
10 minute read
Figura 9. Autocorrelación, (a) positiva, (b) negativa y (c) No autocorrelación
from 105221
datos y su representación para determinar si existen patrones significativos (O’Kelly, 1993; Unwin, 1996; Anselin, 2006; Olaya., 2014). Entendiendo patrón como la característica del ordenamiento de objetos en el espacio dado por el espaciamiento ente ellos (Unwin, 1996).
2.2.1.2.2 Patrones de Puntos
Advertisement
Las coordenadas de un conjunto de puntos no solo representan una información individual de cada uno de ellos, sino de igual modo para todo el conjunto a través de las relaciones entre ellas. La disposición de una serie de puntos en el espacio conforma lo que se conoce como un patrón de puntos, el cual puede aportar información muy valiosa acerca de las variables y procesos recogidos en dichos puntos (Olaya, 2014).
La distribución espacial de dicho patrón de puntos no es homogénea en la naturaleza y pueden presentar variaciones de un sector a otro (Buzai, 2010).
2.2.1.2.3 Autocorrelación Espacial
La autocorrelación es un fenómeno geográfico e indica la dependencia y asociación espacial del objeto geográfico (Murayama y Thapa, 2011). Cuando se analiza el fenómeno espacial es importante entender cómo se distribuye, la autocorrelación entonces puede verse como la medida de una variable que indica su concentración o dispersión. Cuando no existe ningún tipo de autocorrelación espacial, se tiene que los datos recogidos en una serie de puntos son independientes entre sí y no se afectan mutuamente (Olaya, 2014).
Si los objetos representados en el espacio muestran patrones homogéneos se dice que tienen autocorrelación espacial positiva, cuando son heterogéneos se considera autocorrelación espacial negativa (Murayama y Thapa, 2011). La figura 9 muestra un ejemplo de los patrones de distribución de un conjunto de datos.
Figura 9. Autocorrelación, (a) positiva, (b) negativa y (c) No autocorrelación. Tomado de Olaya (2014).
En la autocorrelación también se habla de estacionaridad y no estacionaridad (Cabrera Barona, 2016a). Cuando dentro de los datos de análisis existe una tendencia, los valores no oscilan entre un límite, sino que experimentan un cambio marcado por una tendencia se dice que son Estacionarios (Cabrera Barona, 2016a). Cuando los datos son estacionarios, sus varianzas son iguales y no dependen de la posición de éstos en el área de estudio, lo que significa que no hay tendencia espacial.
2.2.1.2.4 Análisis de patrones espaciales
Entre las medidas para evaluar la autocorrelación espacial se cuenta con el índice de Moran’s I, Estadístico C de Geary, y estadístico K de Ripley (Cabrera Barona, 2016a). Las interpretaciones de las medidas calculadas dependen de los valores de significancia.
Índice de Moran (I):

Donde n: número de observaciones o unidades espaciales x: valor de la observación x: valor de todas las medidas de las n unidades w: variable de peso, función de la distancia que describe el vecindario de las unidades espaciales.
Moran compara el valor de la variable en una ubicación con su valor en otras ubicaciones, por lo que usa su valor medio.
Un valor positivo del índice I de Moran indica autocorrelación espacial positiva (con valores positivos más altos indicando mayor autocorrelación espacial). Un valor negativo de I indica autocorrelación espacial negativa. Un valor del índice I de Moran cercano a 0 indica falta de dependencia espacial.
Estadístico C de Geary

Donde n: número de observaciones o unidades espaciales xi: valor de una observación en la ubicación i xj: valor de una observación en la ubicación j wij: variable de peso
Geary mide las desviaciones en las observaciones como desviaciones en las intensidades de cada ubicación de la observación con respecto a otra observación en otra locación (Cabrera Barona, 2016a).
Valores de C de Geary mayores que 0 y menores que 1, indican autocorrelación espacial positiva y formación de agrupaciones. Valores de muy cercanos a 1 indicarían condiciones semejantes a la aleatoriedad (con un valor de 1 indicando falta de dependencia espacial). Valores de C de Geary mayores que 1, indican autocorrelación espacial negativa y dispersión.
