Informe final de resultados
CAMPAÑA 2025

COORDINACIÓN GENERAL


COORDINACIÓN TÉCNICA

COLABORA MAIN SPONSOR PATROCINAN









AUSPICIAN






Prólogo
Necesitamos diseñar una agricultura basada en una sucesión de procesos que permitan a los agro-ecosistemas ser lo suficientemente productivos, eficientes y estables en el tiempo. Podríamos afirmar que es una sucesión o “línea de montaje” desarrollada a partir de flujos de energía y materia, donde la fotosíntesis constituye el punto de partida esencial en la transformación de la energía y productividad del sistema.
El diseño y montaje de esa agricultura debe basarse en la aplicación de ciertos principios ecológicos básicos que permitan sostener la capacidad productiva realizando un uso racional y eficiente de los recursos naturales e insumos:
• Aumentar la producción de biomasa y sostener la actividad biológica del suelo.
• Aportar el suficiente carbono orgánico al suelo para alcanzar un balance adecuado de la materia orgánica en relación con el ambiente productivo.
• Promover una estructura de suelo estable, que le permita a los cultivos expresar su potencial de crecimiento, con buena estabilidad de agregados para la entrada y circulación de agua y aire, y transferencia de calor en el suelo, buen desarrollo de raíces, aprovechamiento de la capacidad de almacenaje de agua y libre movimiento de la solución agua más nutriente desde el suelo a la raíz.
• Optimizar la disponibilidad y el reciclado de los nutrientes con prácticas biológicas y de fertilización.
• Mantener una vegetación viva la mayor parte del tiempo posible para que la principal vía de salida de agua del campo sea la transpiración,
minimizando las pérdidas por evaporación, percolación y escurrimiento.
• Aumentar las interacciones biológicas y sinergias entre los componentes del sistema, promoviendo procesos y servicios ecológicos claves como el manejo integrado de malezas, plagas y enfermedades, la mitigación de GEI y contaminación por fitosanitarios.
• Sistemas intensificados permiten mejorar el ciclo de los nutrientes en los suelos, disminuyendo las probabilidades de pérdidas por volatilización o lixiviación, reduciendo la contaminación del aire y napas.
• Diversificar el agroecosistema en el tiempo y el espacio para asegurar y garantizar los ecoservicios que hacen posible el desarrollo y la continuidad de la vida en la tierra. Estos principios pueden ser aplicados a través de diversas técnicas y estrategias agronómicas. Entre estas se destacan, por su impacto directo e indirecto sobre la productividad y sustentabilidad del sistema, la siembra directa y la intensificación ecológica.
En Argentina, el Sistema de Siembra Directa se ha difundido con éxito en una gama de ambientes climáticos muy diversos que van desde los templados-fríos a cálidos y de húmedos a secos; y ambientes edáficos con suelos de texturas muy finas a gruesas, con altos a bajos contenidos de materia orgánica, y con distintos grados de limitaciones para la producción de cultivos.

Esa significativa expansión sin duda se explica por una serie de beneficios: mejora el aprovechamiento del agua y la conservación del suelo, protege contra la erosión, mejora el balance de la materia orgánica y mejora la estabilidad de la estructura superficial; pero al mismo tiempo aumenta la oportunidad de siembra permitiendo prolongar el ciclo agrícola hacia una mayor intensificación biológica dentro de las rotaciones de cultivos, acercando más al sistema productivo a los ambientes naturales de cada región.
La intensificación ecológica, siempre viva y diversa, debería obrar positivamente como ocurre con los suelos en la naturaleza, donde la dinámica de los procesos es regulada sin interrupciones por las condiciones ambientales (básicamente radiación, agua y temperatura). Un pastizal natural, una pastura implantada, un monte o una agricultura bien intensificada en el tiempo trabajan a lo largo de todos los días captando la energía del sol e intercambiando agua por carbono y nutrientes para sostener un sistema dentro de un equilibrio de construcción, consumo y descomposición. Desde una mirada de sustentabilidad empresarial, el desafío entonces depende en gran medida de que el suelo descanse lo menos posible en la medida que los recursos del ambiente, fundamentalmente “agua” y “nutrientes” lo permitan, para la construcción y diseño de las estructuras del carbono en productos de mercado para la empresa y en materia orgánica y biota para suelo.
En este contexto los cultivos de servicios son una de las herramientas que permiten al productor intensificar y diversificar su sistema. Son cultivos cuyo fin no necesariamente es ser cosechados y que se incorporan a las rotaciones para brindar una amplia variedad de beneficios principalmente sobre la conservación y protección del suelo. A pesar de que se los empezó a usar con fines de cobertura de suelo y abonos verdes, con el tiempo se vio que prestaban otros servicios ecosistémicos (de ahí su denominación) de mucha utilidad para sostener el sistema productivo, como por ejemplo mejorar el manejo integrado de las malezas y otras plagas, la provisión de nutrientes y hasta la regulación de las napas. Incluso en el mantenimiento de la calidad del aire u otros fines estéticos y recreativos.
La Red de Cultivos de Servicios, enmarcada en el programa Sistema Chacras de AAPRESID y articulando la coordinación técnica con FAUBA y la Facultad de Ciencias Agrarias de la UNR, tiene como finalidad dar a conocer toda la información disponible a la vez de generar más conocimiento sobre esta tecnología de tanto impacto. Por eso es un placer invitar a compartir esta publicación donde el lector podrá transitar una serie de aspectos que hacen al manejo y resultados de los CS.
Esperamos que lo disfruten y que sea de mucha utilidad para el diseño y montaje sostenible de nuestra agricultura.

Red de Cultivos de Servicios Aapresid - BASF
¿Qué es la Red de CS?
Es una red de conocimiento e intercambio de experiencias sobre cultivos que prestan servicios para la mejora de los sistemas de producción en las diferentes regiones del país.
¿Para qué la Red de CS?
Para contar con un espacio de generación y/o divulgación de información, consulta e intercambio técnico sobre cultivos de servicios:
• Manejo agronómico de los cultivos de servicios;
• Comportamiento y adaptación de especies en diversas regiones del país;
• Prestación de servicios ecosistémicos con foco en aportes de biomasa, carbono y nitrógeno, control de malezas y economía del agua.
• Impacto de la inclusión de CS sobre la productividad del sistema
• Alternativas de siembra e implantación
• Usos “alternativos”: forraje, bioenergía, ambientales.
• Casos y experiencias de adopción de cultivos de servicios en sistemas de producción.
• Incorporación de cultivos de servicios en sistemas integrados agrícolas ganaderos.
• Efectos del pastoreo de cultivos de servicios sobre variables productivas y ambientales.
¿Qué hacemos y quiénes participan?
La red está abierta a todos los productores, técnicos, asociaciones, instituciones y empresas que estén interesados en la temática y que tengan necesidad de generar e intercambiar conocimiento.
A nivel experimental contamos cada campaña con un número variable de sitios de experimenta-
ción distribuidos en diferentes regiones de producción del país. A su vez llevamos adelante acciones de transferencia como jornadas a campo, talleres de intercambio y giras técnicas; divulgamos el conocimiento generado y experiencias a través de nuestra web, redes sociales y publicaciones técnicas.
A partir de la campaña 2021/22, se incorporó a la red la evaluación de escenarios productivos que incluyen en sus rotaciones cultivos de servicio bajo pastoreo directo. La finalidad de este trabajo es generar información respecto al pastoreo de cultivos de servicios, necesaria para el manejo de este tipo de sistemas.
Las actividades experimentales son llevadas a cabo principalmente en campos de productores pertenecientes a diferentes grupos Regionales de Aapresid, pero también empresas y otras instituciones, quienes ponen a disposición sus campos y maquinaria para la realización de estos. La ejecución de los protocolos experimentales está a cargo de profesionales de la agronomía pertenecientes a grupos Regionales y Chacras de Aapresid.
También participan de la Red de CS diversas empresas de fitosanitarios, maquinaria y semillas forrajeras. Las mismas aportan conocimiento, tecnología y apoyo económico para llevar adelante el proyecto.
La Red de CS tradicionales cuenta con una coordinación técnica, representada por los Dres. Gervasio Piñeiro, Priscila Pinto, Tomás Della Chiesa y Paula Berenstecher. Por su parte, los ensayos de pastoreo de CS también cuentan con una coordinación técnica representada por el Dr. Julio Galli y el Ing. Agr. Alex Tomassetti. Ambos equipos brindan soporte científico, analizan datos y exponen los resultados experimentales.
La Coordinación General de la Red de CS, a cargo del programa Sistema Chacras de Aapresid representada por Lina Bosaz quien se encarga de coordinar la ejecución de las diversas actividades planificadas en el proyecto.
Agradecimientos
La presentación del siguiente informe es posible gracias al aporte y trabajo de un gran número de productores, técnicos, instituciones y empresas participantes de la Red. A continuación, los responsables de cada actividad:
Generación de demandas de conocimiento, conducción de ensayos y generación de datos:
•Sitio Balcarce: Pablo Barbieri y equipo. INTA Balcarce.
•Sitio Guaminí: Daniel Recalde, Regional Las Encadenadas.
•Sitio Videla y Emilia: Navier Picco, Regional Videla.
•Sitio Rafaela: Celeste Zenklusen, Regional Rafaela.
•Sitio Paraná: Rodrigo Penco, Facultad de Cs. agropecuarias de la UNER, Regional Paraná.
•Sitio Marcos Juarez: Franco Bardeggia, Regional Los Surgentes – Inriville.
•Sitio Vicuña Mackena: Edgardo Steger, Liag.
•Sitio Lecueder: Guillermo Rivetti, Mariano Robledo, Regional Del Campillo, Chacra Sur de Córdoba.
•Sitio Jovita I y II: Oscar Martini, Nicolaas Guaita, Mariano Robledo. Regional Del Campillo, Chacra Sur de Córdoba.
• Sitio Quenumá: Alfonso González, Juan Peralta, Lurdes Guerrero, Juan Palazzo, Regional Trenque Lauquen.
• Sitio Bandera: Stefany Kern, Esteban Jauregui, Chacra Bandera.
• Sitio Frias: Esteban Arroyo, equipo técnico y Ing. Martin De Maussion de establecimiento San Patricio, Chacra Latitud 28.
Coordinación Técnica (protocolos, análisis de datos e informe):
Gervasio Piñeiro; Viviana Bondaruk; Priscila Pinto; Tomas Della Chiesa; Paula Berenstecher (FAUBA-IFEVA-CONICET); Julio Galli y Alex Tomassetti (FCAgr - UNR).
Coordinación General: Lina Bosaz (Sistema Chacras Aapresid).
Empresas participantes
La Red de Cultivos de Servicios es posible gracias al apoyo de las siguientes empresas:
Main Sponsor: BASF.
Patrocinantes: Altina, Alena, Rizobacter, El Cencerro, Bioceres, Efficatia.
Auspiciantes: Smart Campo, Peman, Caversazi Otin, Regen Seeds, Biscayart, Zinma Seed, Chacra Servicios, Praderas, Barenbrug, Nuseed.

