuale più elevata di neve dei due mesi precedenti mentre per le altre stazioni, più a bassa quota, gli eventi di pioggia diventano molto più frequenti rispetto ai mesi precedenti.

Per quanto riguarda le giornate effettive medie di precipitazioni nevose e di pioggia, si osserva una diminuzione delle giornate con precipitazioni del 25% e del 33% delle giornate di neve (Fig. 8) nel decennio recente rispetto al precedente. Precipitazioni in Dolomiti

Per le stazioni indagate delle Dolomiti, il trend di precipitazione cumulato dei mesi di dicembre-gennaio e febbraio, calcolato sul periodo 1996-2025, è positivo (Fig. 9).

Per il mese di gennaio, il trend è contenuto

in tutte le stazioni mentre per dicembre e febbraio è molto più elevato.

Andamento dello zero termico nella libera atmosfera

Utilizzando i dati giornalieri di precipitazione di Arabba (1630 m) dei mesi DJF, è stato selezionato il valore di quota dello zero termico (Z.T.) rilevato nella libera atmosfera dalla stazione di radiosondaggio di Udine Rivolto (https://www.meteonetwork.it/ radiosondaggi/attuale.php?dett=16045) per il periodo 1996-2025.

L’analisi condotta ha evidenziato un innalzamento della quota dello Z.T. in occasione delle nevicate in tutti e 3 i mesi invernali

La Fig. 10 illusta gli andamenti dei mesi di dicembre, gennaio e febbraio nei tre decenni. La quota dello zero termico si abbassa molto nei mesi di gennaio e febbraio per il periodo 1996-2005 e 2006-2015 mentre,

Figura 7: Alpi meridionaliDolomiti. Percentuale di nevicate rispetto al totale degli eventi mensili di precipitazione, suddivisi per decenni e per stazioni della montagna veneta. Nel decennio recente (2006-2015) la percentuale si è fortemente abbassata specie a bassa quota e nel mese di febbraio.

nel periodo recente, la quota si innalza da dicembre a gennaio per poi avere una lieve flessione. Se nel mese di dicembre la quota rimane pressoché stazionaria nei tre periodi, nel mese di gennaio si innalza progressivamente di 100 e 140 m circa, mentre a febbraio si innalza di ben 85 e 342 m per una differenza fra il 1996-2005 e 2016-2025 di quasi 430 m di quota.

CONCLUSIONI

Nel presente lavoro sono state analizzate le osservazioni e misure effettuate in più di 200 campi nivometrici dell’arco alpino meridionale durante le ultime 20 stagioni invernali, per ricercare se gli episodi di pioggia su neve sono più frequenti. Molti studi evidenziano che I quantitativi di precipitazione, come mm di pioggia equivalente durante l’inverno (DJF), non sono variati di molto

Figura 8: Alpi meridionaliDolomiti. Numero di giornate con pioggia o con neve per decennio (valore medio) per alcune stazioni della montagna veneta

Figura 9: Alpi meridionaliDolomiti. Valore medio della precipitazione in mm nel periodo DJF. Il trend è positivo anche se la media per decennio, evidenzia una leggera diminuzione nel periodo recente.

Figura 10: Alpi meridionali orientali- Udine Rivolto. Andamento dello zero termico (Z.T.) alle ore 12:00 nelle giornate delle precipitazioni nei mesi di DJF. Nel decennio recente la quota nei mesi di gennaio e febbraio è più elevata che a dicembre. L’innalzamento della quota è di oltre 420 m a febbraio fra il 1996-2005 e il 2016-2025.

mentre la quantità di neve fresca caduta, la quantità di neve al suolo e di risorsa nivale (SWE) sono in contrazione, specie negli ultimi 40 anni. Analizzando alcune osservazioni effettuate presso i campi nivometrici, come la qualità del tempo meteorologico e gli episodi segnalati di neve al suolo (HS) o con neve fresca (HN), è stato possibile individuare una prima tendenza. Negli ultimi 20 anni, gli episodi di pioggia su neve sono aumentati e confermano un trend positivo, sia nella fascia altimetrica più soggetta ai cambiamenti climatici attuali - 1500-1800 m di quota - che alle quote superiori (1800-2200 e oltre i 2200 m). Il trend positivo si evidenzia in tutti e tre i mesi invernali (dicembre, gennaio e febbraio). Inoltre analizzando la quantità di campi nivometrici che riportano giornalmente la pioggia su neve, si osserva una maggior spazialità degli episodi.

L’analisi dell’attività valanghiva naturale in corrispondenza di eventi di pioggia su neve è stata condotta sull’intera stagione invernale, esaminando i dati di tutte le stazioni poste a diverse quote per avere un dato più solido che indichi eventuali interazioni.

I valori elaborati evidenziano una possibile maggior frequenza di molte valanghe di medie dimensioni e singole grandi valanghe in occasione di questi eventi.

Un’indagine condotta in alcune stazioni delle Dolomiti Venete, evidenzia un calo del 25% delle giornate con precipitazioni nel periodo DJF nel decennio 2016-2025 rispetto al precedente e del 33% di quelle nevose, soprattutto nel mese di febbraio alle quote medio basse.

La quota dello zero termico durante le precipitazioni si è innalzata di ben 240 m a gennaio negli ultimi 30 anni e di oltre 420 m nel mese di febbraio, condizionando e innalzando in modo deciso il limite neve/pioggia, almeno nelle Alpi meridionali orientali.

RINGRAZIAMENTI

Il presente lavoro è stato realizzato grazie al lavoro degli osservatori nivologici che, presso dighe e campi neve, hanno rilevato i dati per la compilazione del modello 1 AINEVA. A loro va il più sincero ringraziamento.

BIBLIOGRAFIA

 Abermann, J. ,Eckerstorfer, M., Malnes, E., Ulf Hansen, B., (2019). A large wet snow avalanche cycle in West Greenland quantified using remote sensing and in situ observations Natural Hazards (2019) 97:517–534 https://doi.org/10.1007/s11069-019-03655-8

 Beniston, M. (1997). Variations of snow depth and duration in the swiss Alps over the last 50 years: links to changes in large-scale climatic forcings. In: Climatic change at high elevation sites. Berlin, Germany: Springer, pp. 49–68.

 Beniston M, Stoffel M., (2016). Rain-on-snow events, floods and climate change in the Alps: Events may increase with warming up to 4 °C and decrease thereafter, Sci Total Environ . 2016 Nov 15:571:228-36. doi:10.1016/j.scitotenv.2016.07.146

 Bozzoli, M., Crespi, A., Matiu, M., Majone, B., Giovannini, L., Zardi, D., Brugnara, Y., Bozzo, A., Berro, D. C., Mercalli, L., & Bertoldi, G. (2024). Longterm snowfall trends and variability in the Alps. International Journal of Climatology, 44(13), 4571–4591. https://doi.org/10.1002/joc.8597

 Brandt, W.T., et al., (2022). A review of the hydrologic response mechanisms during mountain rain-on-snow. Frontiers in Earth Science, 10, 791760. doi:10.3389/feart.2022.791760

 Cagnati A. (2003). Sistemi di misura e metodi di osservazione nivometeorologici. AINEVA, Trento, 186 pp.

 Cohen, J., Ye, H., & Jones, J. (2015). Trends and variability in rain‐on‐snow events. Geophysical Research Letters, 42, 7115–7122. https://doi. org/10.1002/2015GL065320

 Conway, H., Breyfogle, S., Wilbour, C.R., (1988). Observations relating to wet snow stability. International Snow Science Workshop, ISSW'88 Commission, Whistler, B.C., Canada.

 Conway, H., & Raymond, C. F. (1993). Snow stability during rain. Journal of Glaciology, 39(133), 635–642. https://doi.org/10.1017/ S0022143000016531

 Crespi A., Matiu M., Bertoldi G. Petitta M., e M. Zebisch.. (2021). A highresolution gridded dataset of daily temperature and precipitation records (1980–2018) for Trentino-South Tyrol (north-eastern Italian Alps . Earth Syst. Sci. Data, 13, 2801–2818, 2021. https://doi.org/10.5194/ essd-13-2801-2021

 Eckerstorfer M, Christiansen HH (2011) Meteorology, topography and snowpack conditions causing two extreme mid-winter slush and wet slab avalanche periods in high arctic maritime svalbard. Permafr Periglac Process. https ://doi.org/10.1002/ppp.7344

 Garvelmann, J., Pohl, S., and Weiler, M., (2014). Variability of observed energy fluxes during rain-on-snow and clear sky snowmelt in a midlatitude mountain environment. Journal of Hydrometeorology, 15 (3), 1220–1237. doi:10.1175/JHM-D-13-0187.1

 Heywood, L., (1988). Rain on snow avalanche events—Some observations. Proceedings of the International Snow Science Workshop.

 Hotovy, O. and Jenicek, M., (2020). The impact of changing subcanopy radiation on snowmelt in a disturbed coniferous forest. Hydrological Processes, 34 (26), 5298–5314. doi:10.1002/hyp.13936

 Il Jeong, D. and Sushama, L., (2017). Rain-on-snow events over North America based on two Canadian regional climate models. Climate Dynamics, 50 (1–2), 303–316. doi:10.1007/s00382-017-3609-x

 Li, D., et al., (2019). The role of rain-on-snow in flooding over the conterminous United States. Water Resources Research, 55 (11), 8492– 8513. doi:10.1029/2019WR024950

 Matiu, M. et al. (2021). Observed snow depth trends in the European Alps: 1971 to 2019. Cryosphere 15, 1343–1382. https://doi.org/10. 5194/ tc-15-1343-202

 Marks, D., et al., (1998). The sensitivity of snowmelt processes to climate conditions and forest cover during rain-on-snow: a case study of the 1996 Pacific Northwest flood. Hydrological Processes, 12 (10–11), 1569–1587. doi:10.1002/(SICI)1099-1085(199808/09)12:10/11<1569:: AID-HYP682>3.0.CO;2-L

 Marty, C., Rohrer, M.B., Huss, M. & Stähli, M. (2023.) Multi-decadal observations in the Alps reveal less and wetter snow, with increasing variability. Frontiers in Earth Science, 11, 1165861. Available from: https:// doi.org/10.3389/feart.2023.1165861

 Marty, C., Tilg, A. M. & Jonas, T. (2017). Recent evidence of largescale receding snow water equivalents in the European Alps. Journal of Hydrometeorology, 18(4), 1021–1031. Available from: https://doi. org/10.1175/JHM-D-16-0188.1

 Musselman, K. N., Lehner, F., Ikeda, K., Clark, M. P., Prein, A. F., Liu, C., et al. (2018). Projected increases and shifts in rain‐on‐snow flood risk over western North America. Nature Climate Change, 8(9), 808.

 Notarnicola C. (2022). Overall negative trends for snow cover extent and duration in global mountain regions over 1982–2020. Scientifc Reports | (2022) 12:13731. https://doi.org/10.1038/s41598-022-16743wValt M. (2024). Agordo. Conferenza

 Sezen, C., et al., (2020). Investigation of rain-on-snow floods under climate change. Applied Sciences (Switzerland), 10, 4

 Singh, P., Spitzbart, G., Hübl, H., & Weinmeister, H. W. (1997). Hydrological response of snowpack under rain‐on‐snow events: A field study. Journal of Hydrology, 202(1‐4), 1–20. https://doi.org/10.1016/S0022‐1694(97)00004‐8ISSW'88 Comm., Whistler, B.C., Canada.

 Valt M., Cianfarra, P. Valt, M. (2022). Neve e Clima sulla Alpi Italiane, Neve e Valanghe n. 96, pag.2-15.

 Vickers H, Saloranta T, Køltzow M, van Pelt WJJ and Malnes E (2024) An analysis of winter rain-on-snow climatology in Svalbard. Front. Earth Sci. 12:1342731. doi: 10.3389/feart.2024.1342731

 Wayand, N. E., Lundquist, J. D., & Clark, M. P. (2015). Modeling the influence of hypsometry, vegetation, and storm energy on snowmelt contributions to basins during rain‐on‐snow floods. Water Resources Research, 51, 8551–8569. https://doi.org/10.1002/2014WR016576

 Wever, N., Würzer, S., Fierz, C., and Lehning, M. (2016). Simulating ice layer formation under the presence of preferential flow in layered snowpacks, The Cryosphere, 10, 2731–2744, doi:10.5194/tc-10- 27312016, 2016bWürzer, S., et al., 2016. Influence of initial snowpack properties on runoff formation during rain-on-snow events. Journal of Hydrometeorology, 17 (6), 1801–1815. doi:10.1175/JHM-D-15-0181.1

VALANGHE

28 DIMENSIONE VALANGHE E PROBLEMI TIPICI VALANGHIVI

40 CAIROS

Armonizzare la valutazione sitospecifica del rischio valanghe a livello transfrontaliero

46 ANALISI DI RISCHIO VALANGHIVO A SCALA REGIONALE IN PIEMONTE

54 X-RISK-CC STUDIA IL CONTESTO ALPINO DELLA VAL DI FIEMME E FASSA

DIMENSIONE VALANGHIVI

DELLA VALLE D’AOSTA VALANGHE E PROBLEMI TIPICI

Andrea Debernardi

Fondazione Montagna Sicura, Villa Cameron, Loc. Villard de la Palud 1, 11013 Courmayeur (AO), Italy.

Valerio Segor

Capo della Protezione Civile - Protezione Civile, Regione Autonoma Valle d’Aosta, Loc. Les Iles 7, Saint-Christophe (AO), Italy.

Over the last few years one of the main wills of all the European avalanche warning services has been to share their experiences and try as much as possible to have common levels of evaluation and standards. In fact, within the EAWS, main standards have been codified such as the European Avalanche Danger Scale, the information pyramid, the EAWS matrix, avalanche problems and avalanche size. This study will take into account the last two standards. Avalanche problems and their size are, by the way, very useful for historical comparisons between different winter seasons. Taking into account the many informations collected within AINEVA’s Avalanche report - Models 7, it was decided to verify whether from the available data it was possible to define the relative “avalanche problem” to the various historical avalanches registered and also provide a dimension of the event. This further definition of past avalanche events aims to make them more easily comparable and classifiable both within the regional context and in a broader, international context. The bet was therefore to populate the historical database in the most automated way possible, after adapting some values, trying to minimize the possibility of mistaken attributions to dimensions or avalanche problems. In order to assign one of these parameters to the greatest possible number of historical events, action was taken by asking the IT company IN.VA. Spa to create an algorithm with SQL language capable of analyzing the data in our possession in the database, populating the new preset field for this job. In the article we will explain what procedures we have followed to do this and how we will proceed in the future to use and process this data incorporated within the database of the regional avalanche register.

ANALISI DEL DATABASE

DEL

CATASTO VALANGHE

Nel corso degli ultimi anni la volontà di tutti i servizi europei è stata quella di mettere a fattor comune le proprie esperienze e cercare il più possibile dei parametri di valutazione e standard operativi. In quest’ottica in seno all’EAWS si sono codificati e aggiornati degli standard fondamentali quali la Scala del pericolo valanghe europea, la piramide informativa, la matrice EAWS, i problemi valanghivi e le dimensioni delle valanghe. Il presente studio terrà conto proprio degli ultimi due standard che EAWS ha introdotto rispettivamente nel 2015 e 2017. I problemi valanghivi e le dimensioni delle valanghe, possono essere molto utili per poter fare analisi storiche anche tra gli inverni passati e quello attuale e renderli più confrontabili e classificabili sia in ambito regionale, sia in un ambito internazionale. Tenendo conto della ricchezza di dati che sono presenti all’interno delle Schede segnalazione valanghe - Modelli 7 Aineva, si è deciso di verificare se dai campi informativi presenti si poteva incasellare le varie valanghe in un relativo problema valanghivo e definire la dimensione. Per attribuire al numero maggiore possibile di valanghe storiche uno dei 5 problemi valanghivi (più le cornici) e le dimensioni delle valanghe si è agito chiedendo alla ditta informatica IN.VA. Spa di codificare delle regole di priorità in linguaggio SQL. Nell’articolo spiegheremo che procedimenti abbiamo seguito per fare questo e come ci muoveremo in futuro per utilizzare ed elaborare questi dati incamerati all’interno del database del Catasto regionale valanghe del Centro funzionale e pianificazione.

1 - L’home page dell’European Avalanche warning service (https:// www.avalanches.org/).

VALANGHE

INTRODUZIONE

Nel corso degli ultimi anni, esattamente dal 1983, le associazioni e uffici nazionali che si occupano della problematica valanghiva in Europa si sono associate e hanno dato origine all’European Avalanche Warning Service (EAWS) (Fig.1). La volontà di tutti i servizi europei è stata quella di mettere a fattor comune le proprie esperienze e cercare il più possibile di elaborare delle linee guida e avere dei parametri di valutazione comuni. Tutto questo per facilitare l’utenza dei bollettini neve e valanghe europea ed internazio -

nale nella comprensione degli elaborati di ogni servizio valanghe. In quest’ottica in seno all’EAWS si sono codificati o aggiornati degli standard fondamentali quali la Scala del pericolo valanghe europea, la piramide informativa, la matrice EAWS, i problemi valanghivi e le dimensioni delle valanghe (Fig.2). Il presente studio terrà conto proprio degli ultimi due standard che EAWS ha introdotto rispettivamente nel 2015 e 2017.

Ormai da alcuni anni nell’ottica della redazione dei bollettini valanghe le attribuzioni dei problemi valanghivi e le dimensioni

Fig. 2 - Le pagine del sito Eaws relative agli Avalanche size (https:// www.avalanches.org/ standards/avalanchesize/) e gli Avalanche problems (https:// www.avalanches.org/ standards/avalancheproblems/).

delle valanghe attese, o di quelle che si sono già verificate, sono utilissime ai previsori valanghe per capire in quale scenario di pericolo valanghivo ci si trova (nowcast) o ci si sta indirizzando per predire la sua evoluzione per i giorni a venire (forecast). Inoltre questi due standard possono essere molto utili all'utenza per pianificare e gestire le proprie attività in ambiente innevato e agli specialisti per poter fare analisi storiche anche tra gli inverni passati e quello attuale. Qui sorge un problema: i dati storici che l’Ufficio neve e valanghe ha raccolto e validato nel corso dei decenni passati non avevano catalogate le valanghe in base alla dimensione o al problema tipico valanghivo. Quindi come fare a incasellare i dati storici all’interno di queste categorie definite di concerto in EAWS?