Estadístico K de Ripley

Donde h: radio-buffer A: es el tamaño del área de investigación n: número de observaciones dij: distancia entre observaciones en i y j Ih: indicador si dij está dentro de h wij: factor de peso
K determina si los valores de las observaciones se encuentran significativamente dispersos o formando agrupaciones considerando un rango de distancias. Puede ser considerado como un índice de no aleatoriedad para valores en diferentes escalas: un índice que evalúa la aleatoriedad de un patrón de puntos u observaciones tomando en cuenta un conjunto de distancias, desde la más pequeña, hasta la más grande dentro de un límite específico.
2.2.1.2.5 Interpolación
Debido a que muchas veces se cuenta con la información de los fenómenos observados de manera puntual, los análisis geográficos recurren a la interpolación.
La interpolación pertenece al análisis numérico dentro de las matemáticas y consiste en obtener puntos de valores partiendo de un conjunto finito de datos o puntos conocidos (Gutiérrez Robles, Olmos Gómez, Casillas González, y Flores Godoy, 2010). La interpolación es ampliamente aplicada en ciencias e ingeniería precisamente por su carácter de “predecir” información donde no es posible disponer de datos, ya sea por tiempo, por costo o por la imposibilidad de realizar mediciones. Longley et al. (2005) afirman que a menudo se debe confiar en los métodos de interpolación espacial para adivinar las condiciones que existen en lugares donde no se puede hacer observaciones. Según Fazal (2008), la interpolación es un proceso de suposiciones inteligentes que buscan determinar un valor dentro de un área donde no es posible hacer mediciones. Los métodos de interpolación parten de la primera ley de la geografía o principio de Tobbler que establece: “todas las cosas están relacionadas entre sí, pero los elementos más próximos en el espacio tienen una relación mayor que los distantes” (Longley et al., 2005, p.65).
Las mediciones de un fenómeno pueden estar en ubicaciones dispersas, ya sea por el diseño del muestreo, por los escases de datos o la imposibilidad de su adquisición. Los métodos de interpolación se dividen en métodos determinísticos y de estadísticas geográficas (Hernández García, 2017). Los métodos determinísticos de interpolación asignan valores a las ubicaciones basándose en los valores circundantes, estos incluyen IDW (ponderación de distancia inversa), Vecino natural, Tendencia y Spline (Hernández García, 2017). Los métodos de estadísticas geográficas se basan en modelos estadísticos que incluyen autocorrelación (la relación estadística entre los puntos medidos). El método de Kriging es un método de interpolación de estadísticas geográficas (Hernández García, 2017).
Interpolación IDW Es un método determinístico que determina los valores de puntos desconocidos a partir de una combinación lineal de puntos cercanos (Wu y Hung, 2016).
Se basa en la suposición de que el valor en un punto desconocido se puede aproximar como promedio ponderado de valores en puntos dentro de cierta distancia. Los pesos son generalmente inversamente proporcionales a una potencia de distancia que generalmente es 2 (Mitas y Mitasova, s. f.)
Donde Zj: valor a estimar en la ubicación j Zi: valor conocido en la ubicación i dij: distancia entre el valor a estimar y los valores conocidos h: potencia de peso
Spline Splines o curvas adaptativas conforman una familia de métodos de interpolación. Pueden ser vistos como situando una superficie elástica sobre el área a interpolar, fijándola sobre los puntos conocidos usando una función matemática (Olaya, 2014; Wu y Hung, 2016).
Kriging Kriging es una técnica de interpolación geoestadística que trabaja con los siguientes supuestos: aleatoriedad de la función, estacionariedad y que la media de la función aleatoria es conocida y constante en toda el área de estudio. En Kriging Simple se asume que las medias locales poseen un valor similar al de la media de la población estadística (Cabrera Barona, 2016b).