RED DE CULTIVOS DE SERVICIOS
AAPRESID-BASF
Informe final de Resultados
CAMPAÑA 2024/25
Bondaruk, V. F.; Bosaz, L.; Berenstecher, P.; Babieri, P; Recalde, D.; Picco, N; Zenklusen, C. Penco, R.; Bardeggia, F.; Garcia, R.; Steger, E.; Rivetti, G.; Robledo, M.; Martini, O.; Guaita, N.; Robledo, M.; González, A.; Peralta, J.; Guerrero, L.; Palazzo, J.; Kern, S.; Jauregui, E.; Arroyo, E.; De Maussion, M.; Piñeiro, G.
La campaña 2024-2025 de la Red de Cultivos de Servicios AAPRESID-BASF tuvo como objetivo relevar a campo la producción de biomasa y el uso consuntivo de agua de varias especies puras y en mezclas de cultivos de servicios (CS) (Tabla 1), así como el rendimiento de los cultivos de renta sucesores. Los sitios experimentales se llevaron a cabo en diferentes agroecosistemas de distintas regiones agroclimáticas de Argentina. Además, en esta campaña se realizaron en algunos sitios siembras aéreas de CS (con drones o Altina) además de las siembras terrestres (ver tipo de siembra de cada sitio en la Tabla 2).
De esta campaña participaron 16 sitios con ensayos experimentales distribuidos en 5 nodos agroclimáticos (Centro Litoral, Oeste, Oeste Medanoso, Norte y Sur) abarcando regiones desde el Norte de Argentina hasta el Sur de la provincia de Buenos Aires (Figura 1). Los sitios se agruparon en nodos según características agroambientales
Especie y variedad
Centeno Don Marcelo
similares, como tipo de suelo, textura, fertilidad y condiciones climáticas (precipitación, disponibilidad hídrica y temperatura). Por ejemplo, el nodo Centro Litoral presenta suelos francos arcillosos o limosos, mayormente argiudoles, con un 3% de materia orgánica (MO) en promedio (Tablas 3 y 4). En contraste, los nodos Oeste y Oeste Medanoso tienen suelos más arenosos, pobres en MO (1.7-1.4, respectivamente) y con menor disponibilidad hídrica. El nodo Sur comparte características de suelo y agua con Centro-Litoral, pero tiene menor temperatura media. El nodo Norte, presenta suelos similares y precipitaciones intermedias respecto al nodo Centro-Litoral y nodo Sur, pero presenta una marcada estacionalidad en sus precipitaciones (sin lluvias en invierno) y una temperatura media más alta (Tabla 3 y 4). En uno de los sitios del nodo Norte, se realizó el ensayo de CS con irrigación con lo cual se lo analiza como un caso aparte (detallado de ahora en más como Norte-Riego).
Familia
Empresa
Barenbrug
Cebada Rayén INTA Barenbrug
Triticale Molle INTA Barenbrug
Raigras anual S ancho
Gramíneas
El cencerro
Centeno Don Carlos Biscayart
Moha S mart campo
Mijo amarillo S mart campo
Melilotus alba Baralbo
Barenbrug
Vicia villosa Ascasubi INTA El Cencerro y Bioceres
Leguminosas
Vicia villosa Crescencia Biscayart
Crotalaria juncea Peman
S ainfoin - Onobrychis Viciifolia Zinma seeds
Rábano Daikon CCS 779
Carinata Nugreen 60 Nuseed
Crucíferas Biscayart
Rábano Bokito Zinma seeds
Tabla 2. Detalle del tipo de siembra aplicada en cada uno de los sitios de ensayo. Las siembras aéreas se realizaron con drone, excepto en Trenque Lauquen que se realizó con Altina
Nodo Sitio
Centro Litoral
Tipo de siembra
Videla Aérea
Emilia Aérea
Rafaela Terrestre
Paraná Terrestre
Marcos Juárez Aérea
Colonia Ensayo Terrestre
Oeste V Mackenna Terrestre
Oeste Medanoso
Lecueder
Jovita I
Jovita II
Aérea
Aérea
Aérea
Trenque Lauquen Aérea (Altina)
S ur Rivera Terrestre
Balcarce
Norte R Frías
Norte
Bandera 1
Bandera 2
Terrestre
Terrestre
Terrestre
Terrestre
Figura 1. Mapa con el detalle de los sitios de cada nodo agroclimático de la Red Argentina de Cultivos de Servicios AAPRESID BASF- Campaña 2024-2025.

FSi: 9/5 FSec: 7/10
FSi: 15/4 FSec: 3/10
FSi: 29/4
FSec: 16/10
FSi: 9/4 FSec: 9/9
FSi: 8/4 FSec: 5/10
FSi: 30/3 FSec: 25/9
FSi: 3/4
FSec: 29/10 FSi: 22/3 FSec: 5/10
FSi: 20/5 FSec: 3/10
FSi: 12/4 FSec: 25-28/9
FSi: 12/4 FSec: 14/11
FSi: 30/3-21/5 FSec: 25/9-29/10
FSi: 5/4 FSec: 22/10
Nodo
Tipo de siembra
Tabla 3. Características de suelo (tipo de suelo, materia orgánica -MO-, fósforo -P-, ph) de cada sitio y nodo agroclimático con su correspondiente ubicación geográfica.
Videla
Centro Litoral
Juárez
V Mackenna Oeste
Lecueder OesteMedanoso
Balcarce
2
Las precipitaciones durante el ciclo de los cultivos de servicios variaron entre 33 (nodo Norte) y 211 mm (nodo Sur) en secano y 289 mm para nodo irrigado (Norte con Riego), mientras que las temperaturas medias estuvieron entre 11.5 (nodo Oeste) y 18.2 °C (nodo Norte) (Tabla 4). El agua disponible (AD) para los CS varió según la región y también existió, en algunos casos, variación entre los sitios de una misma región (Tabla 4). El AD dependió de las variaciones en las precipitaciones ocurridas durante el período de crecimiento de los CS y del agua útil inicial a la siembra de los CS. El nodo Sur presentó la mayor AD, con 340 mm, muy similar a la AD del sitio del Norte irrigado y Rafaela tuvo solo 191 mm de AD, valores muy bajos en comparación a los otros sitios de este nodo) mientras que el nodo Oeste Medanoso registró la menor AD, con solo 151 mm (Tabla 4)
En todos los sitios evaluados, excepto en cuatro sitios (uno del nodo Centro Litoral, otro del Oeste, uno del Oeste Medanoso y el último del Norte), el AD fue cercana o superior a 300 mm. Esto evidenció un patrón de agrupamiento de sitios
con alta y baja disponibilidad hídrica entre las distintas regiones agroclimáticas:
• los nodos Oeste, Oeste Medanoso y Norte, mostrando una mayor proporción de sitios con mayor limitación hídrica,
• mientras que otros nodos (Centro-Litoral y Sur) presentaron típicamente sitios con mayor disponibilidad de agua.
Coincidiendo con los nodos que experimentaron menos restricciones hídricas, se encuentran aquellos con una mayor duración en días del ciclo de CS (Centro Litoral y Sur). Además, los nodos con una mayor duración en días poseen una menor duración en período entre secado del CS y siembra del cultivo estival posterior (“barbechito”). Sin embargo, hay un nodo, el Oeste Medanoso, que posee el máximo de duración en días de ciclo de CS y mínima duración de barbechito (27 días) que es coincidente con la más baja AD de todos los sitios analizados. Esto podría indicar que ante una mayor limitación hídrica (baja agua útil inicial y/o bajas precipitaciones durante el ciclo) es necesario alargar los periodos de barbechito (Tabla 4)
Tabla 4. Características de longitud de ciclos (duraciones en días de ciclo de CS y de barbechito), condiciones climáticas (disponibilidad de agua inicial “AU inicial”, precipitaciones del ciclo de cada sitio y del nodo “PPT ciclo CS”, precipitaciones del barbechito “PPT barbechito”, agua disponible durante el ciclo de cada sitio y del nodo (AU inicial + PPT ciclo CS) y temperatura media con su correspondiente ubicación geográfica.
Sitio
Centro
Litoral
Oeste Medanoso
Producción de biomasa y uso consuntivo de agua de cultivos de servicios bajo siembra terrestre y rendimiento del cultivo estival sucesor en cada nodo agroclimático
Nodo Centro Litoral
La mayor producción de biomasa de los CS en el Centro Litoral fue alcanzada principalmente por las mezclas triples (Vicia villosa + Centeno + Rábano) y por el Centeno, con valores que oscilaron entre 6200 y 6500 kg/ha. En segundo lugar, se ubicó la Vicia villosa, mientras que en posiciones más relegadas se encontraron la crucífera Carinata y el Raigrás, ambas con producciones notablemente menores (menos de 4000 kg/ha) (Figura 2-A)
El uso consuntivo de agua al secado, es decir, el volumen utilizado por los cultivos de servicio para generar dicha biomasa no difirió significativamente entre especies ni respecto al barbecho (Figura 2-A). Esta ausencia de diferencias podría atribuirse a la variabilidad entre sitios, ya que en algunos se observaron contrastes, mientras que en otros las diferencias no fueron significativas.
En cuanto al rendimiento del cultivo estival posterior, los principales sucesores fueron maíz y soja. Para el maíz, se registraron rendimientos superiores en los lotes precedidos por Vicia villosa y por la mezcla triple, incluso superando los obtenidos en barbecho (Figura 2-B). Esto podría asociarse a
la mayor disponibilidad de nitrógeno aportada por estos cultivos de servicio. En cambio, las gramíneas (Centeno y Raigrás) produjeron rendimientos menores que las leguminosas, las mezclas e incluso las crucíferas, con valores de 6000 y 5700 kg/ha, respectivamente.
Respecto al uso hídrico a la siembra del maíz, el Raigrás y la Carinata fueron los antecesores que presentaron mayor consumo, seguido por Vicia villosa y la mezcla triple, el Centeno y por último el barbecho (aunque no fueron estadísticamente diferentes) (Figura 2-B)
En el caso de la soja, se observó un patrón similar al del maíz: la mezcla triple presentó los mayores rendimientos, seguida por Carinata y Vicia villosa (Figura 2-C). Nuevamente, las gramíneas generaron los menores valores de rendimiento, aunque estadísticamente similares al barbecho. En cuanto al uso de agua, la tendencia acompañó en general los valores de rinde, aunque en este caso la Carinata mostró un consumo superior al de la mezcla triple (Figura 2-C). Le siguieron, con valores intermedios y similares entre sí, las gramíneas y Vicia villosa, mientras que el barbecho volvió a registrar el menor uso hídrico.
Figura 2. (A) Producción de biomasa de los CS (kg ha; barras lisas) y uso consuntivo de agua (mm, barras rayadas) al secado y (B y C) rendimiento de los cultivos estivales sucesores (kg ha-¹, barras llenas, B: maíz; C: soja) y uso consuntivos a la siembra (mm, barras rayadas) del cultivo estival en la región Centro Litoral (correspondientes a siembras terrestres) para distintas especies de cada grupo funcional de cultivos de servicio: gramíneas (azul), leguminosas (fucsia), crucíferas (verde) y mezclas (ocre), y para el caso del barbecho (en colores gris). Se muestra la media y el error estándar. Las letras sobre las barras indican diferencias significativas entre especies de CS según la prueba LSD (p < 0,05). Cuando no aparecen letras indicativas significa que no hubo diferencias significativas entre esas especies de cultivos de servicios en las respectivas variables analizadas.