Tenendo conto della ricchezza di dati che sono presenti all’interno delle Schede segnalazione valanghe - Modelli 7 Aineva, si è deciso di verificare se da altri campi informativi presenti, si poteva classificare le varie valanghe in un relativo problema e definire anche una dimensione (Fig. 3). Tale volontà di incasellamento dei singoli eventi valanghivi censiti nasce dal volerli rendere più facilmente confrontabili e classificabili sia all’interno dell’ambito regionale, sia in un ambito allargato, europeo. L’attività svolta è stata quindi quella di popolare la banca dati storica con i valori sopra citati in maniera il più automatizzata possibile, cercando di ridurne al minimo la possibilità di erronee attribuzioni a dimensioni o problemi valanghivi. Nei prossimi paragrafi verranno illustrati i procedimenti seguiti per fare quanto sopra esposto. Si porrà attenzione anche come in futuro questi dati incamerati all’interno del database del Catasto regionale valanghe del Centro funzionale e pianificazione potranno essere valorizzati.

COS’E’ IL CATASTO REGIONALE VALANGHE

Da quale database si è attinto per aggiungere problemi valanghivi e incasellare le valanghe nella tabella delle dimensioni? Si tratta del database Oracle del Catasto regionale valanghe (https://catastovalanghe.

Fig.

partout.it/), nel quale al 2022 risiedono informazioni relative a 2.289 siti valanghivi (Fig. 4) che interessano circa il 18% della superficie del territorio regionale (Fig. 5). Questi siti hanno originato ad oggi un numero rilevante di eventi valanghivi e la

progressivo che permette un’identificazione univoca del fenomeno. Ad esempio la valanga detta Courthoud corrisponde al codice 14-027, dove la cifra 14 indica il comprensorio “Val di Rhêmes” e la cifra 027 indica il fenomeno “valanga Courthoud”. Al sito valanghivo sono associati i diversi eventi verificatisi nel corso degli anni, per cui, per il fenomeno 14-027, si potrà confrontare, ad esempio, l’evento del 17 febbraio 2014 con quello del maggio 1846 o del 20 febbraio 1951.

Per ulteriori approfondimenti si rimanda agli articoli specifici sul Catasto valanghe pubblicati sui numeri 66 e 76 della rivista di Aineva “Neve e Valanghe” nel corso degli anni passati.

La mole di informazioni raccolte dai primi anni Settanta è quindi notevole e l’esigenza di mantenerle ordinate e sempre aggiornate è forte. Infatti ormai da diversi anni l’Ufficio si è dotato di software sviluppati assieme alla ditta IN.VA. Spa capaci di adempiere a questo compito.

Il Catasto valanghe così informatizzato ci permette ad oggi un’agevole elaborazione di numerosi parametri statistici legati alla dinamica degli eventi valanghivi censiti al suo interno.

Ma per cercare di attribuire anche alle valanghe censite precedentemente al 2021 uno dei problemi tipici e la rinnovata scala delle dimensioni, è stato necessario effettuare una serie di ragionamenti e adattamenti che hanno portato a degli aggiornamenti e implementazioni informatiche. Esaminiamole più nello specifico.

IMPLEMENTAZIONE DEL DATABASEMETODI SEGUITI

Fig. 3 - Scheda generale di un Modello 7 – Aineva in uso presso l’Ufficio neve e valanghe della Valle d’Aosta.

Fig. 4 - Le valanghe della Valle d’Aosta censite al 2022.

Fig. 5 - L’incremento dei fenomeni valanghivi censiti e contenuti all’interno del Catasto regionale valanghe dal 1970 ad oggi.

banca dati ne contiene al 2022 ben 11.705 corredati da 42.000 scatti fotografici.

In sintesi la struttura del Catasto è questa: ad ogni valanga, intesa come sito valanghivo (per esempio: il bacino del Torrent de Courthoud), è associato un numero

Problemi tipici valanghivi I 5 problemi tipici valanghivi come definiti dai Servizi Valanghe Europei EAWS (https://www.avalanches.org/standards/ avalanche-problems/) hanno lo scopo di descrivere scenari/situazioni tipiche che accadono su terreno valanghivo e di fornire un supporto ai professionisti e agli utenti sportivi-ricreativi nella loro valutazione del rischio. Esse completano il grado di pericolo e i luoghi pericolosi (inclinazione del

Fig. 6 - Icone EAWS relative a problemi tipici valanghivi. Nell’ordine neve fresca, neve ventata, neve bagnata, strati deboli persistenti, valanghe da slittamento e problema opzionale delle cornici (https://www.avalanches. org/standards/avalancheproblems/).

si è agito chiedendo alla ditta informatica

IN.VA. Spa di codificare in linguaggio SQL un algoritmo capace di analizzare i dati presenti nel Modello 7 Aineva e di definire in quale problema valanghivo l’evento valanghivo in questione ricadesse, andando a popolare il nuovo campo preimpostato all’interno del database.

All’interno di queste Schede segnalazione valanghe - Modello 7 Aineva sono presenti dei campi alfanumerici che hanno il compito di descrivere la tipologia della valanga, analizzandone i vari aspetti. Soprattutto nelle sotto schede denominate CAUSE

Fig. 7 - Diagramma di flusso dell’algoritmo utile a codificare i problemi tipici valanghivi.

Fig. 8 - Diagramma di flusso dell’algoritmo utile a codificare i problemi tipici valanghivi.

pendio e quota) e rappresentano il terzo livello della piramide informativa contenuta nei bollettini neve e valanghe (Fig. 6). Ai classici 5 si è deciso di aggiungere il problema delle cornici, molto sentito in alcune nazioni, soprattutto in Scozia, ma

anche rilevante in Valle d’Aosta, non tanto per il numero di dati censiti con questa causa di distacco, ma per la dinamica e le dimensioni che essa può provocare. Per attribuire al numero maggiore possibile di valanghe storiche uno dei problemi

PRINCIPALI DEL DISTACCO e SUPERFICIE DI SCORRIMENTO troviamo indicazioni utili per incasellare l’evento valanghivo in un problema valanghivo specifico. Infatti dai dati presenti in queste sotto schede si può capire, se compilati, se la valanga ha avuto origine a causa della presenza di strati deboli persistenti, quali brina di profondità o brina inglobata, oppure se la causa principale di distacco è da collegare all’accumulo di neve fresca o di neve ventata, oppure se è intervenuto un rialzo delle temperature facendo inumidire la coltre nevosa, ecc. Nel caso le sotto schede sopra menzionate fossero prive di dati, l’algoritmo va a controllare quali campi sono compilati nella sotto scheda INFO e in particolare i valori presenti nel campo METEO 2-3 GG PRECEDENTI L’EVENTO o AL MOMENTO DELL’EVENTO.

Tale procedimento logico e l’algoritmo hanno permesso di determinare il problema tipico valanghivo per 4.384 eventi valanghivi aventi un lasso temporale che include le valanghe più vecchie censite fino a quelle della stagione invernale 2021-2022.

Descrizione dell'algoritmo in SQL a supporto dei PROBLEMI TIPICI VALANGHIVI

a) Introdotto un nuovo attributo "PROBLEMI_VALANGHIVI", aggiunto nella tabella DISTACCO (con valore di default 0).

b) Modellazione in banca dati della classificazione dei problemi tipici valanghivi grazie all'introduzione di un nuovo dizionario dati, costituito dai seguenti valori:

1.'0','Vuoto'

2.'1','Neve fresca'

3.'2','Neve ventata'

4.'3','Neve bagnata'

5.'4','Valanghe da slittamento'

6.'5','Stati deboli persistenti' 7.'6','Cornici'

c) Calcolo del problema tipico valanghivo - Per tutte le Valanghe non considerate incidenti - I Parte (Quando sotto scheda distacco contiene valori) (Fig. 7).

d) Calcolo del problema tipico valanghivo - Per tutte le Valanghe non incidenti e PROBLEMI_VALANGHIVI non valorizzato - II Parte (Fig. 8).

e) Calcolo del problema tipico valanghivo - Per tutte le Valanghe considerate incidenti - I Parte (Quando sotto scheda distacco contiene valori) (Fig. 9).

f) Calcolo del problema tipico valanghivo - Per tutte le Valanghe considerate come

incidenti e PROBLEMI_VALANGHIVI non valorizzato - II Parte (Fig. 10).

Dimensione delle valanghe

La base di partenza per la codifica di questo valore sono sempre i dati già presenti all’interno del database del Catasto valanghe. La Scala “Avalanche size” dell’EAWS e la tabella di Jamieson, B., (2006 - The Avalanche Handbook) che riprende gli studi di McClung and Schaerer (1981), sono state scelte come base e riferimento per incasellare i vari valori perché risultano molto complete tenendo conto non solo le dimensioni ma anche il potenziale distruttivo della valanga.

In particolare la sezione della tabella considerata è stata la colonna denominata “Typical path length” o “typical length”. Ad essa si sono dovuti aggiungere alcuni valori per ottenere dei range di intervalli

che permettessero di incasellare le varie valanghe in uno dei 5 size previsti (Fig. 11).

Qui sotto si riporta un estratto della tabella modificata, con gli intervalli utilizzati all’interno dell’algoritmo con l’aggiunta di un valore vuoto per le valanghe di cui

non si riesce a fare la valutazione della dimensione:

TIPICAL PATH LENGTH

- size 1: 10-50 m length

- size 2: 50-200 m length

- size 3: 200-1000 m length

- size 4: 1000-2000 m length

- size 5: >2000 m length

- Valore vuoto

Il valore utilizzato all’interno del database per trovare una collocazione in tabella è stato quello più aderente alla “path length” espressa in metri, che fosse allo stesso tempo presente nel maggior numero di schede segnalazione valanghe e che fosse anche rappresentativo.

Quindi il dato su cui è caduta la scelta è stato il “dislivello” espresso in metri, misurato sul piano topografico, che rappresenta la differenza tra la quota più alta del distacco a quella più bassa dell’accumulo della valanga.

È necessario ricordare che spesso le schede Modello 7 Aineva non sono compilate in tutte le sezioni, poiché alcuni valori sono impossibili da recuperare in quanto di difficile misurazione, soprattutto in siti

Fig. 9 - Diagramma di flusso dell’algoritmo utile a codificare i problemi tipici valanghivi.

Fig. 10 - Diagramma di flusso dell’algoritmo utile a codificare i problemi tipici valanghivi.

Fig. 11 - Tabella della dimensione delle valanghe di McClung and Schaerer (1981, 2006).

Fig. 12 - Valanga 16006 detta “Lavancher” (Morgex) del 22-12-2020. In alto la zona principale di distacco a quasi 2700 m di quota (riga rossa) e le principali zone di scorrimento (arancione). Sotto lo scatto che documenta l’accumulo allo sbocco del conoide sul fondovalle a 1050 m di quota. Se avessimo tenuto conto nell’algoritmo del valore “lunghezza lineare di scorrimento” (lenght) la valanga avrebbe avuto un size 5 misurando circa 3000 m. Mentre usando il valore “dislivello” (1970 m) l’attribuzione ricade in un size 4. Valore ben più corretto anche verificando successivamente la magnitudo con le foto e la perimetrazione in ambiente GIS (immagine a fianco delle fotografie).

Fig. 13 - Tabella Excel di controllo manuale delle categorie di Size Avalanche.

VALANGHE

valanghivi con zone di distacco poco visibili o difficilmente accessibili. Per questo la scelta del valore di riferimento è caduto sul valore più presente ovvero il “dislivello”.

Controllo dei dati risultanti step 1

Per essere sicuri che l’utilizzo di questo

procedimento automatico fosse corretto, con una approssimazione accettabile, si è proceduto ad un controllo manuale di 51 eventi valanghivi appartenenti a tutte e 5 le classi di dimensione: tenendo conto del valore di dislivello si è attribuita la classe di size. Successivamente, con l’ausilio del

dato riportato sul supporto cartografico GIS e del materiale fotografico a disposizione, si è verificato che effettivamente la valanga ricadesse nella classe corretta. Si è appurata la bontà dei risultati derivanti dall’utilizzo della correlazione tra il valore di dislivello presente nel database del Catasto

e dei range di length indicati nella tabella EAWS modificata (vedi sopra). Solo nel 9,8 % dei casi (5 valanghe su 51) si è riscontrata una errata attribuzione della classe di size. L’errata attribuzione ha riguardato un solo livello dei valori proposti in tabella e generalmente si è verificato per difetto, ovvero se nella realtà la valanga era una size 3, con la conversione automatica questa era stata definita come size 2. Il valore di incertezza di attribuzione con questo meccanismo è stato ritenuto accettabile, tenendo conto

che una più affinata attribuzione del size richiederebbe l’intervento manuale di un tecnico nivologo esperto per ciascuna valanga presente nel database del Catasto Valanghe: visto il numero di eventi da esaminare, tale ipotesi è da scartare a priori!

Si deve notare che alcune classi dimensionali presentano degli intervalli di length molto ampi e per questo possono ricadere in esse valanghe di dimensioni davvero differenti. Facciamo un esempio, nel size 3 troviamo valanghe che possono avere

dai 200 ai 1000 m di percorso/dislivello, quindi avranno sicuramente consistenze molto diverse.

Si tratta di una semplificazione attribuire un valore di size tenendo conto solo di un dato quale la lunghezza e in particolare nel nostro caso del dislivello, ma risulta comunque un buon compromesso. Soprattutto vista la difficoltà di reperire altri dati quali il volume iniziale al distacco, le pressioni di impatto o il volume totale al deposito (altri parametri espressi all’inter-

Fig. 14 - Diagramma di flusso dell’algoritmo utile a codificare le dimensioni delle valanghe.

Fig. 15 - Estratto dei 2580 scatti fotografici d’epoca da cui sono state tratte informazioni utili per popolare la banca dati del Catasto regionale valanghe.

VALANGHE

no della tabella EAWS presa a riferimento) (Fig. 12). Sono tutti valori molto importanti, ma desumibili solo per pochi eventi valanghivi, particolarmente importanti che hanno interessato viabilità, infrastrutture, abitazioni o persone. A maggior ragione, dovendo estendere tale analisi anche a valanghe di numerosi decenni addietro, tali valori non potevano essere presi in considerazione, perché laddove presenti risultavano suscettibili di un’elevata variabilità legata alla valutazione empirica del dato da parte dei rilevatori.

Controllo dei dati risultanti step 2

Si è scelto di utilizzare il valore fornito dal campo “dislivello” anche per un altro motivo. Come detto precedentemente è

il valore più popolato all’interno del database, ma oltre a questo aspetto è stato effettuato un ulteriore controllo specifico: sempre tenendo conto delle 51 valanghe selezionate e esaminate in precedenza, si è approfondita l’analisi valutando anche l’ipotetica lunghezza del percorso tenendo conto di un angolo medio di inclinazione dei pendii pari a 36° (Fig. 13). Questo valore lo si è desunto dai 2289 siti valanghivi del Catasto regionale al 2022 cartografati dalla zona di distacco a quella di accumulo in ambiente GIS: si tratta quindi dell’angolo medio di inclinazione dei percorsi valanghivi valdostani finora censiti in tutta la loro interezza. Tale valore è stato applicato nella formula trigonometrica dislivello percorso valanghivo/seno di 36° = ipotenusa,

ovvero ipotetica lunghezza del percorso. A questo punto con questo ulteriore valore di lunghezza del percorso valanghivo (quindi con la correzione legata all’angolo medio di inclinazione sopra menzionato), si è proceduto con una seconda riclassificazione delle 51 valanghe per capire se si modificava il size rispetto alla prima analisi. Si è notato come questo ultimo valore di size fosse meno performante dal punto di vista qualitativo rispetto all’utilizzo del più semplice valore di “dislivello”. Infatti, ad una analisi attenta degli effetti che le valanghe avevano avuto su elementi del paesaggio quali edifici e foreste, si è notato come le valanghe venivano incasellate in una categoria di size eccessiva.

Quindi a maggior ragione si è tenuto, come precedentemente accennato, il valore unico di "dislivello" per determinare le dimensioni delle valanghe.

Tale procedimento logico è stato tradotto dai tecnici informatici di IN.VA. Spa in un algoritmo che una volta messo a punto, ha permesso di determinare l’Avalanche size classification per 3.614 eventi valanghivi verificatisi in un lasso temporale che va dal 1845 alla stagione invernale 2021-2022.

Descrizione dell'algoritmo in SQL a supporto della Dimensione delle valanghe

Si è proceduto inizialmente con il calcolo

del dislivello tenendo conto o meno in primis della presenza del dato e in secundis del rispettivo valore registrato nella

tabella INFO.

a) - Calcolo del dislivello

1.Step - Verificata la presenza contemporanea dei dati relativi a:

• DISLIVELLO - dato se presente nella tabella INFO

• QUOTA_MAX - dato se presente nella tabella DISTACCO

• QUOTA_MIN - dato se presente nella tabella ACCUMULO

2. Step - Se il dato del dislivello è risultato presente e corrispondente con l'espressione algebrica --> QUOTA_MAX - QUO -

TA_MIN  non viene aggiornato

3. Step - Altrimenti il valore del dislivello viene sostituito con il valore dell'espressione algebrica -->  QUOTA_MAX - QUO -

TA_MIN

È stato poi introdotto un nuovo dizionario dati a supporto della classificazione della dimensione della valanga .

b) - Modellazione in banca dati la classificazione delle dimensioni grazie all'introdu-

zione di un nuovo dizionario dati, costituito dai seguenti valori:

1.0 --> 'Valore vuoto'

2.1 --> 'size 1: 10-50 m'

3.2 --> 'size 2: 50-200 m'

4.3 --> 'size 3: 200-1000 m'

5.4 --> 'size 4: 1000-2000 m'

6.5 --> 'size 5: >2000 m'

Infine, è stato eseguito il calcolo della dimensione della valanga

c) - Introduzione di un nuovo attributo "DIMENSIONE_VALANGHE", aggiunto nella tabella INFO (con valore di default 0), e valorizzato in base alla logica riportata nella Fig. 14.

UN CATASTO SEMPRE IN MIGLIORAMENTO

Ogni spunto di ricerca e elaborazione dati partendo dal database del Catasto del Centro funzionale e pianificazione permette di effettuare controlli qualitativi e quantitativi, su quanto già presente e digitalizzato in passato.