En su expresión fundamental, el Kriging es semejante a un método basado en ponderación por distancia (Olaya, 2014), de la forma:
Donde i: peso de cada uno de los putos considerados
Sin embargo, Kriging se apoya de funciones de variografía para estimar un vector de pesos que, multiplicado por el vector de valores de los puntos de influencia, da el valor estimado (Olaya, 2014).
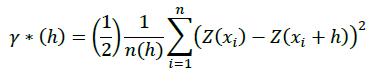
la variografía mide que tan parecidos son los puntos de una variable en el espacio a medida que se encuentran más alejados. La variografía se usa para describir la variabilidad espacial de un fenómeno a través del semivariograma (Cabrera Barona, 2016b).
El semivariograma es la representación de las varianzas de valores de puntos de una muestra (valores conocidos) en función de distintas distancias que separan dichos puntos. Con el semivariograma empírico se mide la estructura espacial de una variable (Cabrera Barona, 2016b).

Donde ��∗(ℎ): semivarianza para todos los puntos dentro del espacio marcado por el intervalo de distancia h. H: intervalo de distancia. ��(ℎ): número de pares de puntos [��(��), ��(��+ℎ)] separados por el intervalo h. ��(��): valor de la variable en una posición i. ��(����+ℎ): valor de la variable a una distancia h desde la posición i.
3. METODOLOGÍA
El presente capitulo describe la metodología seleccionada para el desarrollo de la investigación. Como se explicó en el capítulo del marco teórico, el análisis espacial busca revelar patrones y entender las interrelaciones de elementos espaciales para generar información que permita entender e interpretar un fenómeno, para lo cual se vale de distintas herramientas y técnicas de visualización y análisis.
En general, todos los autores coinciden en que el proceso de análisis espacial depende del enfoque del investigador y se centra en la naturaleza de los datos del fenómeno geográfico, su captura y tratamiento, el uso de técnicas estadísticas, su representación e interpretación y modelamiento.
Para el presente estudio se centró el enfoque metodológico en determinar el comportamiento espacial de las relaciones cromatográficas, visualizar su distribución y analizar y comparar su comportamiento dentro del horizonte productor
En la primera sección se presenta el procedimiento metodológico, así como las etapas de desarrollo en el diagrama de flujo metodológico. Las secciones siguientes muestran la localización del área de estudio y la delimitación de acuerdo con los datos recolectados. En las secciones posteriores se muestra el tratamiento de los datos primarios, el cálculo de las relaciones de gases y la creación de las tablas de información. Finalmente, la última parte del capítulo trata sobre las etapas de análisis espacial: la exploración de los datos, pruebas de autocorrelación espacial (índice I de Moran y estadístico C de Geary) y superficies de interpolación con los métodos IDW y Kriging ordinario.
3.1 ÁREA DE ESTUDIO
3.1.1 Localización Geográfica
El área de estudio propuesto se encuentra localizada en los llanos Orientales de Colombia, en el departamento del Meta dentro de la jurisdicción del municipio de Castilla
la Nueva. La ciudad principal más cercana es Villavicencio, capital del Departamento, a 45 Km de recorrido por carretera nacional.
El departamento del Meta se encuentra en las estribaciones orientales de la cordillera oriental en lo que se conoce como el piedemonte llanero, consiste en una franja montañosa al occidente con alturas que alcanzan los 525 m.s.n.m. y una zona de planicies al oriente que predomina en casi todo el territorio, con una elevación alrededor de los 200
m.s.n.m.
La red hidrográfica corresponde con el sistema hídrico del río Orinoco que sirve de límite territorial entre Colombia y Venezuela, de esta manera, la zona es atravesada por cauces que vienen de la región montañosa y atraviesan la planicie para desembocar en el río Orinoco al oriente.
La mayor parte de la población se concentra en la zona de planicie donde se desarrollan las actividades económicas principales: producción agrícola, ganadera y la industria de los hidrocarburos. El meta es uno de los principales productores de arroz y ganado vacuno para el país.
El acceso a la zona se hace a través del sistema de carreteras nacionales desde
diferentes partes del país o desde Villavicencio a donde se llega por vía aérea. La figura 10 muestra el mapa de ubicación del área.