Nodo Norte y Norte con Riego
En el caso del Nodo Norte, la mayor producción de biomasa estuvo dada por la crucífera Carinata (7800 kg/ha), seguida por Mostaza (6500 kg/ha), mientras que el Centeno y la Vicia registraron producciones menores (Figura 3-A). En el caso de la Vicia, fue la de menor producción de biomasa, con valores inferiores a los 1500 kg/ha. En relación al uso consuntivo de agua por parte de los cultivos de servicio a secado, no se encontraron diferencias entre las especies de cultivos de servicio, pero sí hubo una diferencia marcada en relación al uso del barbecho, que fue inferior (Figura 3-A)
En el Nodo Norte, el cultivo estival sucesor fue la soja, y se observaron diferencias en los rendimientos según el cultivo de servicio antecesor. Los mayores valores de rendimiento se registraron en los lotes precedidos por mostaza y Vicia villosa, seguidos por aquellos cuyo antecesor fue centeno o carinata (Figura 3-B). Los barbechos presentaron rendimientos menores, aunque estadísticamente similares a los obtenidos con carinata y centeno. En cuanto al uso consuntivo de agua a la siembra del cultivo estival, las crucíferas mostraron los mayores valores, seguidas por el centeno y la Vicia villosa (Figura 3-B). El barbecho, en cambio, presentó un uso de agua significativamente menor, diferenciándose claramente del resto de los tratamientos, aunque estos mayores consumos de agua de los CS no disminuyeron los rindes del cultivo de soja posterior.
Comparativamente, en el Nodo Norte con riego el Centeno presentó producciones mucho más altas, pasando de alrededor de 4.700 (sin riego) a más de 20000 kg/ha (con riego) (Figura 4-A). Las leguminosas también mostraron una fuerte respuesta a la disponibilidad hídrica, ya que la Vicia villosa pasó de 1.400 kg/ha (sin riego) a 12.300 kg/ha (con riego), incrementando casi 11.000 kg/ha con 100 mm más de agua disponible (Figura 4-A). Por otro lado, las crucíferas también respondieron positivamente al riego, ya que la carinata pasó de producir 7.800 kg/ha sin riego a más del doble con riego.
En la región del Nodo Norte bajo condiciones de riego, el uso consuntivo de agua hasta el secado fue mayor en Carinata y Vicia villosa, seguidas por el Centeno, mientras que el barbecho presentó los valores más bajos (similar a lo observado en secano) (Figura 4-A). Estos resultados evidencian la alta sensibilidad al agua tanto de las leguminosas como de las crucíferas, y una buena adaptabilidad del Centeno en condiciones contrastantes.
El rendimiento del cultivo estival sucesor en el Nodo Norte con riego, (poroto negro), fue entre 2.000 y 3.000 kg/ha (Figura 4-B). Los mayores rendimientos se registraron en los lotes con centeno y en un segundo grupo Vicia villosa y Carinata como cultivos antecesores. En último lugar con valores inferiores, se ubican los lotes precedidos por barbecho, siendo este último el que presentó el menor rendimiento del cultivo sucesor (Figura 4-B)
Figura 3. (A) Producción de biomasa de los CS (kg ha; barras lisas) y uso consuntivo de agua (mm, barras rayadas) al secado y (B) rendimiento del cultivo estival sucesor (kg ha-¹, barras llenas, Soja) y uso consuntivos a la siembra (mm, barras rayadas) del cultivo estival en la región Norte (correspondientes a siembras terrestres) para distintas especies de cada grupo funcional de cultivos de servicio: gramíneas (azul), leguminosas (fucsia), crucíferas (verde) y mezclas (ocre), y para el caso del barbecho (en colores gris). Se muestra la media y el error estándar. Las letras sobre las barras indican diferencias significativas entre especies de CS según la prueba LSD (p < 0,05). Cuando no aparecen letras indicativas significa que no hubo diferencias significativas entre esas especies de cultivos de servicios en las respectivas variables analizadas.

Figura 4. (A) Producción de biomasa de los CS (kg ha; barras lisas) y uso consuntivo de agua (mm, barras rayadas) al secado y (B) rendimiento del cultivo estival sucesor (kg ha-1, barras llenas, poroto negro) y uso consuntivos a la siembra (mm, barras rayadas) del cultivo estival en la región Norte con riego (correspondientes a siembras terrestres) para distintas especies de cada grupo funcional de cultivos de servicio: gramíneas (azul), leguminosas (fucsia), crucíferas (verde) y mezclas (ocre), y para el caso del barbecho (en colores gris). Se muestra la media y el error estándar. Las letras sobre las barras indican diferencias significativas entre especies de CS según la prueba LSD (p < 0,05). Cuando no aparecen letras indicativas significa que no hubo diferencias significativas entre esas especies de cultivos de servicios en las respectivas variables analizadas.

Nodo Oeste
En este nodo, además de gramíneas y vicia villosa puras, se ensayaron mezclas dobles de Leguminosas, con producciones de biomasa de hasta 10000 kg/ha, superando incluso a las gramíneas puras, mostrando un alto potencial de complementariedad de las mezclas (Figura 5-A). Dentro de las gramíneas, el Triticale fue la más productiva, superando significativamente al Centeno y a la Cebada en esta zona. La biomasa producida por Vicia villosa tuvo valores muy similares a las mezclas de leguminosas, superando también a las gramíneas sembradas puras (Figura 5-A)
Con respecto al uso consuntivo de agua al secado, no se obtuvieron diferencias entre las especies de cultivos de servicios ni con respecto al barbecho, asociado esto principalmente a la alta variabilidad observada bajo estos lotes (Figura 5-A). Los valores de uso se ubicaron entre 300 (barbecho) y 380 mm (Triticale).
En relación con el rendimiento del cultivo estival sucesor, en este caso maíz, se realizaron ensayos de fertilización con la aplicación de 100 y 350 kg/ha de urea, comparándose ambos tratamientos con una condición sin fertilización. El objetivo fue evaluar el efecto de las distintas dosis de fertilizante sobre el rendimiento del maíz y su interacción con los diferentes cultivos de servicio antecesores. Los resultados indicaron que, bajo la condición sin agregado de fertilizante, los mayores rendimientos se registraron en los tratamientos con las mezclas dobles de leguminosas (Vicia villosa + Crotalaria y
Vicia villosa + Melilotus) (Figura 5-B). En segundo lugar, se ubicó la Vicia villosa pura, seguida por las gramíneas (Cebada y Centeno), luego el barbecho, y finalmente el Triticale, que presentó los menores rendimientos (Figura 5-B)
En términos generales, los análisis mostraron diferencias significativas entre las condiciones con y sin fertilización, aunque no se detectaron diferencias entre las dosis de 100 y 350 kg/ha de urea (Figura 5-B). Al comparar las especies bajo ambas condiciones de fertilización, se observaron diferencias entre antecesores únicamente en la dosis de 100 kg/ha, mientras que en la dosis de 350 kg/ha los rendimientos no difirieron entre especies. En la dosis de 100 kg/ha, los mayores rendimientos se observaron en las mezclas dobles de leguminosas y la Vicia villosa, seguidas por las gramíneas, el barbecho y, en último lugar, el Centeno. Estos resultados sugieren que cuando el cultivo de servicio es una leguminosa pura o mezcla, el agregado de altas dosis de fertilizantes no aumenta el rendimiento del maíz sucesor o incluso podría disminuirlo (Figura 5-B)
En relación con el uso consuntivo de agua a la fecha de siembra del cultivo estival, los mayores valores se registraron en los tratamientos con Triticale, con consumos cercanos a 360 mm, lo que probablemente afectó negativamente el rendimiento del Maíz, así como su alta relación C/N y bajos aportes de N al suelo. Le siguieron las mezclas dobles de leguminosas, la Vicia villosa, las especies de gramíneas y en último lugar el barbecho.
Figura 5.(A) Producción de biomasa de los CS (kg ha; barras lisas) y uso consuntivo de agua (mm, barras rayadas) al secado y (B) rendimiento del cultivo estival sucesor (kg ha-1, barras llenas, maíz) y uso consuntivos a la siembra (mm, barras rayadas) del cultivo estival en la región Oeste (correspondientes a siembras terrestres) para distintas especies de cada grupo funcional de cultivos de servicio: gramíneas (azul), leguminosas (fucsia), crucíferas (verde) y mezclas (ocre), y para el caso del barbecho (en colores gris). El cultivo sucesor de maíz se fertilizó con 100 y 350 kg urea/ha. Se muestra la media y el error estándar. Las letras sobre las barras indican diferencias significativas entre especies de CS según la prueba LSD (p < 0,05). Cuando no aparecen letras indicativas significa que no hubo diferencias significativas entre esas especies de cultivos de servicios en las respectivas variables analizadas.

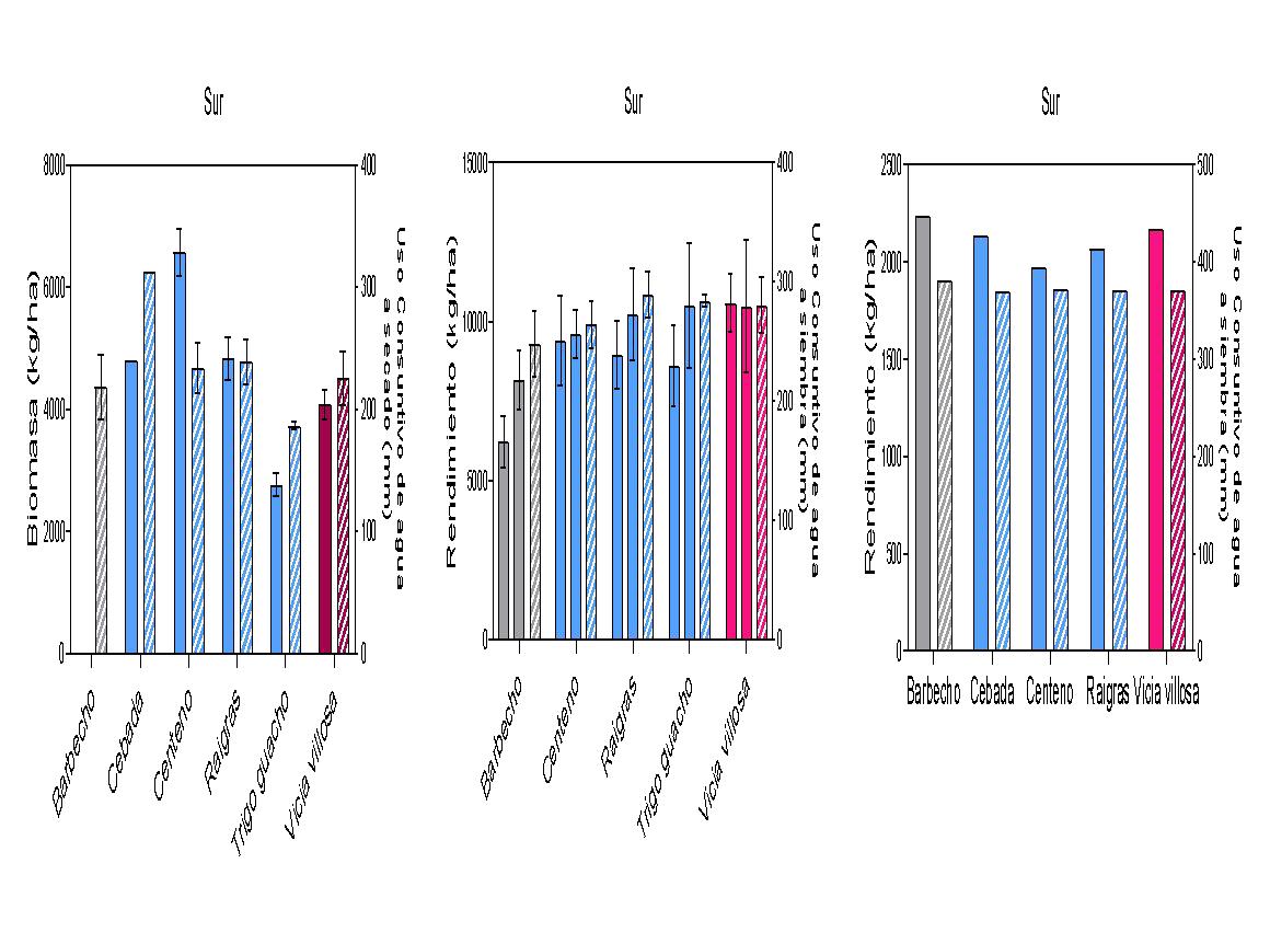
Nodo Sur
En el Nodo Sur, la producción de biomasa de los cultivos de servicio estuvo liderada por el Centeno, seguido por la Cebada, el Raigrás y la Vicia villosa. En último lugar se ubicó un trigo voluntario que se dejó como cultivo de servicio (trigo guacho), que presentó bajos valores de producción de biomasa (Figura 6-A)
En cuanto al uso consuntivo de agua a la fecha de secado, es decir, el agua utilizada por los cultivos de servicio durante su ciclo, los mayores valores se registraron en la Cebada (aproximadamente 300 mm), seguida por el Centeno, el Raigrás y la Vicia villosa, estos últimos con valores similares entre sí y comparables al barbecho (Figura 6-A). En último lugar se ubicó el trigo voluntario, que también fue el de menor producción de biomasa, lo cual resulta consistente con su menor consumo hídrico.
En relación con los rendimientos de los cultivos estivales sucesores, los principales fueron maíz y girasol (Figura 6-B y 6-C). Para el caso del maíz, se observaron diferencias entre cultivos de servicio antecesores, donde los mayores rendimientos
- Maíz
correspondieron a los lotes con Vicia villosa, seguidos por aquellos con gramíneas, y finalmente el barbecho, que mostró los valores más bajos. En este Nodo también se incluyó un tratamiento de fertilización cuando el cultivo estival fue maíz. Se destaca que, al aplicar fertilización con 120kg/ha de urea en el maíz, las diferencias de rendimiento observadas entre especies de cultivos de servicio antecesor desaparecen (Figura 6-B). Al fertilizar el maíz todos los tratamientos incrementaron sus rendimientos, compensando así el efecto diferencial del cultivo de servicio antecesor.
Respecto al uso consuntivo de agua a la siembra del maíz, los mayores valores se registraron en el Raigrás, seguido por las demás gramíneas y la Vicia villosa y por último con valores más bajos, se ubicó el barbecho (Figura 6-B). Sin embargo, estadísticamente, sólo el raigrás presentó un uso consuntivo a la siembra mayor que el barbecho. En el caso del cultivo sucesor girasol, no se registraron diferencias significativas entre las distintas especies de cultivos de servicio antecesores y el barbecho, tanto en rendimiento como en uso consuntivo de agua a la siembra (Figura 6- C).
Figura 6.(A) Producción de biomasa de los CS (kg ha; barras lisas) y uso consuntivo de agua (mm, barras rayadas) al secado y (B y C) rendimiento del cultivo estival sucesor (kg ha-1, barras llenas, B- maíz y C- girasol) y uso consuntivos a la siembra (mm, barras rayadas) del cultivo estival en la región Sur (correspondientes a siembras terrestres) para distintas especies de cada grupo funcional de cultivos de servicio: gramíneas (azul), leguminosas (fucsia), crucíferas (verde) y mezclas (ocre), y para el caso del barbecho (en colores gris). El cultivo sucesor de maíz tiene una condición sin y otra con agregado de fertilizante nitrogenado (segunda barra panel B corresponde al fertilizado con 120kg/ha de urea). Se muestra la media y el error estándar. Las letras sobre las barras indican diferencias significativas entre especies de CS según la prueba LSD (p < 0,05). Cuando no aparecen letras indicativas significa que no hubo diferencias significativas entre esas especies de cultivos de servicios en las respectivas variables analizadas.