Partendo da questo assunto nel corso del

lavoro fino a qui esposto è stato possibile aggiungere dati alfanumerici e apportare delle migliorie. Infatti si segnala che durante la fase di ricontrollo dei dati sono emersi dei valori di dislivello da verificare. Così dei 143 valori non congrui ne è stato corretto il valore, migliorando la qualità dei dati presenti nel database. Da sottolineare anche che utilizzando altri applicativi sviluppati di concerto con IN.VA. Spa nel 2020 si è proceduto alla creazione e inserimento di ben 518 nuovi Modelli 7 nel database del Catasto, partendo da 2.580 fotografie storiche cartacee, scansionate e digitalizzate. Queste risultavano comprendere un lasso temporale che abbracciava gli anni Sessanta fino ai primi anni del 2000. Le scansioni sono state abbinate ai vari Modelli 7 informatizzati e alle schede generali. Per poter arrivare a questo risultato è stato necessario rinominare correttamente tutte le immagini, esaminarle una per una per differenziare quelle in cui è presente un evento valanghivo (1.575) da quelle senza (1.005) (Fig. 15). Dopo di che da esse sono state estrapolate le infor-

Fig. 16: distribuzione percentuale delle dimensione delle valanghe di tutto il database del Catasto regionale valanghe.

Si è quindi cercato di popolare il più possibile la banca dati storica prima di effettuare il lavoro di attribuzione dei problemi tipici valanghivi e le dimensioni delle valanghe.

ANALISI FINALI E SVILUPPI FUTURI

Fig. 17 - distribuzione percentuale dei problemi tipici valanghivi di tutto il database del Catasto regionale valanghe.

Fig. 18 - distribuzione percentuale dei problemi tipici valanghivi della stagione invernale 2020-2021. Si noti la netta predominanza del problema valanghivo “strati deboli persistenti”.

mazioni relative al numero della valanga, l’anno di caduta e con l’ausilio di altri automatismi è stato possibile attribuire l’esposizione prevalente al distacco e inserire delle note utili per la descrizione della valanga in oggetto all’interno della scheda relativa ad ogni fotografia in cui era documentato un evento valanghivo. Questo lavoro ha permesso di valorizzare il meticoloso lavoro di scansione e ridenominazione delle tante

fotografie cartacee di alcuni comprensori valanghivi che precedentemente risultavano ancora inseriti parzialmente all’interno del Catasto informatizzato.

Le operazioni sopra descritte hanno richiesto l'ausilio di diversi passaggi informatici e hanno permesso in maniera semiautomatica di recuperare dati storici dall’attività di digitalizzazione di documentazione fotografica in formato cartaceo.

Il lavoro svolto fino ad oggi per popolare e arricchire il database del Catasto regionale valanghe ha portato ad avere una corposa banca dati alla quale nei prossimi anni si potrà ulteriormente attingere per studi specifici e ricerche sia con uno sguardo “regionale”, sia con un’ottica più globale. In particolare i valori di Avalanche Size e Avalanche problems ci permetteranno di effettuare una analisi statistica tenendo conto di come possano essersi modificati tenendo conto delle variazioni climatiche degli ultimi anni e di come possono essere influenzati dalla spazializzazione geografica e altitudinale.

A una prima rapida analisi su tutto il database si nota come la dimensione delle valanghe più censita sia la size 3 - Large e i problemi tipici valanghivi più diffusi siano la neve bagnata e la neve ventata (Figg. 16 e 17). Da qui si aprono molte prospettive di analisi. Ad esempio facendo una analisi tenendo conto dei soli dati della stagione invernale 2020-2021 si riscontra una netta predominanza del problema valanghivo “strati deboli persistenti” (Fig.18), valore legato alla presenza di questi strati che hanno portato all’intenso ciclo valanghivo di fine gennaio 2021 e a diverse criticità su strade di fondovalle e incidenti durante attività escursionistica.

Un ulteriore focus potrà essere effettuato mettendo a confronto stagioni invernali differenti, oppure esaminare il data set delle valanghe che hanno interessato ambiti urbanizzati o escursionisti, con l’obbiettivo comune di comprenderne le caratteristiche quali le dimensioni e le cause predisponenti al distacco.

RINGRAZIAMENTI

Gli autori desiderano ringraziare IN.VA Spa, in particolare Flavio Vallet e colleghi, Igor Chiambretti di AINEVA, la dirigente del

Centro funzionale e pianificazione Sara Maria Rotto e Ketty Carere, tutti i colleghi dell’Ufficio neve e valanghe, in particolare Simone Roveyaz e Eloïse Bovet e tutti i rilevatori che ogni anno aiutano il Servizio di previsione nella raccolta dei dati per il Catasto Valanghe, per il Bollettino Valanghe e tutte le altre attività. In particolare si evidenziano le Commissioni Valanghe Locali, che si adoperano per la prevenzione del rischio valanghe e il Corpo Forestale della Valle d'Aosta che ci fornisce numerose informazioni sugli eventi valanghivi. Grazie a tutti, il vostro lavoro è molto importante!

BIBLIOGRAFIA

 Cagnati, A., 2003. Strumenti di misura e metodi di osservazione nivometeorologici. Associazione Interregionale Neve e Valanghe, 133 pp.  Cestari P, 1996. Il rilevamento degli eventi valanghivi – La revisione del Mod.7 AINEVA, AINEVA – Neve e valanghe N. 91, Trento.

 Debernardi, A., Segor, V., 2012. Il nuovo Catasto Valanghe http://catastovalanghe.: Neve & Valanghe, n. 76, pp. 34-45, Aineva, Trento - Italy.

 Debernardi, A., don Papone, P., Segor, V., 2016. Saint-Rhêmy – Disgrazia lungo la Via Francigena,: Neve & Valanghe, n. 89, pp. 24-31, Aineva, Trento - Italy.

 Debernardi, A., Borney, E., 2018. Una valanga che non scende più: la valanga di Coussa Marque di Valgrisenche – Lavancher: Neve & Valanghe, n. 91, pp. 10-17, Aineva, Trento - Italy.

 Debernardi, A., Durand, N., Segor, V., Plater, A., 2020. Il Caso studio della valanga di Testa Grigia Orsio del 24/11/2019 – Gressoney-La-Trinité: Neve & Valanghe, n. 94, pp. 18-25, Aineva, Trento - Italy.

 Debernardi, A., Segor, V., 2013. The avalanche cadaster of the Valle d’Aosta Region (NW Italian Alps): the new born web portal (http:// catastovalanghe.partout.it/) - International Snow Science Workshop Grenoble - Chamonix Mont-Blanc

 Debernardi, A., Segor, V., Antonello G., Dellavedova P., Frigo B., 2014. An event in periglacial Mont-Blanc area: the Arp Vieille Dessot avalanche in Val Veny , Courmayeur – AO (IT) - International Snow Science Workshop 2014 in Banff

 Debernardi, A., Segor, V., Burelli G., Durand N., 2018. The extraordinary 2017-2018 winter season in Aosta Valley – AO (IT) - International Snow Science Workshop 2018 in Innsbruck.

 Jamieson, Beglinger, and Wilson, 2014, Case study of a large snow avalanche in the Selkirk Mountains and reflections on the Canadian size classification: in Geohazards 6 – 6th Canadian Geohazards Conference, Kingston, Ontario, Canada.

 Jamieson (Ed.), 2018, Planning methods for assessing and mitigating snow avalanche risk: Canadian Avalanche Association, Revelstoke, British Columbia, Canada.

 McClung and Schaerer, 1981, Snow avalanche size classification: Canadian Avalanche Committee – Avalanche Workshop 3-5 November 1980 - Associate Committee on Geothecnical Research, Technical Memorandum 133, National Research Council of Canada, 12-27.

 McClung and Schaerer, 2006, The Avalanche Handbook, 3rd Edition: The Mountaineers, Seattle, Washington, U.S..

 McClung, 2009, Dimensions of dry snow slab avalanches from field measurements: Jour. Geophys. Res., Vol. 114(F1).

 Mercalli, L. (editor), 2003. Atlante climatico della Valle d'Aosta. SMSSocietà Meteorologica Subalpina, Aosta - Italy.

 Roveyaz, S., Debernardi, A., 2019 La valanga di Aviel – La memoria storica recuperata: Neve & Valanghe, n. 93, pp. 30-43, Aineva, Trento - Italy.

 Segor, V. (editor), 2010. Rendiconto Nivometeorologico - Inverno 20212022, Regione Autonoma Valle d’Aosta - Direzione assetto idrogeologico dei bacini montani - Ufficio neve e valanghe, Quart.

 Segor, V., Debernardi, A., Roveyaz, S., Borney, E., 2010, Nuove problematiche di gestione delle valanghe in Valle d'Aosta - Lavancher: Neve & Valanghe, n. 70, pp. 28-35, Aineva, Trento - Italy.

 Valt, M., 2020. Problemi tipici valanghivi – Prime analisi sul loro utilizzo nei bollettini valanghe: Neve & Valanghe, n. 94, pp. 2-9, Aineva, Trento - Italy.

 EAWS dataset last access august 2023: https://www.avalanches.org/ standards/avalanche-problems/

 EAWS dataset last access august 2023:https://www.avalanches.org/ standards/avalanche-size/

 EAWS dataset last access august 2023:https://www.avalanches.org/ about/#our-mission

 SLF dataset last access august 2023:https://www.slf.ch/it/bollettinovalanghe-e-situazione-nivologica/info-bollettino-valanghe/problemitipici-valanghivi.html

 AINEVA dataset last access august 2023:https://aineva.it/pubblicazioni/ il-bollettino-valanghe-e-la-scala-di-pericolo-2/

Trentino, Alto Adige e Tirolo: una nuova sinergia per le Commissioni Locali Valanghe

CAIROS

Alice Gasperi

Servizio Prevenzione Rischi e C.U.E. della Provincia Autonoma di Trento – Ufficio Previsioni e Pianificazione alice.gasperi@provincia.tn.it

Jakob Schwarz

Agenzia per la Protezione Civile della Provincia Autonoma di Bolzano – Ufficio Meteorologia e Prevenzione Valanghe jakob.schwarz@provinz.bz.it

Michael Winkler

Amt der Tiroler Landesregierung – Abteilung Krisen- und Gefahrenmanagement michael.winkler@tirol.gv.at

The CAIROS project, launched in the spring of 2024 on the initiative of the European Grouping of Territorial Cooperation Euregio Tyrol–South Tyrol–Trentino, aims to optimize the operational processes of local avalanche commissions in order to improve avalanche risk management in areas with settlements, transport, and winter tourism infrastructure, through the adoption of shared tools and methodologies.

The project is structured around three main components: (1) a common training program that can be implemented across all participating regions; (2) an integrated software platform to simplify information gathering, decision-making, documentation, and communication between commissions; (3) avalanche scenario maps developed using the open-source tool AvaFrame, designed for practical and immediate use by commission members.

CAIROS, an acronym for Common Avalanche Commission Information, Report and Operations System, also evokes the Greek concept of “KAIROS”, meaning “the right moment.” In the philosophy of the project, this motto reflects the commitment to making the right decisions at the right time, a crucial element in managing natural hazards.

Armonizzare la valutazione sitospecifica del rischio valanghe a livello transfrontaliero

Il progetto CAIROS, avviato nella primavera del 2024 su iniziativa del Gruppo Europeo di Cooperazione Territoriale Euregio Tirolo-Alto AdigeTrentino, ha come obiettivo l'ottimizzazione dei processi operativi delle Commissioni Locali Valanghe, al fine di migliorare la gestione del rischio valanghivo in aree antropizzate attraverso l'adozione di strumenti e metodologie condivise.

Il progetto si articola su tre principali elementi: (1) un programma formativo comune che potrà essere implementato in tutte le regioni coinvolte; (2) una piattaforma software integrata per semplificare la raccolta delle informazioni, il processo decisionale, la documentazione e la comunicazione tra le commissioni; (3) mappe di possibili scenari valanghivi, sviluppate mediante lo strumento open-source AvaFrame, orientate ad un utilizzo pratico ed immediato da parte dei commissari.

CAIROS, acronimo di Common Avalanche Commission Information, Report and Operations System, richiama il concetto greco di "KAIROS", che significa "il momento giusto". Nella filosofia del progetto, questo motto si traduce nella volontà di prendere decisioni corrette al momento opportuno, un aspetto cruciale nella gestione dei fenomeni naturali.

Fig. 1 - I tre pilastri del progetto CAIROS –formazione, strumenti digitali e modellazione – sostengono l’obiettivo di armonizzare le attività delle commissioni valanghe. Il nome richiama il concetto greco di Kairos, ovvero il momento giusto per agire.

Fig. 2 - La figura rappresenta le tre aree progettuali di CAIROS: Tirolo, Alto Adige e Trentino. In trasparenza sono raffigurate tutte le commissioni valanghe attive nell’Euregio. Le aree evidenziate con colori più marcati indicano le commissioni pilota selezionate per la fase di sperimentazione.

VALANGHE

INTRODUZIONE

La gestione rischio valanghe, in molte aree antropizzate dell’arco alpino, è affidata alle attività delle Commissioni Valanghe, gruppi di esperti locali che supportano i decisori nella valutazione delle condizioni nivometeorologiche e nella definizione di eventuali misure di sicurezza. Nell’area dell’Euregio

Tirolo–Alto Adige–Trentino, le commissioni operano principalmente a livello comunale. Attualmente, la cooperazione interregionale e transfrontaliera tra esse è spesso limitata, nonostante la vicinanza territoriale e la condivisione di problematiche simili. Il progetto Interreg CAIROS, finanziato dall’Unione Europea nell’ambito del programma Interreg VI-A Italia-Austria, nasce per affrontare questa frammentazione,

con l’intento di rafforzare il coordinamento tra le Commissioni Locali Valanghe. L’obiettivo viene perseguito promuovendo una standardizzazione in ambito formativo, attuando prassi comuni e consolidate nei processi valutativi e utilizzando supporti digitali per la raccolta, la consultazione e la condivisione delle informazioni.

CAIROS si ispira ai risultati positivi del progetto ALBINA - Valanghe.report (Mitterer C. et al., 2018; Lanzanasto N. et al, 2018), e prosegue nella direzione tracciata anche dal progetto TINIA - Meteo.report, entrambi sviluppati nell’ambito dei precedenti Interreg Italia-Austria, con l’obiettivo di migliorare la qualità, la fruibilità multilingue e la condivisione delle informazioni nivologiche e meteorologiche all’interno

dell’Euregio. CAIROS rappresenta quindi un ulteriore passo nell’ambito della gestione integrata del pericolo valanghe.

STRUTTURA DEL PROGETTO

CAIROS è articolato secondo una struttura modulare e integrata, basata su cinque pacchetti di lavoro (Work Packages - WP), ciascuno finalizzato al raggiungimento di obiettivi specifici. Il primo pacchetto di lavoro (WP1) riguarda la gestione del progetto e la comunicazione, funzioni trasversali a tutte le attività tecniche e operative. I pacchetti successivi (WP2–WP5) si concentrano invece sulle componenti sostanziali del progetto.

Il WP2 si occupa dell'armonizzazione e standardizzazione dei processi operativi delle commissioni valanghe, attraverso un’analisi dei bisogni e dei metodi attualmente in uso nei territori coinvolti.

Il WP3 è dedicato allo sviluppo e all’implementazione di un programma formativo standardizzato, che comprende la definizione di livelli di competenza, obiettivi di apprendimento e moduli didattici bilingui. Il WP4 prevede la progettazione e realizzazione di un nuovo sistema software, con funzionalità offline e mobile, integrato con strumenti di supporto decisionale basati su modelli dinamici per la simulazione di valanghe.

Infine, il WP5 si concentra sulla fase di test e sperimentazione delle soluzioni sviluppate, che verranno applicate in due aree pilota – il Passo del Brennero e il Passo Sella – per verificarne l’efficacia operativa e, in base ai risultati ottenuti, favorire un’estensione progressiva delle metodologie e degli strumenti a tutte le Commissioni Locali Valanghe dell’Euregio. Questa struttura progettuale consente un approccio graduale, ma sistematico, allo sviluppo di strumenti innovativi per la gestione del rischio valanghe.

OBIETTIVI E METODOLOGIA

Il progetto CAIROS si basa su tre pilastri fondamentali:

Passo Rolle – Cimon della Pala

Il primo pilastro consiste in un'analisi preliminare delle pratiche esistenti e delle esigenze operative delle Commissioni Locali Valanghe. Sulla base degli standard definiti, verranno progettati moduli formativi teorici e pratici, articolati su diversi livelli di competenza. La definizione delle competenze e dei relativi contenuti formativi si baserà sull’approccio DACUM (Developing A Curriculum), che permette di strutturare la formazione in maniera aderente alle reali esigenze del contesto operativo delle commissioni valanghe. I materiali didattici saranno disponibili in formato digitale, in lingua italiana e tedesca, per favorire un accesso uniforme alla formazione. Il programma potrà comprendere anche un modello “train-the-trainer”, per facilitare la diffusione dei contenuti in modo capillare ed efficace.

Il secondo pilastro del progetto prevede lo sviluppo di un nuovo ambiente digitale, progettato per essere compatibile con

dispositivi mobili e utilizzabile anche in modalità offline, al fine di supportare in modo pratico ed efficace il lavoro delle commissioni valanghe. L’architettura del software sarà costruita seguendo il flusso logico “percepire – valutare – agire” (Amt der Tiroler Landesregierung, 2022; Amt für Meteorologie und Lawinenwarnung der Autonomen Provinz Bozen, 2022) e si baserà sull’implementazione ed estensio

ne di alcune piattaforme già adottate con successo in Tirolo e Alto Adige. Il sistema includerà le seguenti funzionalità principali:

 documentazione delle valutazioni effettuate;

 comunicazione interna tra i commissari e comunicazione esterna verso i decisori istituzionali;

 accesso ai contenuti formativi, con

Dati comparativi sulle Commissioni Locali Valanghe nei territori dell’Euregio (aprile 2025)

* In Trentino, sebbene le Commissioni Locali Valanghe siano 29, molte operano in forma intercomunale, interessando complessivamente 50 comuni.

Fig. 3 - Stato attuale (aprile 2025) delle Commissioni Locali Valanghe attive nell’area Euregio.
Fig. 4 - Attività formative teoriche e pratiche realizzate in Tirolo, Alto Adige e Trentino, stagione invernale 2024-2025.