Producción de biomasa y uso consuntivo de agua de cultivos de servicios bajo siembra aérea y rendimiento del cultivo estival sucesor por nodo agroclimático
La producción de biomasa de los cultivos de servicio bajo siembras aéreas presentó resultados únicamente en dos regiones o nodos: el CentroLitoral y el Oeste Medanoso.
Nodo Centro Litoral - Aérea
En el caso del Centro Litoral, la mayor producción de biomasa de los cultivos de servicio bajo siembras aéreas fue alcanzada por las mezclas de Vicia villosa y Rábano, seguidas por el Centeno, la mezcla doble de Vicia villosa y Melilotus y el Rábano puro (Figura 7A). En posiciones más relegadas, con valores cercanos o inferiores a 2.000 kg/ha, se ubicaron el Raigrás, la Vicia villosa pura y sorprendentemente también la mezcla triple de Vicia villosa, Centeno y Rábano.
En cuanto al uso consuntivo de agua a la fecha de secado de los CS, los mayores valores, comprendidos entre 270 y 300 mm, correspondieron al Rábano, el Raigrás y la Vicia villosa (Figura 7A). A
continuación, se ubicaron el Centeno y las mezclas, tanto triples como dobles, mientras que el barbecho presentó los valores más bajos de uso hídrico. Sin embargo, las diferencias en el uso consuntivo al secado entre el barbecho y el centeno y las mezclas no fueron estadísticamente significativas.
En relación con el rendimiento del cultivo sucesor, que en este caso fue soja, no se registraron diferencias significativas entre los tratamientos con cultivos de servicio antecesores y el barbecho, aunque los rendimientos de la soja con CS mezclas de vicia y rábano y vicia y melilotus (los que más biomasa produjeron) como antecesores tendieron a rendir más (Figura 7B). En promedio, los rendimientos de soja se ubicaron entre 3.800 y 4.500 kg/ha. Tampoco se detectaron diferencias significativas en el uso consuntivo de agua a la fecha de siembra de la soja entre los tratamientos con un cultivo de servicio previos y el barbecho largo (Figura 7B)
Figura 7. (A) Producción de biomasa de los CS (kg ha; barras lisas) y uso consuntivo de agua (mm, barras rayadas) al secado y (B) rendimiento del cultivo estival sucesor (kg ha-1, barras llenas, soja) y uso consuntivos a la siembra (mm, barras rayadas) del cultivo estival en la región Centro Litoral (correspondientes a siembras aéreas) para distintas especies de cada grupo funcional de cultivos de servicio: gramíneas (azul), leguminosas (fucsia), crucíferas (verde) y mezclas (ocre), y para el caso del barbecho (en colores gris). Se muestra la media y el error estándar. Las letras sobre las barras indican diferencias significativas entre especies de CS según la prueba LSD (p < 0,05). Cuando no aparecen letras indicativas significa que no hubo diferencias significativas entre esas especies de cultivos de servicios en las respectivas variables analizadas.

Nodo Oeste Medanoso - Aérea
En el Nodo Oeste Medanoso la producción de biomasa de los cultivos de servicio bajo siembra aérea estuvo liderada por las gramíneas, principalmente Centeno, Cebada y Raigrás, mientras que en posiciones más relegadas se ubicaron las leguminosas y las mezclas (Figura 8A). En cuanto al uso consuntivo de agua, no se registraron diferencias significativas entre las distintas especies de cultivos de servicio y el barbecho. Sin embargo, existió una tendencia a que el barbecho tuviera un uso consuntivo menor al de la mayoría de los CS.
Respecto al rendimiento de los cultivos estivales sucesores en esta región, que fueron maíz (Figura 8B) y soja (Figura 8B), no se detectaron diferencias significativas en los rendimientos entre los distintos cultivos de servicio antecesores ni en comparación con el barbecho. Sin embargo, se observó una tendencia clara de aumento de los rendimientos de soja luego de CS, en comparación al antecesor barbecho largo. Del mismo modo, el uso consuntivo de agua a la fecha de siembra tampoco mostró diferencias estadísticamente significativas entre tratamientos, manteniéndose valores similares entre tener o no cultivo de servicio previo.
Figura 8. (A) Producción de biomasa de los CS (kg ha; barras lisas) y uso consuntivo de agua (mm, barras rayadas) al secado y (B y C) rendimiento del cultivo estival sucesor (kg ha-1, barras llenas, maíz y soja) y uso consuntivos a la siembra (mm, barras rayadas) del cultivo estival en la región Oeste Medanoso (correspondientes a siembras aéreas) para distintas especies de cada grupo funcional de cultivos de servicio: gramíneas (azul), leguminosas (fucsia), crucíferas (verde) y mezclas (ocre), y para el caso del barbecho (en colores gris). Se muestra la media y el error estándar. Las letras sobre las barras indican diferencias significativas entre especies de CS según la prueba LSD (p < 0,05). Cuando no aparecen letras indicativas significa que no hubo diferencias significativas entre esas especies de cultivos de servicios en las respectivas variables analizadas.


Efecto de las diferencias hídricas en el rendimiento de los cultivos estivales sucesores
En términos generales, los rendimientos bajo cultivos de servicio antecesores en esta campaña fueron superiores a los obtenidos con barbechos largos en la mayoría de las regiones (ver diferencias de rendimiento mayores a cero en la Figura 9). Esto podría explicarse por el efecto positivo de las vicias y las mezclas en la disponibilidad de nitrógeno, que favoreció especialmente al maíz. Sin embargo, también se observaron algunos casos donde el barbecho presentó rendimientos mayores (sitios con valores de diferencias en rendimiento negativas).
En regiones como el Oeste y el Sur las diferencias de rendimiento positivas fueron de mayor magnitud. En el Oeste particularmente con las mezclas y leguminosas y en el Sur tanto con gramíneas como con leguminosas. Dichos incrementos también podrían estar asociados a la fertilización del cultivo sucesor maíz en ambos nodos sumado al efecto positivo de antecesor cultivo de servicio, lo que habría contribuido a compensar los posibles efectos de un menor contenido hídrico previo.
También se analizó la relación entre las diferencias en el rendimiento del cultivo estival sucesor con cultivo de servicio previo y con barbecho y las diferencias entre el contenido hídrico del suelo a la fecha de siembra del cultivo estival con cultivo de servicio previo y con barbecho (Figura 9)
En general, una menor disponibilidad de agua útil, asociada a un mayor uso consuntivo por parte de los cultivos de servicio, no se tradujo en reducciones significativas del rendimiento, independientemente de la especie antecesora. Sin embargo, hubo una tendencia en dos nodos Centro Litoral y Oeste con casos de gramíneas como antecesor exhibiendo luego diferencias de rinde de maíz negativos.
En general, entonces, las diferencias de rendimiento no parecieron estar asociadas directamente a menores contenidos hídricos en la fecha de siembra, sino a las precipitaciones ocurridas antes e inmediatamente después de la siembra del cultivo estival. Estas lluvias contribuyeron a recargar el perfil del suelo y atenuar los posibles efectos de consumo previo de agua por parte de los cultivos de servicio. Además, las precipitaciones durante el ciclo del cultivo estival mostraron una relación positiva con el rendimiento: a mayor lluvia, mayores valores de producción bajo todos los antecesores, tanto gramíneas como leguminosas y mezclas, siendo este efecto más marcado en los tratamientos con leguminosas y mezclas (Figura 10). Finalmente, esta tendencia se observó con mayor claridad y con rendimientos más altos en los cultivos de servicio implantados por siembra terrestre. Sin embargo, las siembras aéreas también mostraron una respuesta positiva similar.
Figura 9. Diferencias entre el rendimiento del cultivo estival sucesor (kg/ha) con un cultivo de servicio antecesor y con un barbecho en relación con las diferencias en el contenido de agua útil en el suelo a la siembra del cultivo sucesor (mm) con un cultivo de servicio antecesor y con barbecho en cada nodo de análisis. Los distintos grupos funcionales de cultivos de servicio se detallan según: gramíneas (azul), leguminosas (fucsia), crucíferas (verde) y mezclas (ocre) Los tipos de siembra se diferencian en símbolos abiertos (aéreas) y cerrados (terrestres).
Diferencias en rendimiento (Rend CSRend B , Kg/ha)

Diferencias hídricas a siembra cultivo estival (Agua útil CS – Agua útil B, mm)
Figura 10. Rendimiento del cultivo estival sucesor (kg/ha) con relación a las precipitaciones ocurridas durante el ciclo (mm) en cada nodo de análisis. Los distintos grupos funcionales de cultivos de servicio se detallan según: gramíneas (azul), leguminosas (fucsia), crucíferas (verde) y mezclas (ocre) y para el barbecho (gris). Los tipos de siembra se diferencian en símbolos abiertos (aéreas) y cerrados (terrestres).

y= 18.23x-2291
R2=0.63***
y= 11.94x-3503
R2=0.85***

Conclusiones por Nodo
Nodo Centro-Litoral
• Las mezclas triples (Vicia + Centeno + Rábano) y la Vicia villosa fueron las más productivas (6–6,5 t MS ha-1).
• Los rendimientos del maíz y la soja fueron mayores tras leguminosas o mezclas que tras gramíneas o barbecho.
• No hubo diferencias significativas en uso consuntivo de agua a secado entre especies; el barbecho consumió menos.
• En siembras aéreas, las mezclas de Vicia + Rábano y Vicia + Melilotus también se destacaron, sin penalización hídrica ni en rinde del cultivo sucesor.
Nodo Norte (secano)
• Las crucíferas (Carinata, Mostaza) y la Vicia villosa mostraron las mejores respuestas en biomasa y rendimiento sucesor de soja.
• Los cultivos de servicio consumieron más agua que el barbecho, pero sin afectar negativamente los rendimientos.
• En el sitio con riego, todos los cultivos de servicio duplicaron o triplicaron su biomasa (Centeno > Vicia > Carinata), y el poroto negro posterior a cultivo de servicio rindió 2–3 t ha-1, superando al barbecho.
Nodo Oeste
• Las mezclas dobles de leguminosas (Vicia + Crotalaria/Melilotus) produjeron hasta 10 t MS ha-1 y rindes de maíz superiores al barbecho.
• Las diferencias en rendimiento se redujeron al fertilizar, pero el beneficio de las leguminosas persistió a dosis moderadas (100 kg urea ha-1).
• El Triticale, con alto consumo de agua y baja relación N, redujo el rinde del maíz sucesor.
Nodo Sur
• El Centeno lideró la biomasa, seguido por Raigrás y Vicia villosa.
• En maíz sucesor, la Vicia fue el mejor antecesor, aunque al fertilizar se igualaron los rendimientos entre tratamientos.
• El girasol posterior no mostró diferencias entre antecesores.
• Los consumos hídricos de gramíneas fueron mayores, pero sin penalizar rinde.
Nodo Oeste Medanoso (aérea)
• Las gramíneas (Centeno, Cebada, Raigrás) dominaron la biomasa; las leguminosas fueron menos productivas.
• No hubo diferencias significativas ni en uso de agua ni en rendimiento del cultivo sucesor, aunque la soja mostró una tendencia positiva respecto al barbecho.
Patrones generales y conclusiones finales
1. Producción de biomasa de los Cultivos de servicios:
Los CS mezclas y de leguminosas mostraron frecuentemente una mayor eficiencia en la producción de biomasa por unidad de agua que las gramíneas puras. El Centeno mantuvo estabilidad en su producción de biomasa en todos los nodos, siendo un “comodín” frente a variaciones climáticas.
2. Uso consuntivo de agua de los cultivos de servicios:
El uso consuntivo de agua a la siembra del cultivo estival de los cultivos de servicio fue similar al del barbecho en la mayoría de los sitios. En general, no hubo penalización por agua sobre el cultivo sucesor, incluso en regiones de menor disponibilidad.
3. Efecto de los cultivos de servicios en rendimiento del cultivo estival:
En promedio, los cultivos de servicio aumentaron el rendimiento del cultivo sucesor respecto al barbecho, especialmente con antecesor leguminosas o mezclas. La respuesta fue más marcada en maíz que en soja o girasol. Las diferencias de rendimiento no se explicaron por el contenido hídrico del suelo previo a la siembra, sino por principalmente fueron las precipitaciones cercanas a la siembra y durante el ciclo del cultivo estival, que compensaron los consumos de agua previos.
4. Siembra aérea vs terrestre:
Las siembras terrestres lograron mayor biomasa y respuesta en rinde, pero las aéreas mostraron resultados razonables y viables como alternativa operativa, sin penalizaciones en agua ni rinde.

RED DE EVALUACIÓN DEL PASTOREO DE CULTIVOS DE SERVICIOS
Informe final de Resultados
CAMPAÑA 2024/25
Tomassetti, A.1, Zurbriggen, G. 1, Nalino, M.1, Ceaglio, E.1, Van Kruijssen, I.1, Eclesia, P.3, Bosaz, L.2, Galli, J.1
1Facultad de Ciencias Agrarias, UNR; 2AAPRESID; 3INTA
Introducción
La Asociación Argentina de Productores en Siembra Directa (AAPRESID), junto con la Facultad de Ciencias Agrarias de la Universidad Nacional de Rosario (FCA–UNR), viene trabajando desde 2021 en el diseño y validación de sistemas integrados que potencien, en forma simultánea, la sustentabilidad económica-productiva y ambiental abarcando varias campañas y una amplia diversidad de situaciones. En este marco, la incorporación estratégica de la ganadería en las rotaciones agrícolas se plantea no solo como una fuente adicional de beneficios productivos, sino como una herramienta clave diversificar y estabilizar el sistema, mejorar la eficiencia de uso de los recursos, reducir las emisiones y contribuir a la recuperación y la regeneración del suelo.
Específicamente, se constituye la Red de Evaluación de Pastoreo de Cultivos de Servicios (RPCS), como un espacio de articulación entre productores, técnicos, instituciones académicas y empresas, orientado a generar conocimiento aplicable sobre la integración agrícola-ganadera mediante el pastoreo directo de cultivos de servicios (CS). A lo largo de estas campañas, se han evaluado los efectos del pastoreo sobre la producción de biomasa, la cobertura del suelo, la disponibilidad de agua útil al momento de la siembra del cultivo sucesor, la presencia de malezas, el rendimiento del cultivo sucesor y la producción de carne, integrando además un análisis económico comparativo entre sistemas agrícolas y ganaderos.
En el contexto de la RPCS, este informe presenta los resultados integrados de cuatro campañas consecutivas (2021/25), así como el análisis detallado de la última campaña (2023/24–2024/25).
Criterios de manejo del pastoreo
El manejo del pastoreo se realizó manteniendo una altura remanente de los CS entre 15–20 cm de altura para asegurar una cobertura adecuada del suelo sin perjudicar los servicios agroecosistémicos (Figura 1). Bajo este criterio, se busca, además, que la distribución de las deyecciones y la defoliación sea de manera homogénea. A esta forma de manejar el pastoreo denominada “pas-
Esta continuidad en el tiempo ha permitido consolidar una base de datos robusta y representativa, con robusta información obtenida en múltiples sitios de la región central del país, bajo diferentes ambientales y de gestión, dada la cantidad y diversidad de los establecimientos.
Durante las cuatro campañas consecutivas (2021/22 - 2024/25) se consolidó un esquema de trabajo colaborativo con productores y asesores pertenecientes a distintas regionales de AAPRESID. Los ensayos se establecieron en sitios productivos representativos de las provincias de Santa Fe, Córdoba, Entre Ríos y Buenos Aires, abarcando diferentes condiciones edáficas, climáticas y de manejo. En este informe, además del análisis técnico de las cuatro campañas y de la última en particular, se presenta un análisis comparativo de márgenes brutos entre actividades agrícola-ganaderas integradas, que permite dimensionar el impacto económico del pastoreo de CS en la sustentabilidad global del sistema.
¿Cómo se llevaron adelante los ensayos de pastoreo de los CS?
En todas las campañas se aplicó una metodología sencilla, especialmente diseñada para adaptarse a la alta diversidad de sistemas de producción (sitios) que integran la red. Este enfoque, facilita su implementación para los productores y ensayistas en cada establecimiento y, al mismo tiempo, permite integrar la información generada a lo largo del tiempo. De este modo, es posible comparar el efecto del pastoreo de los CS sobre las principales variables productivas, ambientales y de manejo evaluadas.
toreo moderado”, es el criterio de decisión que se utiliza para manejar los animales durante el pastoreo y realizar los cambios de parcela o retirar los animales, según el manejo del establecimiento. Se utilizaron animales jóvenes (novillitos o vaquillonas de 1 a 2 años), bajo manejo continuo o rotativo, según la infraestructura y los objetivos de cada establecimiento.
1. Altura remanente del cultivo de servicio entre 15-20 cm para un pastoreo moderado.