Fig. 5 - Confronto tra due scenari valanghivi nella zona del Passo Sella.

I risultati preliminari mostrano la potenziale estensione dei percorsi valanghivi per due diversi scenari, definiti sulla base dei dati dei bollettini valanghe e del modello digitale del terreno. A sinistra, uno scenario con esposizioni est, sud e ovest, nelle fasce altitudinali Tree Line e Below tree Line, in regime bagnato, con stabilità molto scarsa, frequenza “alcuni” e dimensioni ≤ 2.

A destra uno scenario con settori esposti a nord, est, sud e ovest, nelle fasce altitudinali Alpine e Tree Line, caratterizzato da un regime asciutto, stabilità molto scarsa frequenza “pochi” e dimensioni ≤ 4. Fonte: BFW.

possibilità di registrazione ai moduli formativi e tracciamento dello storico dei corsi frequentati;  gestione amministrativo-organizzativa dei commissari e della struttura di ciascuna commissione.

Il terzo pilastro del progetto è incentrato sullo sviluppo di uno strumento di supporto decisionale che consente di simulare la dinamica valanghiva in funzione di scenari specifici e delle caratteristiche morfologiche del terreno. Tale strumento è sviluppato in stretta collaborazione con il Centro Federale di Ricerca sulle Foreste - Bundesforschungszentrum für Wald (in sigla BFW) – di Innsbruck, che apporta un know-how consolidato nella modellazione dei fenomeni valanghivi.

L’implementazione si articolerà in tre fasi principali:

1. Delimitazione delle aree potenzialmente soggette a distacco: attraverso l’analisi morfologica del terreno, della quota e dell’esposizione verranno identificate le potenziali aree di distacco;

2. Simulazione numerica del percorso e della dinamica della valanga: mediante l’impiego del modello AvaFrame (Oesterle et al., 2024), utilizzando il modulo computazionale FlowPy (D’Amboise

et al., 2022), sarà possibile riprodurre possibili scenari di mobilità valanghiva, simulando l’intensità e l’estensione del deflusso. Il modello tiene conto di parametri chiave come la dimensione relativa della valanga rispetto al pendio e il regime di flusso, distinguendo tra condizioni di neve asciutta o bagnata.

3. Mappatura e visualizzazione dei risultati: le simulazioni saranno integrate in un’interfaccia georeferenziata intuitiva, pensata per facilitare la comunicazione e l’interpretazione dei dati da parte dei portatori d’interesse locali, in particolare sindaci, tecnici e membri delle commissioni.

RISULTATI

PRELIMINARI E PROSPETTIVE

Attualmente (aprile 2025), il progetto è attivo su tutti e tre i pilastri e ha completato con successo la fase di raccolta e analisi dei requisiti. Tale fase è stata condotta attraverso un’intensa interazione con le commissioni valanghe durante l’inverno 2024/2025, includendo incontri sul campo, scambi di esperienze e la reciproca partecipazione ai corsi di formazione da parte dei referenti di CAIROS di ciascun

territorio. Queste attività hanno permesso di costruire una base solida e condivisa per lo sviluppo dei contenuti e degli strumenti formativi.

È attualmente in fase di elaborazione lo schema formativo dettagliato, articolato per livelli di competenza e coerente con gli standard individuati. Lo sviluppo del software è stato affidato al Datenverarbeitung Tirol del Tirolo (in sigla DVT), mentre l’implementazione del modello per la simulazione della dinamica valanghiva, già in fase avanzata, è realizzata dal Bundesforschungszentrum für Wald (BFW).

I primi test operativi sono programmati per l’inverno 2025/2026 e verranno condotti in due aree pilota strategiche: il Passo del Brennero (tra Tirolo e Alto Adige) e il Passo Sella (tra Alto Adige e Trentino). Le due località sono state selezionate non solo per la loro rilevanza infrastrutturale, ma anche per l’elevato livello di coinvolgimento e motivazione delle commissioni valanghe locali, oltre che per le marcate differenze al livello morfologico dei due territori. Il progetto CAIROS rappresenta un passo significativo verso la modernizzazione e l’armonizzazione delle attività delle commissioni valanghe in un contesto alpino transfrontaliero. L’approccio integrato, che

unisce standardizzazione dei processi, formazione e strumenti di simulazione avanzati, mira a rafforzare la cooperazione tra le istituzioni locali e a migliorare la sicurezza per le aree montane antropizzate.

L’adozione di pratiche comuni e condivise, supportate da strumenti tecnologici open source e da una rete di formatori, potrà costituire un modello replicabile anche in altri contesti alpini.

RINGRAZIAMENTI

L'attuazione del progetto CAIROS è stata resa possibile grazie al sostegno del Gruppo Europeo di Cooperazione Territoriale Euregio Tirolo-Alto Adige-Trentino, con il coinvolgimento diretto dei servizi competenti dei tre territori: il Servizio Prevenzione Rischi e Centrale Unica di Emergenza della Provincia Autonoma di Trento – Ufficio Previsioni e Pianificazione, l'Agenzia per la Protezione Civile di Bolzano – Ufficio Meteorologia e Prevenzione Valanghe, e l'Amt der Tiroler Landesregierung – Abteilung Krisen- und Gefahrenmanagement. Il progetto CAIROS è finanziato dal Fondo Europeo di Sviluppo Regionale e dal programma Interreg VI-A Italia-Austria 2021-2027 e si concluderà nella primavera del 2026.

BIBLIOGRAFIA

un'opportunità di approfondimento e confronto sul progetto. Fonte: Euregio/GNews.

 Amt der Tiroler Landesregierung, ed.: Ausbildungshandbuch der Tiroler Lawinenkommissionen, Innsbruck, Austria, 6 edn., 2022.

 Amt für Meteorologie und Lawinenwarnung der Autonomen Provinz Bozen - Südtirol, ed.: Ausbildungshandbuch für Südtiroler Lawinenkommissionen, Bozen-Bolzano, Italy, 1 edn., 2022.

 D'Amboise, C. J. L., Neuhauser, M., Teich, M., Huber, A., Kofler, A., Perzl, F., Fromm, R., Kleemayr, K., and Fischer, J.-T.: Flow-Py v1.0: a customizable, open-source simulation tool to estimate runout and intensity of gravitational mass flows, Geosci. Model Dev., 15, 2423–2439, https://doi.org/10.5194/gmd-15-2423-2022, 2022.

 Lanzanasto, N., Boninsegna, A., Cestari, P., Kriz, K., Nell, D., Pucher, A., and Mitterer, C.: Project ALBINA: The technical framework for a consistent, cross-border and multilingual regional avalanche forecasting system, pp. 1045–1051, ISSW 2018 Innsbruck, Austria, URL https://arc.lib.montana.edu/snow-science/ item/2705, 2018.

 Mitterer, C., Lanzanasto, N., Nairz, P., Boninsegna, A., Munari, M., Geier, G., Rastner, L., Gheser, F., Trenti, A., Benigni, S., Tognoni, G.-L., Pucher, A., Nell, D., Kriz, K., and Mair, R.: Project ALBINA: A conceptual framework for a consistent, cross-border and multilingual regional avalanche forecasting system, pp. 1523–1530, ISSW 2018 Innsbruck, Austria, URL https://arc.lib.montana.edu/snow-science/objects/ISSW2018_O17.8.pdf, 2018.

 Oesterle, F., Wirbel, A., Fischer, J.-T., Huber, A., and Spannring, P.: AvaFrame, DOI 10.5281/zenodo.14893015, URL https://doi.org/10.5281/zenodo.14893015, 2025

 Winkler, M., Gasperi, A., Schwarz, J., Hesselbach, C., St. Clair, A., Griesser, S., Benigni, S., Gaddo, M., Munari, M., Genswein, M., Mitterer, C., Fisher, J.-T., Adams, M. and Riedl, H.: Project CAIROS: harmonizing avalanche commissions’ workflow, training and tools, pp. 13-19, ISSW 2024 Tromsø, Norway, URL https://arc.lib. montana.edu/snow-science/objects/ISSW2024_O1.3.pdf, 2024.

Fig. 6 - Foto scattata durante la presentazione del progetto CAIROS presso la sede Euregio di Bolzano, il 18 ottobre 2024. In occasione dell'evento sono stati organizzati workshop con le commissioni pilota offrendo

ANALISI DI RISCHIO A SCALA REGIONALE IN VALANGHIVO PIEMONTE

Lanteri Luca, Pispico Rocco, Solero Erika ARPA Piemonte, Torino, Italy

Chiambretti Igor AINEVA, Trento, Italy

This study develops a methodology for analysing avalanche risk at the regional level, adapting established methods already used for assessing other natural hazards, such as floods and landslides.

The methodology is based on applying the classic BUWAL Matrix method, which is suitably adapted to the regional avalanche context. The hazard levels (low, medium, high) were defined based on the type, size and frequency of avalanche phenomena, according to data from the Avalanche Information System (SIVA).

The elements exposed to risk were identified by integrating various regional information sources, primarily the Territorial Reference Database of Local Authorities (BDTRE).

The spatial intersection between danger and human presence has made it possible to assign a risk level to each element, classified on a scale from R1 to R4. The exposed population and the economic value of buildings in residential and productive areas at risk have been estimated on an experimental basis. A strength of the methodology is the organisation and management of data and analysis algorithms within a PostgreSQL database. This technological choice guarantees flexibility, traceability and ease of updating analytical processes, allowing new information to be incorporated efficiently and promptly. The analysis identified the most exposed elements, providing helpful information for spatial planning and the definition of priorities for further local investigation, in line with the provisions of the Directive of the President of the Council of Ministers of 12 August 2019. The tool also provides operational support for defining alert scenarios on a regional scale.

Questo studio sviluppa una metodologia per l'analisi del rischio valanghe a livello regionale, adattando metodi consolidati già impiegati per altri rischi naturali, come alluvioni e frane. La metodologia si basa sull'applicazione del classico metodo della Matrice BUWAL, opportunamente adattato al contesto valanghivo. I livelli di pericolosità (basso, medio, alto) sono stati definiti sulla base di tipologia, dimensioni e frequenza dei fenomeni valanghivi, secondo i dati presenti nel Sistema Informativo Valanghe (SIVA). Gli elementi esposti a rischio sono stati identificati integrando diverse fonti informative regionali, in primis la Banca Dati Territoriale di Riferimento degli Enti (BDTRE). L’incrocio spaziale tra pericolo e presenza antropica ha permesso di attribuire a ciascun elemento un livello di rischio, classificato su una scala da R1 a R4. In via sperimentale sono stati stimati la popolazione esposta e il valore economico degli edifici ricadenti in aree residenziali e produttive a rischio. Un punto di forza della metodologia adottata è l'organizzazione e la gestione dei dati e degli algoritmi di analisi all'interno di un database PostgreSQL, scelta tecnologica che garantisce flessibilità, tracciabilità e facilità di aggiornamento dei processi analitici, consentendo di incorporare nuove informazioni in modo efficiente e tempestivo.

L’analisi ha consentito di individuare gli elementi maggiormente esposti, fornendo indicazioni utili alla pianificazione territoriale e alla definizione di priorità per eventuali approfondimenti locali, in linea con quanto previsto dalla Direttiva del Presidente del Consiglio dei Ministri del 12 agosto 2019. Lo strumento rappresenta inoltre un supporto operativo alla definizione di scenari di allerta su scala regionale.

Fig. 1: Esempio di riclassificazione degli attributi associati alla viabilità nella zona della alta Val Chisone e alta Val Susa; in rosso i tratti di strada modificati.

VALANGHE INTRODUZIONE

La Direttiva del Presidente del Consiglio dei Ministri del 12 agosto 2019, recante "Linee guida operative per la gestione organizzativa e funzionale del Sistema di Allertamento Nazionale e Regionale e della pianificazione territoriale di protezione civile nell'ambito del rischio valanghe", definisce un quadro operativo per il coordinamento tra le autorità competenti in caso di emergenze valanghive. Essa disciplina le procedure di allerta, gestione informativa e intervento operativo, fornendo anche criteri per la redazione dei piani territoriali di protezione civile, coerenti con le specificità del rischio valanghe.

La direttiva stabilisce che, entro due anni dalla sua pubblicazione, le Regioni debbano produrre, in collaborazione con i Comuni, una prima mappatura delle aree soggette a rischio valanghe, emanando contestualmente le direttive di allerta e le linee guida per la pianificazione di protezione civile a livello provinciale, comunale o intercomunale.

In Piemonte, a supporto di tali attività, è stato avviato il "Progetto strategico per il completamento della cartografia valanghiva nel territorio regionale", mirato a completare la mappatura presente nel SIVA per le

aree precedentemente prive di dati, almeno per quanto concerne le principali zone antropizzate (Prola et al., 2021).

La metodologia è stata adattata alle tempistiche ristrette del progetto, utilizzando i dati derivanti dagli strumenti urbanistici approvati (PRGC) e, laddove assenti, mediante fotointerpretazione, successivamente validata tramite sopralluoghi mirati in aree antropizzate di particolare interesse e analisi di informazioni d'archivio già disponibili.

Seppur meno approfondita e completa rispetto al metodo comunemente utilizzato per la redazione delle Carte di Localizzazione Probabile delle Valanghive (CLPV), questa metodologia ha permesso di coprire una vasta porzione di territorio regionale in tempi contenuti.

Per giungere ad una prima valutazione del rischio a scala regionale, è stata predisposta una metodologia derivata da quella già applicata da Arpa Piemonte (Agenzia Regionale per la Protezione dell'Ambiente) nell'ambito di altre tipologie di rischio, in particolare quella per l'attuazione dei Piani di Gestione del Rischio Alluvionale a Scala di Bacino (PGRA), come definito dal D.Lgs. 49/2010, in attuazione della Direttiva Alluvioni 2007/60/CE della Commissione Europea.

RACCOLTA E VALIDAZIONE DELLE INFORMAZIONI SULLE

INFRASTRUTTURE

Per passare dalla cartografia valanghiva, che individua le zone interessate da fenomeni valanghivi, a una cartografia preliminare del rischio, che considera anche gli effetti e i danni associati ai fenomeni, è necessario disporre di una base dati accurata sulle infrastrutture.

In Piemonte la Banca Dati Territoriale di Riferimento per gli Enti (BDTRE), rappresenta la principale banca dati geografica regionale, implementata e aggiornata dal settore cartografico della Regione Piemonte. Questa è strutturata secondo le Regole tecniche nazionali per la definizione delle specifiche di contenuto delle banche dati geo-topografiche è supporta la attività di pianificazione, di governo e di protezione del territorio. Nel presente studio sono stati presi in considerazione i seguenti livelli informativi:  discariche;  edifici;  nodi della rete elettrica;  unità di insediamento;

 beni ai sensi della legge 1497/1939;  elementi importanti del paesaggio;  sistemi di ville, giardini e parchi;  strade ed elementi stradali;  elementi di trasporto dei cavi;  elementi ferroviari;  piste da sci.

Questi dati sono stati integrati con le informazioni dell'edizione 2012 della mappa dell'uso del suolo della Regione Piemonte, articolata in 74 diverse classi di uso del suolo secondo la legenda CORINE Land Cover. La copertura raster originale è stata vettorializzata per facilitare l’analisi spaziale con le aree valanghive. Il dataset CORINE 2018 Level IV, più aggiornato, è stato considerato ma scartato per insufficienti dettagli nelle aree montane.

Per quanto riguarda la viabilità, è stato necessario riclassificare manualmente alcuni attributi sulla base di eventuali chiusure stagionali invernali o restrizioni. Gli attributi contenuti nella BDTRE risultavano spesso non valorizzati o errati, specialmente per tratti in galleria o su viadotto. L'intera rete montana è stata quindi verificata e corretta attraverso informazioni derivanti da conoscenze dirette, fotointerpretazione, ordinanze sindacali o dalle Commissioni

Locali Valanghe (CLV).

Sono stati analizzati e verificati più di 96'000 segmenti stradali, di cui circa 4'800 modificati. Le principali correzioni hanno riguardato le restrizioni di accesso stagionali , ma anche posizione e livello; con quest’ultimo attributo si intende se le strade scorrono a raso, in galleria o su viadotto. Un esempio è illustrato in Figura 1 con la riclassificazione avvenuta in Val Chisone e Alta Val Susa.

L’aggiornamento è stato necessario per migliorare la base dati degli elementi a rischio; senza prima procedere con questi approfondimenti specifici, infatti, si sarebbe tenuto conto dei tratti stradali che non vengono utilizzati durante il periodo invernale o che non vengono direttamente interessati dal passaggio di valanghe, sovrastimando il rischio dovuto alla caduta di valanghe sulla rete stradale montana. Il lavoro di aggiornamento è stato condiviso con il settore cartografico della Re -

gione Piemonte, permettendo la futura integrazione automatizzata nella BDTRE, a beneficio della coerenza e continuità dei dati tra le versioni successive.

ANALISI DEI RISCHI SU SCALA REGIONALE

Negli ultimi anni ARPA ha sviluppato, in collaborazione con la Regione Piemonte, una metodologia per l’analisi di rischio idraulico a scala regionale, in ottemperanza alla Direttiva Alluvioni 2007/60/CE. Tale approccio si basa, per la definizione della componente di pericolosità, sulla cosiddetta “matrice svizzera”, sviluppata originariamente per la pericolosità da frana dal Bundesamt für Umwelt, Wald und Landschaft (BUWAL) della Confederazione Elvetica (BUWAL, 1998).

Il metodo Buwal è stato utilizzato a livello regionale con buoni risultati anche in altri ambiti, come ad esempio per il rischio

incendi e ora è stato opportunamente riadattato per la definizione della pericolosità da valanga.

Il primo passo dell’analisi ha previsto la definizione del livello di pericolosità (bassa, media, alta) per ciascun fenomeno valanghivo, utilizzando i dati del SIVA. Queste informazioni sono state incrociate con le strutture antropiche precedentemente classificate, ricavate principalmente dalla BDTRE e da ulteriori fonti validate. Dalla sovrapposizione geografica tra le aree pericolose e gli elementi esposti, si è ottenuta la classificazione del rischio secondo 4 livelli (da R1 a R4) mediante la matrice già impiegata per la “Direttiva Alluvioni”, opportunamente modificata.

In via sperimentale, nei contesti residenziali e produttivi, è stata stimata la popolazione potenzialmente esposta e il valore economico degli edifici a rischio, utilizzando i dati dell’Osservatorio del Mercato Immobiliare (OMI) e dell’ISTAT.

Fig. 2: Matrice con i criteri utilizzati per la definizione della pericolosità (P1-P3) per ogni tipo di valanga (a, b, c, d ed e). dh = Dislivello; Rt=Tempo di ritorno.

Fig. 3: La matrice consente di incrociare i livelli di pericolosità dei fenomeni valanghivi con le classi di danno associate agli elementi esposti, ottenendo così una classificazione del rischio articolata in quattro classi (R1–R4).

VALANGHE

Definizione del pericolo

La definizione dei livelli di pericolosità ha richiesto l’adozione di criteri differenti in base alla tipologia e alla qualità delle informazioni disponibili per ciascun sito valanghivo mappato nel SIVA. A seconda dei diversi livelli di conoscenza i dati del SIVA sono suddivisi in:

a) Valanghe documentate: siti valanghivi rilevati secondo la metodologia CLPV, CSV o da Modello AFRA. A questo layer è associata una scheda descrittiva dettagliata che riporta informazioni utili quali parametri morfometrici e frequenza di accadimento;

b) Valanghe lineari: valanghe di piccole dimensioni, che a scala regionale non possono essere cartografate come poligoni, prive di informazioni correlate.

c) Zone pericolose: aree soggette a scaricamenti di neve, differenziati nel tempo e nel percorso; prive di informazioni di dettaglio associate;

d) Valanghe da PRGC: siti valanghivi ricavati dalla revisione dei Piani Regolatori Generali Comunali aggiornati ai Piani di Bacino (PAI), ai quali non è associata una scheda descrittiva dettagliata;

e) Valanghe da modello: siti valanghivi derivati dall'applicazione del modello matematico sviluppato dall'Università degli Studi di Pavia (Barbolini et al.i, 2004) che permette di identificare e delimitare aree potenzialmente soggette al distacco di valanghe; non essendoci stata nessuna indagine sul terreno o analisi di dati d’archivio che validassero le geometrie a queste non è associata nessuna scheda descrittiva di dettaglio.

Fig. 4: Esempi di classificazione di rischio delle infrastrutture: a sinistra, alta Valle Formazza. A destra, loc Rochemolles Alta Valle di Susa. In questo caso è presente anche una stima del numero diabitanti per ogni edificio utilizzando i dati OMI (numeri neri con bordi bianchi).

Ciascuna categoria è stata associata a un livello di pericolosità (P1-P3) mediante matrice (Figura 2), basandosi su parametri morfometrici, frequenza stimata o classificazioni preesistenti (es. Z1-Z2, Vm-Va). Per le categorie prive di informazioni associate quali la frequenza, si sono utilizzati criteri alternativi. Nel dettaglio: per le valanghe documentate (tipo a) sono stati utilizzati i dati morfologici e di frequenza; per le valanghe lineari (tipo b), generalmente non di grandi dimensioni, è stato utilizzato come discriminante solo il dislivello; per le zone di pericolo (tipo C) che per definizione sono soggette solo a valanghe di piccole dimensioni, la pericolosità è stata classificata definita per tutte come P1; per le valanghe da PRGC (tipo D) è stata utilizzata la classificazione disponibile (Vm = Pericolosità Media, Va = Pericolosità Alta) in accordo con quanto previsto dai Criteri e indirizzi in materia di difesa del suolo e pianificazione territoriale e urbanistica del Piemonte (Regione Piemonte, 2025); infine, per le valanghe da modello è stata utilizzata la classificazione già disponibile (Z1-Z2) che deriva dall’utilizzo di un diverso angolo di arresto “α” (Barbolini et al.i, 2004).

È importante sottolineare che le geometrie dei siti valanghivi rappresentano l’inviluppo della massima estensione documentata degli eventi valanghivi noti, derivata da

fonti storiche, morfologiche e archivistiche. Attualmente, in Piemonte non è disponibile un catasto sufficientemente dettagliato che permetta di differenziare le frequenze di accadimento in base alle distanze di arresto registrate.

Classificazione degli elementi a rischio

La classificazione degli elementi esposti si è basata sui criteri proposti da Barbolini et al. (2004), integrati con il metodo della Direttiva Alluvioni e adattati al contesto regionale e ai dati disponibili. Le infrastrutture (puntuali, lineari e poligonali) sono state

classificate secondo quattro classi di danno (D1-D4), in base a destinazione d’uso e alla loro funzione strategica. Tra questi:  edifici residenziali e produttivi,  infrastrutture viarie,  beni culturali e ambientali,  impianti pubblici e aree verdi. Attualmente non è possibile prendere in considerazione la vulnerabilità intrinseca degli elementi esposti in un analisi a scala regionale come quella effettuata, perché a tale scala non sono disponibili informazioni complete e affidabili. La vulnerabilità è stata quindi considerata pari a uno per tutte le infrastrutture.

Definizione del rischio

Combinando le classi di pericolo (P1-P3) e quelle di danno (D1-D4) tramite la matrice (Fig. 3), è stato assegnato un livello di rischio (R1-R4) a ogni elemento. L’output è costituito da tre layer informativi (puntuale, lineare e poligonale), ognuno con la relativa classificazione di rischio. In via puramente sperimentale, per i contesti residenziali e produttivi, è stata effettuata una stima della popolazione potenzialmente interessata da ciascun fenomeno, nonché del valore economico degli edifici "a rischio", utilizzando come base informativa la Banca Dati O.M.I. (Osservatorio

VALANGHE

Mercati Immobiliari) e il "Censimento della popolazione e delle abitazioni" realizzato dall'ISTAT (Istituto Nazionale di Statistica) nel 2011 (ISTAT, 2011).

Il SIVA riporta informazioni su oltre 4'500 siti valanghivi documentati, circa 9'000 pericoli localizzati e 4'400 zone di pericolo.

L’analisi della banca dati evidenzia che per 1.220 siti sono state segnalate interferenze con le attività antropiche, dal XVII secolo ai giorni nostri.

L'analisi del rischio ha identificato e classificato circa 9'000 infrastrutture poligonali, 2'500 tratti lineari (sopratutto tratti stradali) e 195 elementi puntuali che interferiscono con fenomeni valanghivi di vario tipo.

La Fig. 4 e la Fig. 5 mostrano alcuni esempi dei risultati ottenuti rispettivamente per un'area della Valle Formazza (nella parte settentrionale del Piemonte) e dell'Alta Valle di Susa (nella parte occidentale del Piemonte).

Verifica e condivisione dei risultati Dopo questa prima fase di analisi, si è resa necessaria un’ulteriore verifica puntuale degli elementi antropici interferenti individuati, al fine di validare i risultati e correggere eventuali errori derivanti da imprecisioni nei database di partenza. Le principali criticità riscontrate riguardavano:  la presenza di elementi obsoleti (es. ruderi non abitabili);

 classificazioni errate di tratti stradali o mancanza di informazioni su gallerie e viadotti, ancora presenti nonostante il lavoro preliminare di verifica descritto in precedenza;

 geometrie incoerenti o elementi presenti sul territorio ma assenti nei database e identificati attraverso l’analisi di foto aeree o da conoscenze dirette del territorio.

Tutti i dati sono stati condivisi con la CLV (Commissione Valanghe Locale) al fine di consentire una verifica più approfondita con informazioni più aggiornate e di carattere locale. Le CLV sono organi consultivi collegiali istituiti nelle aree montane a supporto delle autorità locali di protezione civile, che hanno il compito di monitorare, prevenire e gestire il rischio valanghe. Tali commissioni sono generalmente composte da esperti locali, tecnici e rappresentanti degli enti locali e quindi soggetti attendibili e di valore per quanto riguarda la validazione del dato.

I dati sono stati progressivamente condivisi anche con altre autorità a livello regionale e provinciale. La condivisione dei dati ha il duplice scopo di consentire la verifica e validazione del lavoro oltre all'integrazione delle informazioni sulle infrastrutture da parte degli esperti locali che conoscono molto bene il proprio territorio, ma anche di mettere a disposizione delle autorità il risultato dell'analisi dei rischi per successivi approfondimenti ottimizzando le risorse disponibili, come richiesto dalle Direttive Nazionali.

STRUMENTI UTILIZZATI

L’intero processo di analisi e la gestione dei dati sono stati realizzati utilizzando geodatabase basati su tecnologia PostgreSQL/ PostGIS, adottati da ARPA Piemonte per le elevate capacità di gestione, aggiornabilità e interoperabilità. Tale infrastruttura ha permesso:

 l'editing multiutente nelle fasi di correzione;

 l’automatizzazione dell'analisi del rischio;

 l’integrazione dei risultati con il Sistema Informativo GEOlogico regionale (SIGEO).

Le banche dati sono accessibili principalmente attraverso il software open-source QGIS; ARPA Piemonte si occupa della gestione e dell'amministrazione degli utenti, dei backup e dell'integrazione con tutto il patrimonio condiviso.

L'elaborazione dei dati è stata condotta mediante specifiche query SQL che consentono la serializzazione dei processi di calcolo. Nella definizione del metodo di calcolo dell'analisi dei rischi è stata posta particolare attenzione all'ottimizzazione dei processi di calcolo e alla parametrizzazione dei dati di input e delle matrici di classificazione utilizzate, con un duplice vantaggio:

 è stato possibile ridurre notevolmente i tempi di calcolo: ora è possibile eseguire l'analisi sull'intero database in meno di due ore, mentre prima erano necessarie molte ore di elaborazione;  è possibile aggiornare il processo interno in modo eccezionalmente semplice e veloce, a seguito di modifiche alle banche dati, come l'aggiornamento annuale del BDTRE e degli elementi antropici coinvolti o dei perimetri di instabilità, e a seguito di modifiche alle tabelle e alle matrici di calcolo. Per agevolare la consultazione e la condivisione dei risultati è stato creato un sistema webGIS basato sul software open source Lizmap. Tale piattaforma consente la visualizzazione e la modifica dei dati geografici e alfanumerici direttamente da browser

(es: Firefox o Chrome), senza la necessità di installare software aggiuntivi sul proprio PC o smartphone (Figura 5). Questo strumento ha rappresentato un importante supporto alla collaborazione con le CLV e con le autorità regionali e provinciali, favorendo l’accessibilità ai dati e l’interazione tra diversi soggetti istituzionali.

CONCLUSIONI

Il lavoro svolto ha permesso di definire una metodologia operativa per l’analisi del rischio valanghivo su scala regionale, adattando un approccio semplice e consolidato, già utilizzato con successo per altri rischi naturali. L'approccio introduce alcune semplificazioni, tipiche di un lavoro a scala regionale, che sono dovute alla carenza di informazioni approfondite e complete su tutto il territorio; in particolare:  le perimetrazioni messe a disposizione del SIVA rappresentano l’inviluppo della massima estensione mai raggiunta da tutti gli eventi valanghivi noti; l'approccio si basa pertanto su uno scenario di "massimo impatto";

 le informazioni sulla probabilità di accadimento sono disponibili solo per un limitato numero di valanghe “documentate; dove non sono disponibili tali dati sarebbe più corretto parlare di suscettibilità e non di pericolosità, mancando completamente la componente “tempo”;

 la vulnerabilità degli elementi esposti è stata considerata in pari a uno per mancanza di informazioni di maggior dettaglio sulle caratteristiche costruttive delle infrastrutture.

Particolare attenzione è stata rivolta alla costruzione e validazione di una banca dati aggiornata e coerente degli elementi esposti, condizione imprescindibile per una corretta valutazione del rischio. Questo processo richiede un aggiornamento continuo e la collaborazione attiva tra enti regionali, locali e tecnici sul territorio, con l’obiettivo di migliorare progressivamente l’affidabilità delle informazioni.

L’impiego di un geodatabase strutturato

e integrato con script di analisi ha dimostrato notevoli vantaggi in termini di replicabilità, aggiornamento, interoperabilità e condivisione. La possibilità di accedere e aggiornare i dati in modo efficiente costituisce un valore aggiunto fondamentale per l’evoluzione del sistema di gestione del rischio valanghe.

Va tuttavia precisato che la metodologia proposta è pensata per una valutazione a scala regionale e non può sostituire le analisi dettagliate necessarie per la pianificazione locale. In quest’ottica, strumenti come i Piani di Zona di Emergenza

Valanghe (PZEV) restano essenziali per una gestione puntuale e contestualizzata del rischio. I Comuni potranno utilizzare i risultati di questo lavoro per orientare approfondimenti specifici e definire priorità d’intervento in funzione delle risorse disponibili.

In sintesi, questa metodologia costituisce un efficace strumento di supporto per la pianificazione territoriale, la prevenzione e la gestione del rischio valanghivo a livello regionale, promuovendo un approccio coordinato e basato su dati condivisi.

RICONOSCIMENTI

Si ringraziano tutti gli esperti locali impegnati nella gestione del rischio valanghe. Un ringraziamento particolare a Maria Cristina Prola per il fondamentale contributo nell’attuazione e nell’aggiornamento del sistema SIVA.

BIBLIOGRAFIA

 M. Barbolini, M. Cordola e G. Tecilla (2004) “Linee guida metodologiche per la perimetrazione delle aree esposte al pericolo di valanghe”. Rivista Neve e Valanghe n. 53, pag 6-15.

 M Prola, L. Lanteri e E Solero (2021) “20 anni di SIVA. “I passi per il completamento della cartografia Valanghe in Piemonte”. Rivista Neve e Valanghe n. 93, pag 2-9.

 Regione Piemonte (2025) “Criteri e indirizzi in materia di difesa del suolo e pianificazione territoriale e urbanistica“. Deliberazione della Giunta Regionale 24 marzo 2025, n. 8-905. REGIONE PIEMONTE BU13 27/03/2025.

studia il contesto alpino della

Val di Fiemme e Fassa X-RISK-CC

Kevin Ferrari

Servizio

Adattamento agli eventi estremi derivanti dal cambiamento climatico

The European project X-RISK-CC is an Interreg Alpine Space project co-funded by the European Union. The working group includes representatives from the following countries: Italy, Austria, Slovenia, Germany, and France. This project focuses on climate change adaptation, and for Italy, the pilot area selected is the Fiemme and Fassa Valleys, with particular attention to risk management following extreme events such as the Vaia storm of 2018.

The area is facing an increasingly warm and unstable climate, with negative effects on forests and the landscape: drought, bark beetle infestations, intense rainfall, and permafrost degradation are increasing the risk of landslides, avalanches, and mudslides. The project has developed guidelines to reassess areas with potential avalanche hazard as considered in the Trentino Provincial Urban Plan, following the Vaia event. This reassessment analyzes parameters such as slope, morphology, the presence of windthrow, and forest regrowth. In parallel, X-RISK-CC aims to improve the management of post-event hydrogeological emergencies by strengthening coordination between institutions and improving the training of personnel. The goal is to increase the area's resilience through sustainable forest management and a prevention network that also involves citizens and tourists.

Il progetto europeo X-RISK-CC è un progetto Interreg Alpine Space cofinanziato dall'unione Europea. All'interno del gruppo di lavoro sono presenti rappresentanti delle seguenti nazioni: Italia, Austria, Slovenia, Germania e Francia. Tale progetto si concentra sull’adattamento ai cambiamenti climatici e per l'Italia è stata presa come area pilota la zona delle valli di Fiemme e Fassa, con particolare attenzione alla gestione dei rischi dopo eventi estremi come la tempesta Vaia del 2018. L’area sta affrontando un clima sempre più caldo e instabile, con effetti negativi su foreste e territorio: siccità, infestazioni di bostrico, precipitazioni intense e degrado del permafrost aumentano il rischio di frane, valanghe e smottamenti. il progetto ha sviluppato linee guida per rivalutare le aree a potenziale pericolosità valanghiva considerate nel Piano urbanistico provinciale trentino in seguito all'evento Vaia, analizzando parametri come pendenza, morfologia, presenza di schianti e ricrescita forestale. Parallelamente, X-RISK-CC punta a migliorare la gestione delle emergenze idrogeologiche post-evento, rafforzando il coordinamento tra enti e la formazione degli operatori. L’obiettivo è aumentare la resilienza del territorio attraverso una gestione forestale sostenibile e una rete di prevenzione che coinvolga anche cittadini e turisti.

VALANGHE

Il progetto X-RISK-CC (acronimo di "How to adapt to changing weather eXtremes and associated compound RISKs in the context of Climate Change") è un progetto Interreg Alpine Space cofinanziato dall’unione europea che mira ad affrontare le sfide poste dall'aumento della frequenza e dell'intensità degli eventi meteorologici estremi nelle Alpi, indotti dai cambiamenti climatici, e dai loro effetti composti e a cascata. Il progetto riconosce che la conoscenza e la gestione degli impatti a cascata e dei rischi associati ai cambiamenti climatici sono ancora insufficienti e che questi eventi spesso non sono adeguatamente considerati nei meccanismi di riduzione del rischio e nei piani di adattamento ai cambiamenti climatici.

L'obiettivo principale di X-RISK-CC è supportare i gestori del rischio e i decisori politici nello sviluppo di nuove conoscenze, azioni locali di gestione del rischio e linee guida transnazionali per affrontare i rischi composti derivanti dagli eventi estremi legati ai cambiamenti climatici. Il progetto si basa sulla generazione e sull'armonizzazione di dati e conoscenze a livello alpino sugli eventi estremi passati e futuri. Le azioni per migliorare gli strumenti di gestione del rischio attuali sono sviluppate in collaborazione con i gestori del rischio in cinque aree pilota situate nello spazio alpino, incluse aree transfrontaliere.