Diseño del experimento
En cada sitio se implementaron parcelas comparativas bajo tres tratamientos con al menos dos bloques completos (repeticiones):
1. Cultivo de Servicios Pastoreado (CS Past): cultivo de servicios con pastoreo directo en rotación con cultivo agrícola, representando una situación integrada agrícola-ganadera.
2. Cultivos de Servicios No Pastoreado (CS No Past): cultivo de servicios no pastoreado en
rotación con cultivo agrícola, y representando una situación agrícola pura.
3. Barbecho Químico (Barbecho): lote sin cultivo de servicios en rotación con cultivo agrícola, mantenido en barbecho limpio hasta la siembra del cultivo sucesor, representando otra situación agrícola pura.
Cada parcela experimental tuvo al menos 800 m2 (Figura 2):
Figura 2. Esquema de las parcelas experimentales con los tres tratamientos en dos bloques completos (repeticiones).
Sitios experimentales
A lo largo de las cuatro campañas, la RPCS se ha desarrollado en las provincias de Santa Fe, Córdoba, Entre Ríos y Buenos Aires, abarcando una amplia diversidad de condiciones productivas. Dentro de la Red participan sitios que han repetido los ensayos en diferentes campañas, así como ensayistas que realizaron evaluaciones
consecutivas en la misma región, aunque no siempre en el mismo establecimiento. Además, se incluyen sitios con continuidad en el mismo lote, los cuales permiten acumular efectos del pastoreo de los cultivos de servicios, que constituyen experiencias de evaluación a largo plazo (Tabla 1).
Tabla 1. Sitios de la Red de Pastoreo de Cultivos de Servicios durante las cuatro campañas analizadas.
S itio
GODOY
Provincia
Campañas (n)
Santa Fe 2021/22 (1 ) Único lote
ROCA Santa Fe 2021 /22 (1 ) Único lote
ZAVALLA 1
Santa Fe 2021 /22 – 2022/23 – 2024/25 (3) Mismo lote
ZAVALLA 2 Santa Fe 2021/22 – 2022/23 – 2023/24 – 2024/25 (4) Mismo lote
VIDELA Santa Fe 202 1 /22 (1 ) Único lote
HUINCA Córdoba 2021 /22 – 2023/24 (2) Distintos lotes
MARCOS JUÁREZ Córdoba 2022/23 - 2023/24 (2) Distintos lotes
VICTORIA Entre Ríos 2022/23 – 2023/24 – 2024/25 (3) Distintos lotes
TANDIL Buenos Aires 2021 /22 – 2022/23 (2) Distintos lotes
CHAS COMÚS Buenos Aires 2021 /22 (1 ) Único lote
MAR DEL PLATA Buenos Aires 2021 /22 (1 ) Único lote
En la campaña 2024/25 se evaluaron tres sitios, dos de los cuales tuvieron continuidad en el mismo lote (Zavalla 1 y Zavalla 2), mientras que
el tercero (Victoria) corresponde a un lote distinto a otras campañas (Tabla 2)
Tabla 2. Caracterización de los cultivos utilizados y los manejos realizados en los sitios experimentales
Victoria Zavalla 1
2
Cultivo S
Fecha de siembra 26/03/2024 07/03/2024 02/05/2024
Fertilización (kg/h a) 75 MAP + 1 30 U 90 Mezcla Comercial + 1 50 U 90 Mezcla Comercial + 1 50 U Herbicidas en barbecho
Fecha S CS --
Días fin pastoreo- SCS
Días siembra- SCS
09/09/2024 1 2/09/2024
Cultivo sucesor S oja Maíz Maíz
Días SCS - siembra
Fecha siembra -- 29/10/2024 28/10/2024 -- 50 46
MAP: fosfato monoamónico; U: urea;Mezcla Comercial: (7-40-0-9-10) SCS: supresión cultivo de servicio; precipitaciones.
Producción de biomasa de los CS
La medición se realizó mediante el método de doble muestreo con pasturómetro, complementado con jaulas de exclusión en el caso de pastoreo continuo (Zavalla 1), a fin de estimar la producción total de materia seca (kgMS ha-1).
En los tratamientos pastoreados, la biomasa total se estimó como la suma de la biomasa consumida (diferencia entre la biomasa disponible al momento al inicio del pastoreo y la biomasa medida a la salida de los animales), más la biomasa remanente al momento de supresión de los CS. Los resultados obtenidos mostraron diferencias entre CS en Zavalla 2, donde se evaluó el pastoreo de una secuencia de gramíneas puras (avena y raigrás anual) pastoreadas en forma consecutiva. En este sitio y campaña, el raigrás presentó una producción significativa-
mente menor que la avena, debido principalmente al déficit hídrico que afectó con mayor intensidad al raigrás. En los demás CS no se observaron diferencias relevantes, aun considerando los diferentes manejos entre establecimientos. En general, la producción total se mantuvo dentro del rango registrado en campañas anteriores, con valores promedio cercanos a los 5.000 kg MS/ha, con excepción del raigrás anual de Zavalla 2.
El pastoreo moderado, manteniendo una altura residual de 15–20 cm, no afectó significativamente la producción total de biomasa en comparación con los tratamientos sin pastoreo, aunque sí redujo la biomasa remanente al momento de la supresión (Tabla 3)
Tabla 3. Producción de biomasa total y remanente en el momento de la supresión de los CS (kgMS/ha).
Tratamiento Victoria Zavalla 1 Zavalla 2 Avena Raigrás+Tr.Rojo
Pastoreado 5522 a 5735 b 4748 a 1495 b
No Pastoreado 5304 a 5820 a 5431 a 1807 b
Remanente 738 1934 4020 1867
Prom. (Past-No Past) 5413 5777 5089 1651
EE 355 36.4 159
Pv 0.7 NS <0.05 <0.0001
Tr.Rojo: Trébol rojo. NS: diferencias no significativas. Distintas letras: indican diferencias significativas (P<0.05) entre tratamientos: (entre filas).
Esta reducción refleja la extracción de forraje por parte de los animales, pero sin comprometer la cobertura del suelo ni la capacidad de los CS
Agua útil
La disponibilidad de agua útil se estimó al momento de la siembra del cultivo sucesor. La metodología se llevó a cabo en las profundidades de 0-50 cm y 50-100 cm, a diferencia de las campañas anteriores, que se dispone solamente de datos de 0-50 cm de profundidad.
Durante la campaña 2024–25, el período otoño–invernal se caracterizó por precipitaciones escasas hasta el momento de secado de los CS. Tras realizar el secado, se realizaron las mediciones de agua útil en el perfil de 0–50 cm, mientras se aguardaban lluvias suficientes que
para cumplir sus funciones ambientales, lo que respalda la sustentabilidad del pastoreo moderado dentro del sistema agrícola-ganadero.
permitieran realizar la siembra del cultivo sucesor. Los resultados mostraron diferencias significativas entre tratamientos en todos los sitios, siendo más favorable el barbecho químico en todos los casos, que presentó mayores valores de agua útil disponible en el suelo.
A pesar de estas diferencias, en los sitios Zavalla 1 y Zavalla 2 ningún tratamiento alcanzó niveles de humedad adecuados para realizar la siembra del cultivo sucesor, mientras que en Victoria, los milímetros de agua útil observados fueron suficientes para llevarla a cabo (Tabla 4)
Tabla 4. Cantidad de agua útil (mm) en el momento de la siembra del cultivo agrícola sucesor 0-50 cm de profundidad.
Victoria Zavalla 1 Zavalla 2
Tratamiento
Avena Raigrás+Tr.Rojo Avena Raigrás
Barbecho 94 3 a 1 3 1 a 24 2 a Pastoreado 83. 0 b 0. 68 b 1 3. 4 b 1 8. 7 ab
Distintas letras: indican diferencias significativas (P<0.05) entre tratamientos: (entre filas).
En la profundidad de 50-100 cm los resultados mostraron diferencias entre tratamientos en los sitios de Zavalla 1 y Zavalla 2. En ambos casos, el barbecho químico presentó los mayores valores
de agua útil en 20.7 mm y 18.6 mm, por encima del Raigrás + Trébol rojo pastoreado de Zavalla 1, y la avena no pastoreada de Zavalla 2, respectivamente (Tabla 5)
Tabla 5. Cantidad de agua útil (mm) en el momento de la siembra del cultivo agrícola sucesor 0-50 cm de profundidad.
Tratamiento
Victoria Zavalla 1 Zavalla 2 Avena Raigrás+Tr Rojo Avena
Distintas letras: indican diferencias significativas (P<0.05) entre especies (entre filas).
Malezas
La abundancia de malezas al momento de la siembra del cultivo sucesor se evaluó mediante el Índice Poblacional de Abundancia (IPA), que clasifica la infestación según el número de plantas por 10 m². Para latifoliadas, el nivel 1 corresponde a abundancias muy bajas y difíciles de estimar, el nivel 2 a menos de 0,5 plantas/10 m² , el nivel 3 a 0,5–3 plantas/10 m² y el nivel 4 a más de 3 plantas/10 m²; para gramíneas, los niveles 2, 3 y 4 se asocian a menos de 1, entre 1–10 y más de 10 plantas/10 m², respectivamente. De este modo, valores cercanos a 1 indican infestaciones mínimas y valores crecientes reflejan mayor presencia de malezas en el lote. Para esta campaña, los valores de IPA para latifoliadas se mantuvieron en rangos relativamente bajos (1–3), con promedios de 1,0–1,6, sin evidencias importantes de aumentos de infestación asociados a los cultivos de servicio ni a su pastoreo. En Victoria se registró un valor puntual de IPA=3 para el tratamiento con CS pastoreado,
pero sin repeticiones que permitan una comparación estadística consistente; en Zavalla 1 todos los tratamientos se ubicaron en IPA=1, mientras que en Zavalla 2 se observaron niveles algo mayores, destacándose que el barbecho presentó el mayor IPA y los tratamientos con CS los valores más bajos, con diferencias significativas que indican una tendencia a menor abundancia de latifoliadas bajo CS. Para las gramíneas, el IPA fue igual a 1 en Victoria y Zavalla 1 para todos los tratamientos y sólo en Zavalla 2 se registró un incremento moderado (IPA promedio 1,6), sin diferencias significativas entre barbecho, CS no pastoreado y CS pastoreado (Tabla 6). En conjunto, estos resultados muestran que, en las condiciones evaluadas, la inclusión de CS y su aprovechamiento mediante pastoreo no incrementan la abundancia de malezas al momento de la siembra del cultivo sucesor respecto del barbecho, e incluso pueden asociarse a niveles iguales o menores de infestación.
Latifoliadas (IPA)
Tratamiento Victoria Zavalla 1 Zavalla 2
Barbecho
Avena Raigrás+TrRojo Avena Raigrás 1 00 1 00 2 25 a
CS No Past 1 00 1 00 1 50 ab 1 00 b CS Past 3 00 1 00 1 50 ab 1 00 b 1 60 1 00 1 4
Promedio
Gramíneas (IPA)
Tratamiento Victoria
Barbecho 1
CS
1 Zavalla 2
Distintas letras indican diferencias significativas (P<0.05) entre tratamientos. NS: diferencias no significativas (P>0.05) entre tratamientos. NE: no estimable.
Rendimiento del cultivo sucesor
El rendimiento de los cultivos agrícolas sucesores fue poco sensible al tratamiento previo del lote (Tabla 7). En Victoria (soja luego de avena), los rendimientos no presentaron diferencias significativas entre barbecho, CS no pastoreado y CS pastoreado (3200–3800 kg MS/ha). En Zavalla 1 (maíz luego de raigrás+trébol rojo) se registraron altos rendimientos (13.600–15.300 kg MS/ha), con una leve tendencia numérica a mayores valores tras CS, especialmente pastoreado, aunque nuevamente sin diferencias estadísticas. En Zavalla 2 (maíz luego de avena o
7.
raigrás), los rendimientos se ubicaron en un rango intermedio (6600–7700 kg MS/ha), con variaciones de rendimientos entre barbecho, CS no pastoreado y CS pastoreado, pero sin un patrón consistente ni significación estadística. En conjunto, los resultados indican que la inclusión de CS, tanto no pastoreados como pastoreados, no reduce el rendimiento de los cultivos sucesores respecto del barbecho y, en algunos casos, se asocia a rendimientos similares o ligeramente superiores.
de los cultivos agrícolas sucesores (kgMS/ha)
C S Avena Raigrás+TrRojo Avena Raigrás
CS u c Soja Maíz Maíz
Barbecho 3636 a 1 3620 a 7434 a
CS No Past 3203 a 1 4245 a 6604 a 7699 a
CS Past 3761 a 1 5254 a 6742 a 7207 a
Promedio 3533 1 4373 7 13 7
EE 209 561 299
Pv 0. 28 NS 0. 1 NS 0. 1 NS
Distintas letras indican diferencias significativas (P<0.05) entre tratamientos. NS: diferencias no significativas (P>0.05) entre tratamientos.
Desempeño animal
El desempeño animal en los distintos sitios fue relevante, aún sin suplementación, con ganancias diarias entre 0,69 y 1,03 kg/día y cargas de 2,4–3,6 cab/ha con diferentes biotipos de animales jóvenes. La producción de carne por hectárea osciló entre 102 kg/ha (Zavalla 2, con un período de pastoreo más corto) y 290 kg/ha (Victoria), mientras que Zavalla 1 alcanzó 251 kg/ha con buenas ganancias individuales (Tabla 8). Estas diferencias responden principalmente a la duración del pastoreo, la carga utilizada y las categorías/biotipos empleados, pero en todos los casos reflejan un aprovechamiento eficiente de los CS como recurso forrajero.
Considerados junto con los resultados de rendimiento de los cultivos sucesores, estos datos indican que el pastoreo de CS permitió incorporar entre ~100 y 300 kg de carne/ha al sistema sin afectar negativamente el rendimiento agrícola posterior. En comparación con esquemas agrícolas puros, la integración agrícola-ganadera mejora la productividad total por hectárea y el uso de los recursos (forraje, nutrientes, tiempo de suelo cubierto), reforzando el rol de la ganadería como componente clave de los sistemas integrados sin comprometer la producción de grano.
8. Rendimiento de los cultivos agrícolas sucesores (kgMS/ha)
Tratamiento Victoria Zavalla 1 Zavalla 2
Producción carne (kg/ ha)
pastoreo (días)
S exo Nov. y Vaq. Hembras Nov. y Vaq.
Peso vivo
Biotipo/raza Británicos Holando Hereford
Suplementación S i No No
Análisis de las cuatro campañas de la Red
En cuanto al análisis de las cuatro campañas se analizaron las variables agua útil, rendimiento del cultivo sucesor y producción de carne.
Agua útil
El manejo previo del lote ya sea el pastoreo de los CS, el CS sin pastoreo o el barbecho químico, no generó diferencias consistentes en la cantidad de agua útil disponible al momento de la siembra del cultivo sucesor. El factor que determinó con mayor peso la disponibilidad hídrica observada fue el contexto ambiental de cada campaña y sitio (Figura 3). Entre campañas se observan contrastes marcados (Figura 4): 2023/24 concentra, en general, los valores más altos de agua útil, 2024/25 los más bajos y 2021/22–2022/23 se ubican en rangos intermedios. A su vez, la variabi-
lidad entre sitios es muy marcada, con ambientes tales como Tandil y Marcos Juárez que se ubican en las mayores cantidades de agua útil disponible, Zavalla 1 y Godoy con los valores más reducidos, y otros sitios en situaciones intermedias. En conjunto, estos resultados indican que la disponibilidad hídrica al inicio del cultivo sucesor depende mucho más de las condiciones climáticas y edáficas locales que del uso previo del lote con CS o barbecho, lo que respalda la compatibilidad del uso de CS —incluso con pastoreo— con una adecuada oferta de agua para el cultivo siguiente.
Figura 3. Análisis de las 4 campañas de la variable agua útil al momento de la siembra del cultivo sucesor por tratamiento.

Figura 4. Análisis de las 4 campañas de la variable agua útil al momento de la siembra del cultivo sucesor por sitio y por campaña. Distintas letras indican diferencias significativas.

Rendimiento del cultivo sucesor
La síntesis de los ensayos realizados en los distintos sitios y campañas muestra que, en promedio, no se detectaron diferencias significativas en el rendimiento de maíz y soja entre barbecho, CS sin pastoreo y CS pastoreado (Figura 5). En contraste, los cambios de campaña y de sitio generan contrastes notorios, evidenciando que el desempeño de los cultivos sucesores está determinado principalmente por la interacción ambiente (sitio × año), más que por el tipo de manejo previo dentro de este rango de estrategias. Este patrón se confirma en las comparaciones estadísticas realizadas, mientras no se detectan diferencias entre tratamientos, las variaciones entre campañas y sitios resultan en diferencias significativas. En promedio, el maíz alcanzó rendimientos cercanos a 80 q/ha8.000 kg/ha), con valores que oscilaron entre 74 y 144 q/ha según el ambiente. La soja, por su parte, promedió 34 q/ha (3.400 kg/ha),
dentro de un rango de 23 a 42 q/ha (2.300–4.200 kg/ha), nuevamente dominado por el efecto ambiental. En términos prácticos, estos resultados respaldan la compatibilidad del uso de CS, incluyendo su pastoreo moderado, con la producción de maíz y soja de alto rendimiento, siempre que se mantengan criterios básicos de manejo (altura y remanente, fechas de siembra y de supresión de los CS). Por lo tanto, la gestión del sistema debería priorizar la adaptación de las decisiones al ambiente del sitio, en lugar de limitar el uso ganadero de los CS. De esta manera, el pastoreo de cultivos de servicio se posiciona como una alternativa viable y sustentable, que permite sumar producción ganadera y beneficios agroecológicos, sin comprometer la productividad agrícola, reforzando el enfoque de sistemas integrados frente a los esquemas exclusivamente agrícolas.
Figura 5. Análisis de las 4 campañas de la variable rendimiento del cultivo sucesor para maíz y soja por tratamiento, campaña y sitio.