PARTNER DEL PROGETTO

I partner del progetto X-RISK-CC include risk manager regionali, autorità pubbliche e membri di differenti enti di ricerca. I partner specifici coinvolti nel progetto sono:

 EURAC Research come Lead partner

 Provincia Autonoma di Bolzano con il dipartimento di protezione civile

 Provincia Autonoma di Trento - Servizio Prevenzione Rischi e CUE, Servizio Bacini Montani e APPA

 Geosphere (Austria)

 Agenzia per l’Ambiente (Austria)

 Servizio tecnico forestale per i bacini montani e le valanghe (Austria)

 Agenzia per l’Ambiente (Slovenia)

 Agenzia di sviluppo Sora (Slovenia)

 TUM - Università tecnica di Monaco (Germania)

 Agenzia Energia e Ambiente Auvergne Rhône Alpes (Francia)

AREA PILOTA IN TRENTINO

L'area pilota specificamente scelta per la regione Trentino all'interno del progetto X-RISK-CC è l'area delle Valli di Fiemme e Fassa, significativamente colpita dalla tempesta Vaia nell'ottobre 2018. Entrambe le valli sono situate nel Trentino orientale, sono caratterizzate da una morfologia alpina complessa, modellata da processi

tettonici, glaciali e fluviali. La Val di Fiemme è una valle ampia e relativamente dolce, posta tra i gruppi montuosi del Lagorai a sud e del Latemar a nord. Il fondovalle è attraversato dal torrente Avisio, che ha favorito l’insediamento umano e l’attività agricola e forestale. La Val di Fassa, più a nord, presenta una morfologia più aspra e verticale. Nel suo territorio si possono trovare massicci dolomitici quali il Gruppo del Catinaccio, la Marmolada, il Sassolungo e il Sella. Il fondovalle è più stretto e tortuoso, anch’esso inciso dall’Avisio. Entrambe le valli presentano fenomeni geomorfologici come frane, colate detritiche e accumuli morenici, soprattutto nelle aree di transizione tra alta e media montagna.

AREE PILOTA PARTNER

 La Provincia Autonoma di Bolzano segue il caso di studio Vaia nei comuni di Aldino, Nova Levante e Nova Ponente;  Per la Francia si è studiata una tempesta invernale Eleonor avvenuta nel gennaio 2018 nelle Alpi della Savoia e per la precisione è stata scelta come area pilota il bacino idrografico del fiume Arly;  Per la Germania si sono analizzati i fenomeni di colata detritica che avvengono nell’area pilota di GarmischPartenkirchen;

 Per la Slovenia si è analizzato il bacino idrografico del fiume Sora nella regione della Gorenjska;

 Precipitazioni estreme di breve durata che causano movimenti di massa in un'area di confine fra Italia e Austria –Wipptal (Italia) e Stubaital (Austria)

X-RISK-CC: ADATTAMENTO AI CAMBIAMENTI

CLIMATICI E GESTIONE DELLE EMERGENZE

Negli ultimi anni stiamo assistendo ad eventi meteorologici estremi che mettono a dura prova la stabilità del territorio e la sicurezza delle comunità in esso inserite. In questo scenario complesso si va a posizionare il progetto Interreg X-RISK-

Fig.1 Aree pilota partner progetto X-Risk-CC.

VALANGHE

CC, un'iniziativa transnazionale che mira a rafforzare la resilienza delle regioni alpine attraverso una migliore comprensione dei rischi composti e a cascata indotti dai cambiamenti climatici e lo sviluppo di strategie di gestione innovative.

Il Trentino, con le sue valli montane di Fiemme e Fassa, rappresenta un'area pilota fondamentale per il progetto X-RISK-CC. Questa regione è stata duramente colpita dalla tempesta Vaia dell'ottobre 2018, che ha devastato intere foreste, modificando radicalmente il paesaggio e aumentato la vulnerabilità del territorio. I danni generati da Vaia non sono solo ambientali, ma si riflettono anche sulla gestione del rischio e sulla percezione della sicurezza da parte delle popolazioni locali e dei numerosi turisti che frequentano queste valli.

IL CLIMA CHE

CAMBIA: SCENARI

FUTURI PER LE

VALLI DI FIEMME E FASSA

Secondo le proiezioni climatiche elaborate nell'ambito del progetto e di studi correlati, il Trentino è destinato a sperimentare un clima progressivamente più caldo e caratterizzato da regimi di precipitazione sempre più variabili. Nell’ambito del progetto X-Risk-CC è stato sviluppato uno webGIS in cui vi è la possibilità di consultare i report delle analisi svolta per ciascuna area pilota

e i dettagli metodologici utilizzati per svolgere queste analisi. Sempre nell’ambito del progetto è stato prodotto il dataset Zenodo degli indici prodotti per tutto l’arco alpino e visualizzati nel webGIS (Lehner, S., Crespi, A., Žun, M., Haslinger, K., Pistotnik, G., Maines, E., Vlahović, Ž., Campalani, P., Honzak, L., Bertalanič, R., & Lokošek, N. (2025). Questo dataset contiene indici climatici calcolati e aggregati per lo Spazio Alpino, derivati da dati di Reanalisi e proiezioni EUROCORDEX su diversi Livelli di Riscaldamento Globale (GWLs - Global Warming Levels).

Entro il 2040, uno scenario plausibile prevede che le estati a Trento possano vedere temperature che superano frequentemente i 40°C, mentre nelle valli di Fassa e Fiemme si potrebbero toccare i 35°C. Le notti estive in alta quota difficilmente potrebbero scendere sotto lo zero termico. Gli autunni e gli inverni si preannunciano più miti e umidi, con una maggiore incidenza di pioggia rispetto alla neve, soprattutto alle quote medie. Il regime delle precipitazioni sarà sempre più irregolare, alternando periodi di siccità prolungata,

Fig.2 Schianti in Val di Fiemme a seguito della tempesta Vaia 2018.
Fig.3 Aumento degli estremi di precipitazione giornaliera rispetto al periodo 1991-2020, in diversi scenari di livello di riscaldamento globale (con un aumento medio della temperatura rispettivamente di 1,5°C, 2°C,

VALANGHE

che potrebbero durare anche diversi mesi, a eventi di pioggia intensa. I temporali estivi potrebbero stabilire nuovi record di pioggia giornaliera, mentre in autunno saranno più frequenti tempeste con precipitazioni estreme persistenti per più giorni, alimentate da correnti meridionali provenienti da un Mar Mediterraneo più caldo.

Vi può essere una pressione significativa sugli ecosistemi forestali. L'aumento delle temperature e la maggiore frequenza di periodi siccitosi indeboliscono la salute delle foreste, rendendole più vulnerabili agli attacchi di patogeni come il bostrico.

Le nevicate invernali intense e umide pos-

sono causare danni significativi, a causa del peso della neve bagnata.

La combinazione di questi fattori, insieme alle aree disboscate da Vaia, riduce la funzione di bosco di protezione, la sua capacità di ritenzione idrica, la stabilizzazione del suolo e la protezione contro fenomeni come la caduta massi e le valanghe. Di conseguenza, i fenomeni di movimento di massa, come frane e colate detritiche, diventano più probabili a tutte le altitudini a causa della minore stabilità dei versanti e delle precipitazioni più intense. Anche il progressivo degrado del permafrost in alta quota contribuisce a questa crescente instabilità.

VAIA: AREE DISBOSCATE E AUMENTO DELLA PERICOLOSITÀ VALANGHIVA

La tempesta Vaia dell'ottobre 2018 ha rappresentato un evento catastrofico che ha esacerbato la vulnerabilità del territorio trentino, in particolare nelle valli di Fiemme e Fassa. Le raffiche di vento con picchi fino a 150-200 km/h, in alcune stazioni, hanno provocato perdite di ampie superfici boscate, con circa 4 milioni di metri cubi di legname abbattuto su una superficie di circa 21.000 ettari. Intere aree boschive, che in precedenza svolgevano un ruolo cruciale nella protezione dal rischio valanghivo e idrogeologico, sono state rase al suolo. In seguito a questi ingenti danni, molte delle aree disboscate sono state classificate nella "Carta di Sintesi della Pericolosità" (CSP) della Provincia Autonoma di Trento come "Aree che necessitano di Approfondimento" (APP) per il rischio valanghivo. Questa classificazione evidenzia la necessità di ulteriori studi di compatibilità prima di poter eseguire una trasformazione urbanistica. Questo perché in queste zone si è tenuto conto della perdita della coper-

Fig.4 Bosco di abete rosso colpito dal Bostrico.
Fig.5 Esempio di aree da approfondire per pericolosità valanghiva dalla carta di sintesi del pericolo del Trentino.

tura forestale e delle strategie di gestione forestale post-Vaia.

Nell’ambito del progetto X-RISK-CC si è svolta una consulenza con la società di ingegneria Mountain-eering S.r.l. con l’obiettivo di sviluppare specifiche linee guida e metodologie per la rivalutazione delle aree da approfondire per pericolosità valanghiva. Questo processo integrato prevede diverse fasi:

 Un’analisi GIS attraverso l’utilizzo di sistemi informativi geografici per analizzare parametri topografici come pendenza (considerando come potenzialmente pericolose pendenze tra i 30° e i 70°), elevazione, esposizione, curvatura del terreno e indice di rugosità topografica.

 Ispezioni sul campo condotte da tecnici esperti utilizzando specifiche check-list per valutare la pericolosità e il rischio valanghivo. Durante questi sopralluoghi vengono analizzati elementi chiave come la presenza e le caratteristiche degli schianti (densità, specie), delle ceppaie (altezza, distribuzione) e della ricrescita forestale.

 La capacità protettiva residua del bosco contro le valanghe viene valutata considerando la rugosità superficiale creata dagli schianti non rimossi, la densità delle ceppaie e il progresso della rigenerazione forestale. È fondamentale monitorare nel tempo la decomposizione del legno morto e assicurare che la ricrescita forestale possa gradualmente sostituire la protezione persa.

 La valutazione tiene conto anche della morfologia generale del versante, della presenza di canali di trasporto per le valanghe e della presenza di infrastrutture o abitazioni esposte al pericolo.

 Nello studio sono stati presi in considerazione anche dati storici sugli eventi valanghivi e dati recenti sull'accumulo di neve per affinare la valutazione del rischio.

Il sistema di valutazione sviluppato nell’ambito della consulenza è stato applicato e validato attraverso l'analisi di diversi casi studio nelle valli di Fiemme e Fassa, come ad esempio le zone di Aguai, Varena e il passo Lavazè. I risultati di queste analisi

forniscono indicazioni preziose per aggiornare la Carta di Sintesi della Pericolosità e per pianificare interventi di gestione del territorio più efficaci, come la realizzazione di opere di protezione artificiali (paravalanghe, reti paramassi e vallotomi) o strategie di riforestazione mirate.

NUOVE STRATEGIE

PER LA GESTIONE

DELLE EMERGENZE

IDROGEOLOGICHE

Parallelamente alla valutazione del rischio valanghivo, il progetto X-RISK-CC ha ester-

nalizzato una consulenza finalizzata ad individuare azioni e buone pratiche per il miglioramento della gestione delle emergenze idrogeologiche con riferimento alla fase transitoria tra l'evento critico e il ritorno alla “normalità” caratterizzata da nuovi scenari di pericolo con inevitabili ricadute gestionali nella mitigazione del rischio. La tempesta Vaia ha evidenziato, infatti, la necessità di operare una valutazione delle mutate condizioni di pericolo individuando conseguenti attività gestionali per la mitigazione del rischio attraverso un approccio strutturato e coordinato tra i diversi

Fig.6 Esempio di aree in cui è stata svolta la consulenza. Si può vedere la situazione del bosco prima della tempesta Vaia e dopo la tempesta.
Fig.7 Studio della morfologia del versante.

VALANGHE

soggetti operanti sul territorio provinciale. Nell'ambito del progetto sono state sviluppate linee guida per ottimizzare il coordinamento tra i vari enti coinvolti nella gestione delle emergenze, tra cui il Dipartimento di Protezione Civile, i comuni, i vigili del fuoco, i custodi forestali e le ASUC. Un aspetto centrale di queste linee guida è la gestione del reticolo idrografico, che include l'identificazione di punti di monitoraggio, i quali sono stati distinti in:

 Punti di Controllo: aree critiche dal punto di vista idraulico, sia durante l'evento che nella fase successiva, suddivisi ulteriormente in:

• Punti di Presidio (o Critici): aree in cui, in caso di allerta, devono essere attivate azioni di sorveglianza e intervento. Questi punti, come ponti, restringimenti di corsi d'acqua e aree residenziali adiacenti, devono essere facilmente accessibili per garantire

interventi tempestivi.

• Punti di Ispezione: infrastrutture idrauliche (briglie, argini, ponti, imbocchi di tratti intubati) che necessitano di verifiche per accertarne l'efficienza idraulica e individuare eventuali danni o ostruzioni.

 Punti Premonitori: punti strategici situati a monte dei punti critici, utili a fornire informazioni sull'evoluzione delle criticità e sul loro potenziale trasferimento verso valle, garantendo un tempo minimo di preavviso per l'attivazione delle misure di protezione. Per il monitoraggio dei punti di ispezione, sono state elaborate delle schede specifiche per le diverse tipologie di opere idrauliche e situazioni, come briglie filtranti e piazze di deposito, ponti, versanti in erosione e imbocchi di tratti intubati/tombati. Queste schede permettono di rilevare in modo oggettivo lo stato e l'efficienza generale delle

opere, esaminando la presenza di danni strutturali, ostruzioni al deflusso (sedimenti, vegetazione, materiali estranei) e la quantità di materiale presente. La compilazione di queste schede, accompagnata da una documentazione fotografica, può supportare la valutazione dell’individuazione delle priorità di intervento (alta, media, bassa). La collaborazione tra gli enti e la formazione degli operatori locali (custodi forestali, operai comunali, volontari) rappresentano un elemento cruciale per una gestione efficace del rischio. L’obiettivo su cui si è focalizzata la consulenza è quello di valutare la creazione di una rete capillare di prevenzione che coinvolga anche cittadini e turisti, attraverso la diffusione di informazioni chiare sui rischi e sui comportamenti da adottare in caso di emergenza. Il Servizio Prevenzione Rischi e la Centrale Unica di Emergenza svolgono un ruolo chiave nella diffusione di allerte meteo e informazioni sui pericoli, mentre a

livello locale, Comuni, APT e Trentino Marketing dovrebbero potenziare la sensibilizzazione, soprattutto nei confronti dei turisti. L’importanza di potenziare la comunicazione è un aspetto che è emerso in particolare nel contesto del caso studio del Comune di Sen Jan di Fassa, individuato nelle valli di Fiemme e Fassa per l'applicazione pratica del progetto. Questa area presenta criticità legate alla gestione della pericolosità idraulica, accentuate dall'elevata presenza turistica, soprattutto durante la stagione estiva. I turisti sono generalmente più esposti e vulnerabili rispetto ai residenti a causa della minore conoscenza del territorio e dei rischi, e della maggiore difficoltà di accesso alle informazioni locali, specialmente per gli stranieri a causa della barriera linguistica. Un incontro tecnico-istituzionale specifico tenutosi a Sen Jan di Fassa ha ampiamente discusso la gestione della pericolosità idraulica, con particolare riferimento alla Valle del Vajolet, e ha evidenziato tra i punti critici principali proprio la necessità di in-

BIBLIOGRAFIA

formare gli utenti della valle sui pericoli e i rischi legati all'ambiente montano. A livello locale, i Comuni, le APT (Agenzie per il Turismo) e Trentino Marketing dovrebbero rafforzare la sensibilizzazione attraverso strategie comunicative appropriate, come tabelloni informativi e serate divulgative, rivolgendosi specificamente ai turisti.

Il Comune di Sen Jan di Fassa porta avanti iniziative locali, come l'evento "Una notte da sfollati", che coinvolge i ragazzi delle scuole medie in esperienze dirette di protezione civile, con l'obiettivo di diffondere la cultura della Protezione Civile e rendere i giovani consapevoli del loro ruolo nel sistema. Queste attività contribuiscono a sensibilizzare sulle problematiche legate alla protezione civile in ambiente montano e sui comportamenti da adottare per evitare l'esposizione a situazioni di pericolo e si è ipotizzato di organizzare il prossimo evento simulando un evento di colata detritica e forte vento proprio nella valle del Vajolet coinvolgendo rifugisti e turisti.

 Lehner, S., Crespi, A., Žun, M., Haslinger, K., Pistotnik, G., Maines, E., Vlahović, Ž., Campalani, P., Honzak, L., Bertalanič, R., & Lokošek, N. (2025). Alpine-wide climate indices from reanalyses and EURO-CORDEX projections for different Global Warming Levels. Zenodo.

 Hauser, M., Engelbrecht, F., & Fischer, E. M. (2022). Transient global warming levels for CMIP5 and CMIP6 (v0.3.0). Zenodo. https://doi.org/10.5281/zenodo.7390473

 Hersbach, H., Bell, B., Berrisford, P., et al. (2020). The ERA5 global reanalysis. Q. J. R. Meteorol. Soc., 146, 1999–2049. https://doi.org/10.1002/qj.3803

CONCLUSIONI

Il progetto X-RISK-CC rappresenta un'iniziativa fondamentale per rafforzare la resilienza del territorio trentino, in particolare delle valli di Fiemme e Fassa, di fronte alle sfide poste dai cambiamenti climatici e dagli eventi estremi come la tempesta Vaia. Attraverso una migliore comprensione dei rischi composti e a cascata, lo sviluppo di metodologie per la rivalutazione delle aree a rischio (APP) e l'implementazione di nuove linee guida per una gestione delle emergenze più efficiente e coordinata, il progetto mira a garantire la sicurezza e la sostenibilità di queste preziose valli alpine per il futuro. La sinergia tra la ricerca scientifica, le istituzioni e le comunità locali, promossa da X-RISK-CC, è la chiave per costruire una resilienza duratura e per affrontare con maggiore consapevolezza le incertezze di un clima che sta rapidamente cambiando.

 ALPsolut (2018). Snow cover analysis for the avalanche risk management of the provincia autonoma di trento.

 Brožová, N. (2022). Avalanche Protection Capacity and Disturbance Dynamics of Mountain Forests. Doctoral thesis, ETH Zurich, Zurich.

 Schneebeli, M. and Bebi, P. (2004). Snow and avalanche control. Encyclopedia of Forest Sciences, 1:397–402.

 Schönenberger, W., Noack, A., and Thee, P. (2005). Effect of timber removal from windthrow slopes on the risk of snow avalanches and rockfall

 Carta di Sintesi della Pericolosità (CSP) della Provincia Autonoma di Trento - Uno strumento fondamentale per la gestione del rischio valanghivo, menzionato nell'articolo per la classificazione delle aree colpite dalla tempesta Vaia come "Aree che necessitano di Approfondimento" (APP).

 Consulenza con la società di ingegneria Mountain-eering S.r.l. - Guidelines for the re-evaluation of areas requiring deepening (APP) due to avalanche phenomena, based on the Hazard Synthesis Map (CSP), following the VAIA storm and the altered site conditions.

Altre fonti di informazione e strumenti menzionati nell'articolo:

INCIDENTI DA VALANGA prevenzione e sicurezza in montgna

64 DISPOSITIVI DI CONTROLLO FUNZIONALITA’

Mappatura dispositivi controllo funzionalità A.R.T.VA in territorio montano italiano CHECK POINT A.R.T.VA

TRANCEIVERS 457 khz CHECK POINT

With the increase - post pandemic - of ski mountaineering users, the need was recognised to monitor - as a preventive measure - routes and terrain on which ski mountaineering or freeride itineraries insist.

The installation of devices to check the functionality in transmission of tranceivers (a.r.t.va) according to the standards in force (a.r.t.va check points) began in the early 2000s by various operators and continues on a regular basis.

The status of installations of such devices located north of the Alps has long been under observation with continuous updates (sources from manufacturers). There is not a detalied picture concerning the Italian side of the Alps besides the installations in the Apennines.

Difficulties in finding data for devices that have been decommissioned over time or for manufacturers that are no longer operational make the picture shown incomplete. The current situation (continuously updated) is shown on a map indicating the geolocation of the devices, the type of device and the installer.

DISPOSITIVI DI CONTROLLO FUNZIONALITA’ A.R.T.VA

Con l’aumento - post pandemia- dell’utenza sci alpinistica si è preso atto della necessità di monitorare - come opera preventiva – percorsi e terreni su cui insistono itinerari di sci alpinismo o freeride.

L’installazione di dispositivi di controllo della funzionalità in trasmissione di artva secondo standard da normativa vigente (check point a.r.t.va) è iniziata nei primi anni 2000 da parte di diversi operatori e continua con regolarità.

Lo stato delle installazioni di tali dispositivi locati a Nord delle Alpi è da tempo in osservazione con continui aggiornamenti (fonti da produttori). Non è presente una situazione completa riguardante i versanti italiani delle Alpi oltre alle installazioni in Appennino. Le difficoltà di reperimento dati per dispositivi dismessi nel tempo o per produttori non più operativi rendono il quadro esposto non completo. L’attuale situazione (in aggiornamento continuo) è esposta in mappa indicante la geolocalizzazione dei dispositivi, la tipologia di dispositivo e l’installatore.

I dati raccolti all’interno di Check point di ultima generazione indicano –in forma anonima – il numero di passaggi con a.r.t.va in funzionamento secondo normativa oltre al rilevamento e conteggio di localizzatori non conformi alla normativa EN 300-718 e succ.

Nella maggior parte dei dispositivi locati sono presenti pannelli informativi con collegamento ai bollettini nivo meteo locali.

(Outback 97 professional Dic. 2024)

INCIDENTI DA VALANGA

INTRODUZIONE

Negli ultimi 10 anni si è verificato un notevole incremento dell’attività outdoor in ambiente innevato in ogni forma: sci alpinismo, escursionismo invernale, sci fuori pista/freeride. Ne è seguita la necessità di creare una formazione approfondita dell’utenza con solide basi all’educazione, alla prevenzione, al corretto comportamento in ambiente innevato. Capofila di questa opera educativa sono le iniziative organizzate da Guide Uiagm , da scuole del Club Alpino Italiano oltre a seminari ed incontri promossi dal CNSAS e da corsi per operatori professionali di AINEVA. Amministrazioni comunali, Comunità montane, comprensori sciistici, istituzioni montane appoggiate e sostenute dal Soccorso Alpino e da operatori locali si sono dimostrate – col trascorrere delle stagioni invernali – sempre più partecipi alla segnalazione di percorsi e al monitoraggio delle frequenze di passaggi mettendo a disposizione dispositivi di controllo della funzionalità dei localizzatori a.r.t.va dell’utente che transita su questi percorsi.

Sviluppi e adeguamenti

Questo testo, seguendo l’esempio di quanto già in opera in altri paesi alpini (Svizzera, Austria e Francia) si prefigge di esporre in

mappa un “censimento” dell’attuale presenza di tali dispositivi (per brevità nominati Check point a.r.t.va.). Il lavoro è in continuo aggiornamento; le informazioni richieste seguite ad indagini su territorio sono, in diversi casi, rimasti lettera morta per mancanza di riferimenti e responsabili delle installazioni come per vetustà dei sistemi (alcuni di questi sono presenti sul territorio dai primi anni 2000). Contiamo sull’esposizione di questo articolo per ricevere aggiornamenti da istituzioni e operatori che per ragioni varie non hanno potuto rispondere alle nostre richieste di informazioni.

NOTE SU CHECK POINT A.R.TVA.

Il Check point ar.t.va conferma la corretta funzionalità in modalità “Trasmissione di segnale” secondo normativa vigente sui localizzatori a.r.t.va 300-718 e succ., non verifica la modalità “Ricezione” che rimane di responsabilità dell’utente. Come tutti i dispositivi elettronici sono influenzati da interferenze elettromagnetiche; sono pertanto posizionati in ambienti liberi sufficientemente distanti da linee elettriche o altro. I Check point installati nelle ultime stagioni sono dotati di pannelli

informativi multilingue dove sono indicate le procedure di controllo (distanze/ intervalli da tenere tra un passaggio e l’altro in prossimità del dispositivo). I pannelli informativi recano – in diverse località di installazione - indicazioni aggiuntive con bollettini valanghe (scansionabili con QR code), lettura della scala di pericolo oltre ai numeri di emergenza in caso di incidente. La maggior parte dei Check point a.r.t.va illustrati nell’attuale indagine sono alimentati in forma autonoma con batterie alcaline facilmente reperibili che garantiscono la verifica del segnale trasmittente per la durata dell’intera stagione invernale, altri, installati all’interno di stazioni di arrivo di impianti sciistici sono collegati alla rete elettrica. I controlli manutentivi e gli aggiornamenti sono normalmente garantiti dai produttori attualmente presenti nel mercato italiano: Arva (FR) BCA Backcountry Access (USA), Girsberger Elektronik (CH), Mammut Barryvox (CH) Pieps (A) Alcuni Check point di ultima generazione sono anche dotati di sensori di rilevamento con tecnologia a raggi infrarossi che permettono di segnalare il passaggio di utenti NON equipaggiati con a.r.t.va, il rilevamento del passaggio interviene a seguito di mancata ricezione del segnale trasmittente dell’a.r.t.va da parte del Check point. Occorre tuttavia notare che il sensore a raggi infrarossi è sensibile ad ogni movimento ( azione del vento su alberi nelle vicinanze, veicoli in transito, animali etc..): per una corretta interpretazione dei dati rilevanti è importante un’attenta locazione del dispositivo. I dati rilevati sono conteggiati e scaricabili giornalmente.

QUADRO ATTUALE

Nell’esposizione dei lavori si è cercato di dare un quadro dell’attuale composizione dei Check point elencando per ognuno dei dispositivi presenti in mappa: geolocalizzazione, installatore e produttore: attualmente ne sono stati mappati 53. Non è stato possibile – per i dispositivi esposti – risalire all’anno di installazione, ci siamo limitati a verificarne funzionalità e assistenza garantendo cura e attenzione per i futuri aggiornamenti necessari.

Prati di Tivo

Venete Bellunesi-Alpago

Prealpi Venete Bellunesi-Alpago CNSAS Belluno

Dolomiti di Zoldo - Rifugio Città di Fiume Rifugio Città di Fiume

Dolomiti - Val di Fassa - Fuciade Soraga

Val di Fassa

Dolomiti - Val di Fassa - Malga Negritella Moena APT Val di Fassa

Dolomiti - Val di Fa ssa - Passo Carezza Vigo APT Val di Fassa

12.445647009367535

11.82223038724944

elekt CH 46.374618371322434, 11.752767627915842

Girsberger elekt CH 46.40527003549646, 11.613425412410328

Dolomiti - Val di Fassa - Vidor Pozza APT Val di Fassa Girsberger elekt CH 46.4205911965529, 11.70558441696253

Dolomiti - Val di Fassa - Piciocaa Pera APT Val di Fassa

Dolomiti - Val di Fassa - Soal Pera APT Val di Fassa

Dolomiti - Val di Fassa - Contrin Alba APT Val di Fassa

Girsberger elekt CH 46.43906272142791, 11.697225731836319

Girsberger elekt CH 46.44497730581641, 11.672915796899247

Girsberger elekt CH 46.456944160899056, 11.788186039450192

Dolomiti - Val di Fassa - Passo Fedaia Canazei APT Val di Fassa Girsberger elekt CH 46.458634761204216, 11.863386521598477

Dolomiti - Val di Fassa - Val Duron Campitello

Dolomiti - Passo Pordoi Canazei

Dolomiti - Stazione Superiore Funvia Pordoi

Alpi Sarentine - Val Sarentino Durnholz Seeb

Alpi Sarentine - Val Sarentino Durnholz Lochau

Alpi Sarentine - Val Sarentino Asten

Alpi Sarentine - Val Sarentino Weissenbach

APT Val di Fassa

APT Val di Fassa

Girsberger elekt CH 46.48252834142614, 11.737365159700621

Girsberger elekt CH 46.48874244232755, 11.811337544239658

Dolomiti Superski Ortovox D 46.50352551068286, 11.807562954614989

Bergrettung Südtirol ARVA FR 46.73007576204305, 11.431224072698056

Bergrettung Südtirol ARVA FR 46.74930402156186, 11.447187688906368

Bergrettung Südtirol ARVA FR 46.77872677728445, 11.35648002041427

Bergrettung Südtirol ARVA FR 46.795905487369886, 11.446020754806149

Dolomiti di Brenta - Madonna di Campiglio Funivie Madonna di Campiglio

Dolomiti di Brenta - Madonna di Campiglio

ALPI CENTRALI

10.847461807126756

Funivie Madonna di Campiglio Ortovox D 46.23332568667284, 10.805120063773865

Adamello-Presanella - Cima Presena (arrivo funivia) Comprensorio Passo del Tonale Ortovox D 46.220266428275025, 10.583825076606075

Valtellina - Parco dello Stelvio - Santa Caterina Valfurva Forni Comprensorio

Valtellina - Parco dello Stelvio - Santa Caterina Stazione intermedia Plaghera Sobretta Vallape DF Sport Specialist & APT

Valtellina - Parco dello Stelvio - Santa Caterina Valfurva - Sunny Valley DF Sport Specialist & APT Bormio

Alta Val Venosta-Ortles - Solda arrivo seggiovia Orso CNSAS Alto Adige

Valle di Livigno - Forcola APT Livigno

Valle di Livigno - Monte della Neve APT Livigno

Valle di Livigno - Vallaccia APT Livigno

Valle di Livigno - Federia Alta APT Livigno

10.4823256402896

10.480145745205704

D 46.51160379571996, 10.087232539352927

Valle di Livigno - Carosello APT Livigno Ortovox D 46.51695355289243, 10.087484375809629

Valle di Livigno - Pila Trepalle APT Livigno Pieps gmbh A 46.53470837733515, 10.178317566644171

Valle di Livigno - Valandrea APT Livigno Pieps gmbh A 46.539617703017456, 10.134186678831565

Valle di Livigno - Costaccia APT Livigno

Valle di Livigno - Cassana APT Livigno

10.116725877136647

10.137863240856738

Valle di Livigno - Latteria APT Livigno Pieps gmbh A 46.55140943458421, 10.145513003339936

Valle di Livigno - Federia APT Livigno Ortovox D 46.55431084642036, 10.124753626471975

Valle Spluga - Montespluga Homeland Madesimo Ortovox D 46.4892922114656, 9.336932584972331

Valtellina - Valmalenco - Lanzada Campo Moro DF Sport Specialist

Ortovox D 46.295427884962756, 9.92932361357639

Orobie Valtellinesi - Val Gerola Pescegallo DF Sport Specialist Ortovox D 46.03807361696053, 9.571190618882733

Orobie Bergamasche - Roncobello Capovalle Comune Roncobello-Sci club RoncobelloOrtovox D 45.95443305958051, 9.765603800088824

Orobie Bergamasche - Valseriana Valcanale CAI Alta Val Seriana

9.842093905434643

Orobie Bergamasche - Val di Scalve Rifugio Albani CAI Brignano Girsberger elek CH 45.97516287113651, 10.070491971301685

Orobie Bergamasche - Val di Scalve. Fondi di Schilpario APT Schilpario Girsberger elek CH 46.023715665338116, 10.227564296648898

Monte

GLACIOLOGIA

70 RECENTI ATTIVITA’ DI MONITORAGGIO DEL GHIACCIAIO DI DOSDE’ CENTRALE I

DOSDE’ CENTRALE I

Risultati di proiezioni Georadar, rilievi GNSS e APR

GHIACCIAIO DI RECENTI ATTIVITA’

DI

MONITORAGGIO

Da diversi decenni è in corso un intenso regresso dei ghiacciai in tutto il mondo, che viene considerato il segnale più chiaro e indiscutibile del riscaldamento globale (Oerlemans 2005; IPCC, 2007). Sulle Alpi l’incremento termico ha subito una forte accelerazione a partire dalla fine degli anni ‘70 del secolo scorso. Questa evoluzione climatica sta portando ad una vera e propria “disintegrazione” delle masse glaciali alpine, interessando in particolare i ghiacciai di piccole dimensioni (cioè, i ghiacciai con superficie inferiore a 1 km²), che sulle Alpi rappresentano l’80% del numero totale dei ghiacciai e costituiscono un importante contributo alle risorse idriche (Oerlemans & Fortuin 1992). Anche il Ghiacciaio di Dosdè, situato nel comune di Valdidentro, in provincia di Sondrio, ha subito gli effetti del riscaldamento globale: nel corso di quasi un secolo si è fratturato in diversi apparati glaciali (Dosdè est, Dosdè Centrale I, Dosdè Centrale II, Dosdè ovest), inizialmente interconnessi. La porzione centrale del ghiacciaio, che fino agli anni novanta del secolo scorso si presentava come un unico ed esteso ghiacciaio si è separato in due corpi, Ghiacciaio di Dosdè Centrale I e Ghiacciaio di Dosdè Centrale II, il primo è stato oggetto di studio da parte del Centro Nivometeorologico di Arpa Lombardia. Analizzando e comprendendo i dati acquisiti durante i rilievi in sito in diversi periodi è stato possibile approfondire le conoscenze sulle dinamiche glaciali, costruire modelli accurati e fare possibili previsioni attendibili sulla disponibilità della risorsa idrica di origine glaciale.

Da diversi decenni è in corso un intenso regresso dei ghiacciai in tutto il mondo, che viene considerato il segnale più chiaro e indiscutibile del riscaldamento globale (Oerlemans 2005; IPCC, 2007). Sulle Alpi l’incremento termico ha subito una forte accelerazione a partire dalla fine degli anni ‘70 del secolo scorso. Questa evoluzione climatica sta portando ad una vera e propria “disintegrazione” delle masse glaciali alpine, interessando in particolare i ghiacciai di piccole dimensioni (cioè, i ghiacciai con superficie inferiore a 1 km²), che sulle Alpi rappresentano l’80% del numero totale dei ghiacciai e costituiscono un importante contributo alle risorse idriche (Oerlemans & Fortuin 1992). Anche il Ghiacciaio di Dosdè, situato nel comune di Valdidentro, in provincia di Sondrio, ha subito gli effetti del riscaldamento globale: nel corso di quasi un secolo si è fratturato in diversi apparati glaciali (Dosdè est, Dosdè Centrale I, Dosdè Centrale II, Dosdè ovest), inizialmente interconnessi. La porzione centrale del ghiacciaio, che fino agli anni novanta del secolo scorso si presentava come un unico ed esteso ghiacciaio si è separato in due corpi, Ghiacciaio di Dosdè Centrale I e Ghiacciaio di Dosdè Centrale II, il primo è stato oggetto di studio da parte del Centro Nivometeorologico di Arpa Lombardia. Analizzando e comprendendo i dati acquisiti durante i rilievi in sito in diversi periodi è stato possibile approfondire le conoscenze sulle dinamiche glaciali, costruire modelli accurati e fare possibili previsioni attendibili sulla disponibilità della risorsa idrica di origine glaciale.

Archivio

G.

INQUADRAMENTO GEOGRAFICO

DELL’AREA OGGETTO DI STUDIO

L’area oggetto di studio, il Ghiacciaio di Dosdè Centrale I, situato nella valle omonima, è un apparato glaciale Lombardo situato in provincia di Sondrio, nel Comune di Valdidentro, sul versante settentrionale della Cima di Lago Spalmo Orientale (3298 m s.l.m.). Tale ghiacciaio è compreso all’incirca tra quota 2780 e 3240 m s.l.m. ed è stato oggetto di studio del Centro Nivometeorologico di ARPA Lombardia, che ha

svolto rilievi in sito per monitorarne l’attività (stima dei volumi di ghiaccio) durante l’autunno del 2018 e del 2022.

I RILIEVI E GLI

STUDI CONDOTTI NEL

QUADRIENNIO

2018-2022

Rilievi georadar per la stima dello spessore di ghiaccio. Con l’obbiettivo di monitorare il ghiacciaio, nell’estate del 2018, il CNM di Bormio ha eseguito misure Georadar al fine di ricostruire la profondità del bed-rock,

di verificare gli spessori del ghiacciaio ed infine produrre il modello digitale di terreno basale (bedrock) e superficiale (DEM) utile per calcolare il volume complessivo dell’apparato glaciale. La metodologia G.P.R. (Ground Probing Radar) utilizzata si basa sull’utilizzo di onde elettromagnetiche ad alta frequenza, immesse, riflesse e ricevute al fine di acquisire informazioni sullo stato fisico esistente nei materiali indagati. Le modalità di propagazione di tali onde sono strettamente legate alle costanti dielettriche dei materiali, a loro volta dipendenti dallo stato fisico dei materiali (densità, porosità, permeabilità, conducibilità etc.). Tutte le interfacce che separano materiali con caratteristiche diverse possono essere quindi individuate in modo tanto più certo quanto più alto è il contrasto fisico. Il rilievo è stato effettuato avvalendosi di una strumentazione composta da un Radar in array con 2 antenne da 200 Mhz e da 600 con configurazione a 2 canali. Sulla superficie del Ghiacciaio di Dosdè Centrale I sono stati eseguiti 11 stendimenti per una lunghezza complessiva di 1660 m. I risultati di tale rilievo hanno permesso di verificare gli spessori del Ghiacciaio che variano da 20-30 m nel settore superiore a pochi metri dei bordi. In corrispondenza del cambio di pendenza della topografia a quota 3050 m s.l.m. lo spessore del ghiacciaio si aggira intorno a 8-10 m.