Desempeño animal
Los resultados sobre desempeño animal confirman el potencial estratégico de la ganadería sobre los CS como herramienta para fortalecer los sistemas integrados (Figura 6)
Aun con períodos de ocupación breves, los CS permitieron producir en promedio 250–300 kg de carne/ha, alcanzando valores superiores a 400 kg/ha en ambientes favorables, y manteniendo ganancias individuales elevadas, cercanas a 0,9–1,1 kg/animal/día. La variabilidad que se observó entre sitios y campañas refleja la influencia de factores como el clima, la especie y estado fenológico de los CS, la carga animal y la duración del pastoreo, que son las variables de
manejo. Los CS ofrecen un forraje de buena calidad, capaz de sostener altas tasas de ganancia de peso, aunque los resultados dependen de las condiciones locales y de los objetivos productivos de cada sistema.
Se evidencia también la disyuntiva habitual entre la productividad individual y la productividad por superficie, que considera que los mayores kilos de carne por hectárea no siempre se corresponden con las mejores ganancias diarias por animal, lo que subraya la importancia de ajustar la carga y el tiempo de ocupación según el objetivo productivo.
Figura 6. Análisis de la respuesta animal de las 4 campañas para las variables Producción de carne, AMD, carga animal y duración del pastoreo.

En síntesis, los resultados muestran que el detalle en el manejo define el éxito del sistema. Un pastoreo moderado y planificado, con una carga ajustada, remanente adecuado y ventanas de uso bien definidas, permite incorporar producción de carne significativa sin afectar el rendimiento de los cultivos agrícolas sucesores. Lejos de competir con la agricultura, la ganadería sobre CS potencia el desempeño global del sistema, transformando
la biomasa producida en carne, reciclando nutrientes, manteniendo la cobertura del suelo y aportando ingresos adicionales sobre la misma superficie. En conjunto, estas funciones posicionan al pastoreo de los CS como un componente clave para aumentar la eficiencia integral del sistema, reducir la exposición a riesgos climáticos y de mercado, y favorecer planteos más estables y resilientes en el tiempo frente a los esquemas agrícolas puros.
Márgenes brutos de la integración – Participación de la ganadería y la agricultura
Para cuantificar el aporte económico relativo de agricultura y ganadería se compararon márgenes brutos estimados para maíz, soja y producción de carne sobre cultivos de servicio, utilizando valores históricos promedio de precios de grano, carne y considerando la realización de los CS con fertilización de fósforo y nitrógeno como referencia. Sobre esta base, la Figura 7 muestra que, en maíz, cuando el cultivo alcanza rindes
altos y la producción de carne es baja o moderada, el resultado por hectárea está fuertemente explicado por el componente agrícola. A medida que la producción de carne aumenta hacia 250–300 kg/ha, la participación ganadera gana peso y, especialmente en escenarios de rindes medios o deprimidos, puede representar del 20 al 30% del margen total, ayudando a sostener el resultado económico del sistema.
Figura 7. Aportes relativos de la agricultura y la ganadería respecto a la participación proporcional de cada actividad en el margen bruto (maíz y carne).

En soja (Figura 8), debido a su margen típico más ajustado frente al maíz, la ganadería adquiere relevancia con menores niveles de producción: con 200–300 kg de carne/ha y rindes de soja bajos o intermedios, la contribución ganadera puede
ubicarse entre un tercio y la mitad del margen total, e incluso aproximarse a la paridad en ambientes de baja productividad o campañas climáticamente desfavorables.

En general y del análisis emergen dos patrones claros. Primero, el aporte económico de la ganadería varía su participación en el margen total a medida que aumenta la producción ganadera y disminuye el rendimiento agrícola de los cultivos agrícolas. Segundo, la respuesta es dependiente del cultivo: la soja incorpora más rápidamente a la ganadería como coprotagonista del resultado, mientras que en maíz se requieren niveles superiores de producción de carne para modificar de forma sustantiva la estructura del margen. Es importante remarcar que estos valores son indicativos y construidos bajo precios históricos, por lo que cambios en las relaciones de precios pueden desplazar estos puntos de equilibrio a favor o en contra de la integración ganadera. El mensaje es claro y sencillo. En ambientes de menor productividad o en campañas complicadas, los CS bien manejados —con cargas ajustadas,
tiempos de entrada y salida cuidadosamente definidos y alturas remanentes que protejan al cultivo sucesor— permiten que la ganadería funcione como un “seguro” económico, atenuando las oscilaciones del ingreso entre años. Cuando se logran producciones cercanas o superiores a 250 kg de carne/ha, la contribución ganadera deja de ser accesoria y pasa a ocupar un lugar central en el resultado del sistema, siempre que se respeten los principios agronómicos que sostienen los rindes de maíz y soja. En este contexto, integrar agricultura y ganadería sobre cultivos de servicio no sólo ayuda a estabilizar y mejorar el margen bruto por hectárea, sino que también le ofrece al productor más alternativas para adaptar su estrategia frente a cambios en el clima y en los precios, consolidando sistemas integrados más sólidos y menos vulnerables que los esquemas exclusivamente agrícolas.
Conclusiones generales
En síntesis, los resultados integrados de cuatro campañas y múltiples sitios experimentales muestran que la incorporación de CS, sin o con pastoreo moderado, es compatible con la producción agrícola de maíz y soja, siempre que se respeten criterios básicos de manejo (selección de especies, momento de supresión, altura remanente en el pastoreo). El pastoreo moderado no afectó de manera negativa el rendimiento de los cultivos sucesores ni incrementó la presión de malezas, y su efecto sobre el agua útil quedó ampliamente subordinado a las condiciones climáticas y edáficas de cada sitio y campaña. Esta evidencia consolida a los CS como una práctica segura, capaz de aportar servicios ecosistémicos y flexibilidad productiva sin comprometer la producción agrícola.
Desde la perspectiva ganadera, el aprovechamiento de los CS permitió producir entre 100 y más de 300 kg de carne/ha, con buenos niveles de ganancia diaria y sin suplementación, mostrando que, bajo un manejo moderado, los CS constituyen una fuente de forraje de alta calidad y una vía eficiente para transformar biomasa en producto animal. Al integrar estos resultados con el análisis de márgenes brutos estimados —calculados en función de precios históricos de granos, carne y fertilizantes—
se observa que la participación económica de la ganadería aumenta conforme crece la producción de carne y/o disminuyen los rindes agrícolas, especialmente en el caso de soja. De este modo, la producción animal sobre CS deja de ser un complemento marginal y pasa a desempeñar un rol relevante en la estabilidad del ingreso, actuando como colchón frente a campañas desfavorables y ampliando las oportunidades de captura de valor por hectárea.
En conjunto, la experiencia de la Red de Pastoreo de Cultivos de Servicio demuestra que la integración agricultura-ganadería basada en CS bien manejados es una estrategia sólida para construir sistemas más eficientes, diversificados y resilientes. El uso inteligente del pastoreo sobre CS mejora el aprovechamiento de la biomasa, contribuye al reciclaje de nutrientes, sostiene la cobertura del suelo, incorpora una nueva fuente de ingreso y reduce la vulnerabilidad frente a la variabilidad climática y de precios. Estos resultados brindan fundamentos técnicos y económicos consistentes para seguir promoviendo, ajustando y escalando esquemas integrados en la región, avanzando hacia sistemas productivos más competitivos y ambientalmente responsables.
Tips para pastorear los cultivos de servicios
• Elegir el método de pastoreo según cada realidad.
• Regular la presión de pastoreo. Ajustar carga animal y tiempo de ocupación para evitar sobrepastoreo.
• Apuntar a una intensidad moderada: compatibilizar consumo animal con calidad de suelo y sustentabilidad del sistema.
• Medir en el lote (objetivar la “moderación”).
• Altura de remanente postpastoreo: mantener cobertura y rebrote (15-20 cm aprox.)
• Proporción de biomasa aprovechada: no excederse
• Carga animal instantánea: refleja la presión real sobre el recurso.
• Usar estos indicadores para ajustar en el día a día y suspender/rotar cuando haga falta.

Signum Pack Vicia 306: inocular para regenerar
El Signum Pack Vicia 306 combina innovación biológica y sustentabilidad en una sola solución.
El pack combina la tecnología de bioinducción Signum®, desarrollada por Rizobacter, con el biofungicida Rizoderma, fruto de la colaboración entre Rizobacter e INTA, para promover una nodulación temprana y una Fijación Biológica de Nitrógeno más eficiente desde las primeras etapas del cultivo.
Con más de veinte ensayos realizados en distintas localidades del país, el área técnica de Rizobacter, junto a referentes del sector, obtuvo resultados contundentes: los cultivos de vicia inoculados con Signum Pack Vicia 306 registraron, en promedio, un 54% más de biomasa aérea en comparación con los no inoculados.
Además del incremento de materia seca, las plantas tratadas con Signum mostraron mayor vigor inicial, un número superior de plantas y una coloración verde más intensa, acompañadas de una mejor tolerancia al estrés causado por heladas y déficits hídricos.
El aporte del Rizoderma, primer terápico biológico de semillas registrado en Argentina, potencia este efecto al controlar enfermedades de suelo y semilla, y actuar como promotor de crecimiento Su acción promueve el desarrollo radicular y la formación de estructuras vegetativas más fuertes, logrando un incremento adicional del 8% de biomasa aérea sobre el uso del inoculante solo.
La vicia, como cultivo de servicio, no solo mejora el rendimiento del sistema, sino que también regenera los suelos, aportando nitrógeno residual al cultivo siguiente y mejorando sus condiciones fisicoquímicas: incrementa la estabilidad de los agregados, reduce la erosión y contribuye al equilibrio del ecosistema productivo.
Con Signum Pack Vicia 306, Rizobacter refuerza su compromiso con una agricultura más sustentable, ofreciendo tecnologías que combinan productividad y sostenibilidad para un futuro más equilibrado.



Cultivos de Servicios y sus aportes a la biodiversidad funcional de artrópodos
Ensayos de la REM y los docentes investigadores Celina Fernández y Eduardo Punschke de la Cátedra de Zoología Agrícola (FCA-UNR) en la Red de Cultivos de Servicios de Aapresid muestran cómo la diversidad vegetal ayuda a mejorar el control biológico y favorecer al equilibrio de los agroecosistemas.
Es de amplio conocimiento que la simplificación de los sistemas agrícolas extensivos en Argentina es una de las razones principales del desequilibrio ecológico de los agroecosistemas, impactando en la regulación biótica de plagas. Para ir hacia nuevos paradigmas productivos es necesario considerar a la biodiversidad no como amenaza frente al rinde sino como una herramienta clave a la hora de pensar en soluciones agronómicas. La diversidad vegetal es el motor que incrementa la biodiversidad global del sistema, ya que ofrece servicios ecosistémicos como la polinización, reciclado de materia orgánica y control biológico de plagas de importancia para los cultivos.
Una de las formas de incrementar la biodiversidad en el campo son los cultivos de servicios (CS). Los CS son una valiosa herramienta agronómica que aporta múltiples beneficios: son fuente de
materia orgánica, promoviendo la conservación de la estructura del suelo y contribuyendo a reducir su erosión. Por otro lado, compiten con la comunidad de plantas espontáneas no deseadas en el lote, las “malezas”, ayudando a la efectividad de los herbicidas, e incluso disminuyendo la necesidad de aplicaciones.
Las recomendaciones de manejo de CS vienen siendo hechas en base a estos aportes y poco se sabe cómo modifican la diversidad vegetal funcional del agroecosistema, es decir, los aportes que hacen en torno a generar ambientes propicios para el desarrollo de comunidades de artrópodos benéficos como detritívoros, enemigos naturales (predadores y parasitoides) y polinizadores. Es por eso que la Red de Manejo de Plagas se propuso ahondar más en este aspecto.
Para poder brindar recomendaciones de manejo que incluyan a la biodiversidad funcional como herramienta agronómica, la REM junto a la Ing. Agr. (Mg) Celina Fernández y el Ing. Agr Eduardo Punschke (cátedra de Zoología Agrícola FCA-UNR) desde 2024 vienen llevando a cabo ensayos en lotes productivos de localidades de Santa Fe (Videla y Rafaela) y Entre Ríos (Paraná), pertenecientes a la Red de Cultivos de Servicios de Aapresid. El objetivo es evaluar y comparar la diversidad, riqueza y abundancia de artrópodos, y agruparlos según su función biológica en el agroecosistema: fitófagos (aquellos que se alimentan de plantas, los cuales pueden o no ser considerados plagas), predadores y
parasitoides (aquellos que ejercen control biológico sobre plagas) y detritívoros (descomponedores de la materia orgánica).
Los tratamientos se evaluaron en diversos CS de distintas familias botánicas: Gramíneas (avena, raigrás y centeno); Brassicáceas (carinata y nabo) y Leguminosas: vicia, que a su vez se contrastan con barbecho a modo de testigo. Como metodología de muestreo se utilizaron redes entomológicas de arrastre para insectos que viven en el follaje y trampas pitfall (de caída) para insectos epígeos del suelo (Fig. 1). Ambos métodos son complementarios, lo cual permitió estudiar en detalle la comunidad de artrópodos que interactúa con cada cultivo.
para evaluar la fauna entomológica asociada a cultivos de servicios en Santa Fe y Entre Ríos.