Figura 1 Ghiacciai Dosdè (gruppo Piazzi-Campo, Valtellina): (sopra a sinistra) estate 1932
CGI; b) (sotto a sinistra) estate 2007, foto
Diolaiuti c) (destra) estate 2018
Figura 2 Area oggetto di studio, scala 1:25000

GLACIOLOGIA

Figura 3 I ghiacciai della Val Dosdè
Figura 4 Operazioni di rilievo georadar sez.8
Figura 5 Distribuzione sezioni del rilievo Georadar
Figura 6 Linea 8: acquisita per una lunghezza di circa 200 m, in calata con corda di sicurezza; spessore ghiaccio 8 ÷ 32 metri.

Rilievo aerofotogrammetrico e dem della superficie I rilievi del Ghiacciaio di Dosdè

Centrale sono stati acquisiti tramite il Sistema Aeromobile a Pilotaggio Remoto

“eBee”, sviluppato dalla svizzera Sensefly per operazioni di fotogrammetria e mappatura geospaziale. Il sistema è composto da: Figura 4 Operazioni di rilievo georadar

sez.8 Figura 5 Distribuzione sezioni del rilievo Georadar Figura 4 Linea 8: acquisita per una lunghezza di circa 200 m, in calata con corda di sicurezza; spessore ghiaccio

8 ÷ 32 metri.

 APR (Aeromobile a Pilotaggio Remoto) tutt’ala in materiale espanso nero (EPP) con fotocamera alloggiata in un apposito vano posto nella parte inferiore e batterie al litio che permettono un’autonomia di oltre 45 minuti di volo operativo.

 Stazione di terra composta da un PC dotato del software di volo e da un radiocomando manuale. Durante il volo l’interfaccia utente permette un controllo in tempo reale di diversi parametri (posizione GPS, altezza, distanza dalla Stazione di Terra, tensione batteria, numero di satelliti agganciati, potenza del segnale radio, intensità del vento e direzione del vento).

Nel rilievo aerofotogrammetrico del 2018 il tempo nominale complessivo di volo (per il solo rilievo) è stato di 17’:55” con

una distanza nominale di 13090 m. Nel rilievo fotogrammetrico del 2022 il tempo nominale complessivo di volo (per il solo

rilievo) è stato di 25’:36” con una distanza nominale di volo di 17688 m. Dall’elaborazione dei dati acquisiti si sono

Figura 7 APR utilizzato per il rilievo aerofotogrammetrico
Figura 8 Fase di monitoraggio su PC del volo
Figura 9 Ortofotografia autunno 2018
Figura 10 Ortofotografia autunno 2022
Figura 11 DEM 2018
Figura 12 DEM 2022

ottenute le ortofotografie dell’area in esame con una risoluzione media intorno a 4 cm/px e i modelli digitali di terreno (DEM) con risoluzione media inferiore a 20 cm/px.

Rilievo GNSS

Per permettere la georeferenziazione assoluta delle acquisizioni aero-fotogrammetriche, durante entrambe le campagne, sono stati posizionati a terra diversi “target”, georeferenziati tramite rilievo topografico con metodologia GNSS (GlobaL Navigation Satellite System).

ANALISI E

CONFRONTO DEGLI STUDI CONDOTTI

NEL

2018 E NEL 2022

Partendo dai dati acquisiti durante le campagne del 2018 e del 2022 è stato analizzato il comportamento dell’apparato glaciale di Dosdè Centrale I in termini di variazioni volumetriche grazie all’utilizzo del software QGis. Dall’analisi dell’ortofoto dell’autunno 2018, in cui non vi era copertura nevosa, è stato possibile delineare in maniera accurata il perimetro dell’apparato glaciale in esame di cui è stata calcolata la superficie che risulta essere di circa 15.3 ha.

Il volume del Ghiacciaio nell’autunno del 2018 era di circa 3.000.000 m³. Tale dato deriva dall’analisi della differenza del DEM superficiale con quello basale (bedrock) dell’area in esame.

Per valutare la differenza in termini di volume tra il 2018 e il 2022 sono stati confrontati i DEM superficiali, da cui si è riscontrato un bilancio di massa negativo, con una perdita volumetrica complessiva di 661.847,3 m³. In quattro anni c’è stata una diminuzione di circa il 22% del volume totale. Gli spessori persi variano da pochi metri nelle zone perimetrali fino a 10-12 m della zona frontale. Una perdita importante è stata osservata anche nella zona della scarpata posta al limite del terzo superiore del ghiacciaio (Figura 13).

Dall’analisi dell’istogramma relativo alla frequenza di perdita di quota è stato ricavato il valore medio relativo allo spessore perso che risulta essere di circa 3,5-4 m nel corso del quadriennio 2018- 2022.

GLACIOLOGIA

BIBLIOGRAFIA IPCC (2007)

 IPCC Fourth Assessment Report: Climate Change 2007. Synthesis M. FIOLETTI, L. BONETTI & F. BERBENNI - ARPA Lombardia - Centro Nivometeorologico

 M. STERLI E I. STAIN - Studio di geologia applicata OERLEMANS J. & FORTUIN J.P.F. (1992) - Sensitivity of glaciers and small ice caps to Greenhouse warming. Science, 258, 115-117.

 OERLEMANS J. (2005) - Extracting a climate signal from 169 glacier records. Science, 308, 675- 677. Report – Carovana dei ghiacciai 2023

Figura 13 Ortofoto del Ghiacciaio di Dosdè Centrale I (2018), in rosso è evidenziata la superficie glaciale.
Figura 14 Carta della variazione dei volumi glaciali Figura 15 Istogramma perdita spessore medio

METEREOLOGIA ALPINA

78 Meteo.report previsioni comuni per tutto l’Euregio Trentino Alto-Adige e

Tirolo

previsioni comuni per tutto l’Euregio Trentino Alto-Adige e Tirolo Meteo.report

dott.ssa Erica Cova

Provincia Autonoma di Trento

Servizio Prevenzione Rischi e CUE

Ufficio Previsioni e Pianificazione (Meteotrentino)

Since 2017, Trentino, South Tyrol, and Tyrol have successfully collaborated on a joint avalanche bulletin, accessible at valanghe.report. This cross-border avalanche report has been a significant success, both in terms of user numbers and access frequency, as well as in communicative clarity. It also marked the first step in collaboration among the three Euregio territories in risk prevention and management. Building on the success of valanghe.report, a similar joint initiative was undertaken for weather forecasting, leading to the launch of valanghe.report's "sibling" site, meteo.report, last summer.

On meteo.report, users can find municipal-level forecasts in three languages, created by integrating the latest updates from forecasting models and data from weather stations across the territory. Meteorologists from the weather offices of Trentino, South Tyrol, and Tyrol collaborate daily in drafting bulletin texts. Notably, the site offers a bulletin specifically dedicated to mountain weather, enabling users to plan their outings safely.

Da qualche anno (2017) Trentino, Alto Adige e Tirolo collaborano con successo ad un bollettino valanghe comune, accessibile sul sito valanghe. report. Il bollettino valanghe transfrontaliero è stato un grande successo sia per numero di utenti e di accessi, sia per chiarezza comunicativa, ma è stato anche il primo passo della collaborazione tra i tre territori dell’Euregio nella prevenzione e nella gestione dei rischi. Sulle spalle di valanghe.report si è infatti deciso di provare a fare un simile percorso comune anche per quanto riguarda il meteo e dalla scorsa estate è online il sito “fratello” di valanghe.report: meteo.report.

Su meteo.report l’utente può trovare previsioni a dettaglio comunale, in tre lingue, realizzate integrando gli ultimi aggiornamenti dei modelli previsionali e i dati dalle stazioni meteo presenti sul territorio. I meteorologi degli uffici meteo di Trentino, Alto Adige e Tirolo collaborano inoltre quotidianamente nella stesura dei testi dei bollettini: sul sito, in particolare, è possibile trovarne uno dedicato specificamente al meteo in montagna, per consentire agli utenti di pianificare le proprie uscite in sicurezza.

Il logo di meteo.report

Meteo.report elabora previsioni per il Trentino, l’Alto Adige e il Tirolo combinando gli ultimi aggiornamenti modellistici e i dati delle stazioni meteo sul territorio.

METEOROLOGIA ALPINA

In Trentino, Alto Adige e Tirolo l’Europa prende forma anche grazie alle molte iniziative di collaborazione transfrontaliera portate avanti grazie all’Euregio (o Euroregione). Questi tre territori, pur appartenendo a Stati diversi e parlando (in parte) lingue differenti, condividono una lunga storia comune e tanti elementi geografici, economici e culturali che li rendono naturalmente vicini. È proprio su queste basi che si sviluppano progetti congiunti, capaci di valorizzare ciò che unisce, oltrepassando i confini amministrativi.

Turismo, cultura e trasporti sono solo alcuni dei campi oggetto di progetti di successo che promuovono la conoscenza

reciproca dei tre territori e dei loro abitanti. Nel campo della gestione dei rischi nel 2017 è iniziata la sperimentazione di un bollettino valanghe unico transfrontaliero (disponibile su valanghe.report2). Da allora gli uffici valanghe di Trentino, Alto Adige e Tirolo collaborano quotidianamente alla creazione del bollettino: una scelta naturale, se si pensa che la neve e le valanghe non seguono confini politici, ma rispondono a logiche climatiche e geografiche. I tecnici hanno a disposizione una piattaforma condivisa, partecipano insieme a occasioni di formazione e approfondimento e, soprattutto, si confrontano quotidianamente sulla valutazione del pericolo valanghe.

Il successo di valanghe.report, riconosciuto sia per numero di utenti e di accessi, sia per chiarezza comunicativa, ha spinto i tre territori a fare un passo ulteriore: immaginare un progetto simile per le previsioni meteo.

Meteo.report mette a disposizione degli utenti dei tre territori e di tutti i visitatori della regione, un punto unico di accesso ad osservazioni e previsioni meteo. Le previsioni hanno dettaglio comunale e risoluzione tri-oraria e sono elaborate da un sistema comune che affianca gli ultimi aggiornamenti modellistici ai dati delle stazioni meteo presenti sul territorio e gestite dai tre uffici competenti. Il sito è disponibile in tre lingue. Anche in questo caso, la parola chiave è collaborazione. I previsori meteo dei tre territori lavorano insieme ogni giorno per elaborare bollettini chiari, precisi e tradotti in italiano, tedesco e inglese.

Il sito è navigabile attraverso il menù principale, accessibile tramite smartphone dalla classica icona a tre trattini (detta “hamburger menu”). Nella pagina dedicata alle stazioni meteo è possibile visualizzare sulla mappa e accedere direttamente ai dati di tutte le stazioni meteo ufficiali di Trentino, Alto Adige e Tirolo, per tenere sott’occhio la situazione in tempo reale oppure verifi-

care quanto successo nell’ultima settimana. E’ possibile visualizzare i dati aggiornati ogni mezz’ora oppure aggregati a scansione giornaliera. Cliccando sulla stazione è possibile accedere direttamente ai grafici di dettaglio della stazione meteo con tutte le misurazioni dei sensori disponibili.

Uno strumento molto amato dagli utenti e ormai diventato fondamentale nel monitorare la situazione meteo in tempo reale è il radar. Le precipitazioni in atto che possiamo vedere nella pagina dedicata su meteo.report sono però elaborate integrando non solo i dati dei radar presenti sul territorio ma anche i valori misurati dalle stazioni al suolo. Il prodotto è realizzato da Geosphere Austria (partner di progetto sia nella fase di ideazione di questo progetto che nella sua fase operativa) con la collaborazione degli uffici meteo di Trento e Bolzano.

La sinergia tra valanghe.report e meteo. report si ritrova anche nella pagina dedicata al meteo in montagna. Nella stagione estiva oppure a completamento delle indicazioni del bollettino valanghe in quella invernale è possibile utilizzare questo strumento per la pianificazione delle proprie escursioni. Il territorio Euregio è stato diviso in 21 aree corrispondenti ai principali gruppi montuosi. Selezionando un’area è possibile esplorare la previsione per i prossimi giorni a differenti quote (1500 m, 2000 m, 2500 m e 3000 m): nel riquadro in evidenza vengono riportati i dati principali e cliccando sul nome dell’area è possibile accedere ai grafici dettagliati ed interattivi. Ogni territorio prepara inoltre quotidianamente un bollettino meteo testuale dedicato al tempo in montagna e redatto dal meteorologo di turno per la giornata in corso e la successiva.

Ricordiamo che è buona norma, per l’organizzazione di uscite sul territorio in sicurezza, consultare sia il bollettino valanghe che quello meteorologico, per questo sulla pagina dedicata al meteo in montagna è disponibile il link diretto al bollettino valanghe, mentre su valanghe. report è possibile visualizzare le previsioni dal menù “Meteo”.

Gli utenti possono personalizzare la loro esperienza sul sito selezionando fino a tre località preferite, che compariranno direttamente in homepage. E’ possibile inoltre incorporare le previsioni direttamente nella propria pagina web sfruttando il widget dedicato.Tutti i dati forniti per le province di Trentino e Alto Adige sono forniti con licenza Creative Commons Attribution 4.0 e disponibili anche attraverso i portali Open data delle due province, mentre i dati relativi al Tirolo rimangono invece riservati.

Il sito meteo.report è stato progettato in modalità responsive, adattandosi automaticamente alla dimensione dello schermo su cui viene visualizzato. E’ possibile aggiungere il sito direttamente alla schermata principale del proprio dispositivo mobile, così da poterlo aprire rapidamente tramite un'icona, proprio come un'app, ma senza occupare spazio o risorse sul telefono. Per farlo, sia su dispositivi Android che iOS, basta selezionare l'icona "Condividi" e poi scegliere "Aggiungi alla schermata Home".

Panoramica sulle temperature registrate dalle stazioni meteo dell’area Euregio: meteo. report fornisce un punto d’accesso comune ai dati dei tre territori.

Il meteo in tempo reale: combinando dati radar e misure delle stazioni al suolo è possibile monitorare le precipitazioni in atto sul territorio.

Bollettino dedicato al meteo in montagna, con previsione elaborata dai previsori delle tre regioni e possibilità di analizzare la previsione a diverse quote (dai 1500 ai 3000 m).

Le previsioni comuni realizzate tramite il progetto meteo.report saranno a breve incorporate anche nei siti meteo della Provincia Autonoma di Trento (meteotrentino.it) e Bolzano (meteo.provincia.bz.it).

Gli utenti delle due province che sono già abituati ad accedere alle previsioni meteo da questi portali avranno a disposizione

Negli ultimi mesi inoltre le previsioni di meteo.report sono state integrate nell’app del Land Tirolo, nel sito ufficiale Euregio e nell’app e sito di VisitTrentino. Per gli sviluppatori sono a disposizione widget e istruzioni per integrare direttamente i dati tramite API. Il progetto è inoltre stato realizzato completamente in modalità open source: tutto il codice è riutilizzabile ed è disponibile e documentato online (https:// gitlab.com/tinia-euregio).

i nuovi prodotti anche sulle pagine che abitualmente visitano. Meteo.report sarà invece il punto di accesso principale alle previsioni meteo comuni Euregio per il Tirolo, ma anche una risorsa utile per i turisti che frequentano tutta l’area, grazie all’approccio multilingue e alla facilità di consultazione.

Gli sviluppi di meteo.report non si sono però fermati con il suo lancio a giugno 2024. A breve, per festeggiare l’anno di attività, saranno a disposizione alcuni nuovi prodotti e funzionalità. Prima di tutto la possibilità di accedere direttamente alle previsioni modellistiche, realizzate in collaborazione con Meteosvizzera. Dal sito sarà possibile analizzare la previsione per le prossime 30 ore di precipitazione, temperature, vento e nuvolosità. Sia la precipitazione in tempo reale che la previsione modellistica saranno inoltre disponibili sotto forma di widget e incorporabili direttamente nella propria pagina web. Meteo.report sta inoltre lavorando al miglioramento delle traduzioni e alla verifica della qualità della previsione. Valanghe.report e meteo.report raccontano una storia di collaborazione concreta tra territori uniti da una geografia e da una cultura condivise, anche se divisi da confini amministrativi. Trentino, Alto Adige e Tirolo dimostrano come lavorando fianco a fianco ogni giorno, si possono affrontare insieme, con più idee e più risorse, le sfide che, in fondo, riguarderebbero comunque ciascun territorio. Progetti come questi migliorano concretamente l'accesso alle informazioni offrendo un servizio utile sia a chi vive nell’Euregio, sia ai visitatori, ma, allo stesso tempo, contribuiscono a costruire e rafforzare il senso di appartenenza ad una comunità più ampia, che va oltre i confini locali e si estende a una dimensione europea.

BIBLIOGRAFIA

 https://valanghe.report/ - il sito del bollettino valanghe di trentino, Alto Adige e Tirolo

 https://meteo.report/it/ - previsioni meteo per Trentino, Alto Adige e Tirolo

 https://www.meteotrentino.it/ - il sito meteo ufficiale della Provincia Autonoma di Trento

 https://meteo.provincia.bz.it/ - la pagina meteo ufficiale della Provincia Autonoma di Bolzano

 https://gitlab.com/tinia-euregio - repository su Gitlab con tutte le informazioni sul codice open source del progetto Euregio Weather Report (progetto Interreg Italia-Austria TINIA)

Il widget dedicato alle precipitazioni in atto: a breve sarà disponibile per poter essere integrato gratuitamente nei siti internet degli utenti interessati.

Collaborano al progetto Meteo.report

 Segretariato generale del GECT "EUREGIO Tirolo - Alto Adige - Trentino"

 l’Ufficio Previsioni e pianificazione della Provincia Autonoma di Trento (Meteotrentino)

 l’Ufficio Meteorologia e prevenzione valanghe della Provincia Autonoma di Bolzano

 il Servizio Idrologico del Land Tirolo

Turn static files into dynamic content formats.

Create a flipbook
Issuu converts static files into: digital portfolios, online yearbooks, online catalogs, digital photo albums and more. Sign up and create your flipbook.