Primeros resultados: ¿Qué cultivos favorecen más a la fauna benéfica?
Los resultados del primer año de ensayo revelaron que ciertos cultivos son más ventajosos para la fauna benéfica.
Se contabilizaron en total 2433 artrópodos en trampas pitfall, donde se destacaron detritívoros (995 ejemplares). En los monitoreos con redes entomológicas de arrastre se registraron 5594
artrópodos, predominantemente fitófagos (3146 ejemplares).
En cuanto a aquellos cultivos que tienen una floración con alta producción de néctar y polen (alimento de parasitoides y predadores en estado de adultos), y que a su vez florecen por largos períodos -como Brassicáceas (nabo y carinata) y vicia- presentaron mayor abundancia, riqueza y diversidad de enemigos naturales (Fig. 2)
Figura 2. Abundancia de artrópodos según grupos funcionales, capturados con A: trampas pitfall y B: red de arrastre; en cultivos de servicios de diferentes familias botánicas. Fuente: REM y Cátedra de Zoología FCA-UNR.

Los predadores, parasitoides y detritívoros más abundantes.
Se destacó la presencia de especies claves a la hora de controlar plagas en diversos cultivos. Entre los predadores más abundantes en todos los cultivos se hallaron: Orius sp., “chinche pirata”, que tanto en sus estados juveniles y adultos son predadores de trips, pulgones (Aphididae) y “arañuela roja” (Tetranychidae); Geocoris sp. (Hemiptera), controladora de pulgones, (pequeñas) larvas y desoves de lepidópteros; y arañas del follaje (Thomysidae) que se caracterizan por predar isocas, pulgones y otras plagas.
Dentro de los benéficos también se registró la importante presencia de parasitoides, avispas

diminutas que depositan sus huevos en diferentes insectos y cuyas larvas terminan matando y controlando a la plaga. Los parasitoides más abundantes fueron: los Aphidinae (Hymenoptera: Braconidae), parasitoides de pulgones (Fig. 3) y los Platygastridae (Hymenoptera), parasitoides de huevos de las principales chinches plagas de cultivos (Fig. 4)
Sin embargo, cabe destacar que en cultivos de gramíneas se capturaron una alta abundancia de predadores que habitan sobre la superficie del suelo, como son arañas epífitas de suelo y los coleópteros: Galerita collaris y Lebia sp. (Coleoptera: Carabidae), importantes en el control de coleópteros del suelo y/o “isocas de cortadoras”, entre otros.
Figura 3. Avispas parasitoides de pulgones registradas en cultivos de servicios.

en cultivos de servicios.

El aporte de materia orgánica de todos los CS, quedó evidenciado en la mayor abundancia de artrópodos detritívoros que se hallaron en todos los cultivos en comparación con el barbecho, aún así, los cultivos de Brassicáceas y leguminosas también mostraron una tendencia a favorecerlos

comparándolos con gramíneas . Algunas especies de las que se capturaron fueron (Fig. 5): los “escarabajos estercoleros”, Sulcophanaeus sp., Quilópodos; Diplópodos, Isópodas, Colémbolos y moscas Sciaridae (Diptera), de las cuales sus larvas se alimentan de detritos vegetales.


Algunos detritívoros capturados en cultivos de servicios. De izquierda a derecha, Sulcophanaeus sp.,
¿Qué pasó con los fitófagos plaga?
En cuanto a los artrópodos fitófagos, se destacó la presencia de chinches (Nezara viridula, Piezodorus guildinii y Edessa meditabunda) principalmente en vicia. Al salir de su diapausa invernal, estos pentatómidos buscan alimentarse para activar sus ciclos biológicos en cultivos que florecen y fructifican en primavera. Al mismo tiempo, sus enemigos naturales (parasitoides Tachinidae y Platygastridae) son atraidos por las poblaciones de chinches agrupadas que se alimentan de vainas de vicia o frutos de Brassicáceas y es aquí donde comienzan a ser controladas de manera precoz, evitando así llegar a picos poblacionales altos en los sucesivos cultivos de soja que comprometan los rendimientos.
https://www.aapresid.org.ar/blog/cultivos-servicios-herramienta-potenciar-insectos-beneficos
Próximos pasos, del CS al cultivo de renta.
Si bien es necesario validar los resultados con un segundo año de ensayo, se pudo evidenciar el aporte de los CS en lo que respecta a servicios ecosistémicos clave como control biológico de plagas. Se registraron insectos benéficos que cumplen un rol clave para la salud de los agroecosistemas, aportando soluciones agronómicas basadas en el manejo de la biodiversidad. Por ello, se buscará profundizar en los releva-
Sumado a esto, las Brassicáceas se caracterizan por producir compuestos fitoquímicos específicos que atraen insectos fitófagos “especialistas” de estas plantas, los cuales no constituyen generalmente un problema para cultivos estivales ni gramíneas invernales. Este es el caso de: Plutella xylostella o “polilla dorso de diamante” (Lepidoptera); Microtheca ochloroma (Coleoptera); y áfidos como: Myzus persicae y Brevicoryne brassicae (Hemiptera), que fueron capturados con ambos tipos de muestreo. Más aún, estos insectos son alimento alternativo para predadores y parasitoides que luego se alimentarán de plagas importantes en cultivos de renta, como ser el complejo de vaquitas predadoras (Coccinelidae), crisopas, arañas del follaje, entre otros.
mientos de la segunda campaña, a fin de consolidar estos resultados y analizar sus implicancias para el cultivo siguiente.
Es crucial adoptar una mirada sistémica que permita comprender y aprovechar el rol de la biodiversidad funcional de los CS como un factor de manejo que impacta positivamente en la estabilidad biológica y en el rendimiento de todo el sistema productivo en su conjunto.

Cultivos de Servicios en la Chacra Sur de Córdoba
Robledo Giraudo, M.1, Mira, S1, Scaglione, J.2, Genero, M.3, Bongiovanni, M.4, Álvarez, C.5, Colazo, J.C.6
1 Sistema Chacras, AAPRESID. 2 Facultad de Ciencias Agrarias, UNR.
3 INTA AER Huinca Renancó. 4 Facultad de Agronomía y Veterinaria, UNRC. 5 INTA AER Gral Pico. 6 EEA San Luis, INTA.
Introducción
La incorporación de cultivos de servicios (CS) en los sistemas agrícolas del Sur de Córdoba surge como respuesta a la degradación progresiva del suelo asociada a la agriculturización, la simplificación de rotaciones y la prolongación de barbechos invernales. Esta situación se expresa en un aumento de la compactación, disminución de la infiltración y mayor erosión eólica durante el otoño-invierno. Frente a ello, la intensificación de la rotación a través de la incorporación de CS se propone como una herramienta para reforzar la salud del suelo, actuando sobre la provisión de servicios ecosistémicos tales como anclaje de rastrojos y cobertura del suelo, aporte de carbono, fijación biológica de nitrógeno (en leguminosas), reciclaje de nutrientes,
Metodología
Para evaluar el impacto de los CS, se trabajó en ensayos de larga duración en distintos macroambientes (MA) del departamento General Roca (Figura 1). Se compararon una rotación con barbecho vs. rotaciones con CS (vicia, centeno y mezcla), registrando producción de biomasa, dinámica de agua y nitrógeno, macrofauna y rendimientos de los
mejora de la estructura y aumento de la biodiversidad edáfica.
En esta línea, los productores de la Chacra se preguntaron: ¿Qué beneficios concretos generan los CS en sus ambientes productivos?; ¿Cómo inciden en la disponibilidad de agua y nitrógeno?; ¿Existen efectos sobre la macroporosidad y la fertilidad química del suelo?; ¿Existen efectos sobre la macrofauna como indicador biológico de calidad del suelo?; y ¿Cómo repercuten en los rendimientos de los cultivos subsiguientes? Estas preguntas guiaron el desarrollo de ensayos de larga duración y evaluaciones comparativas entre rotaciones con CS y barbechos invernales tradicionales.
cultivos sucesores (maíz y soja). Además, se realizaron mediciones periódicas de suelo para seguir la evolución de parámetros físicos y químicos. Los estudios se desarrollan desde hace 6 años, permitiendo interpretar tendencias en el tiempo y efectos acumulativos.

Resultados más relevantes
• Producción de biomasa y aporte de nutrientes. La producción de materia seca varió según el MA y la especie. El centeno fue el CS que mejor anduvo en los ambientes limitados por sus texturas gruesas y menores precipitaciones, mientras que la vicia aportó menor biomasa pero mayor nitrógeno biológicamente fijado. La relación C:N fue determinante en la velocidad de descomposición: vicia liberó nitrógeno más rápidamente, mientras que centeno inmovilizó N durante las primeras semanas posteriores al secado.
• Dinámica de agua. El costo hídrico promedio asociado al uso de CS fue bajo (15 mm), y la eficiencia de barbecho primaveral fue mayor cuando se incluyeron CS, debido a la mejora en la infiltración y reducción de evaporación superficial. Sin embargo, la fecha de secado fue clave: retrasarla más allá de la primera quincena de octubre redujo significativamente la probabilidad de recargar el perfil para el cultivo estival.
• Nitrógeno en el sistema. A la siembra del maíz, los niveles de nitratos fueron similares entre barbecho y vicia, pero menores en centeno o mezcla. No obstante, durante el periodo crítico del maíz, los niveles tendieron a equilibrarse, indicando un efecto de “liberación progresiva” del N en sistemas con mezcla.
• Macrofauna del suelo. En los macroambientes Oeste y Transición, las secuencias con CS presentaron mayor abundancia de macrofauna respecto a barbecho, especialmente cuando la rotación incluía vicia. Esto sugiere mejoras incipientes en la salud biológica del suelo.
• Productividad. La brecha de rendimiento en maíz entre barbecho y CS disminuyó a lo largo de las campañas, llegando incluso a igualarse o revertirse cuando se optimizaron los manejos. En soja, la ventaja fue consistente: +9% a +20% con CS como antecesor, atribuible a mejora estructural y liberación gradual de nutrientes.
Preguntas que continúan abiertas
Aún quedan interrogantes para consolidar la intensificación con CS en el Sur de Córdoba. Dentro de ellos, saber si los CS son suficientes para aumentar y estabilizar el contenido de materia orgánica o si es necesario reintroducir pasturas en la rotación, y si la mayor cobertura y actividad biológica que
promueven los CS alcanza para prevenir o revertir la densificación del suelo. Además, todavía se puede mejorar el manejo de los CS en cuanto a la diversidad de especies utilizadas, la densidad de siembra o el manejo de la fertilización del maíz sucesor en función del aporte de N por las vicias.

