
4 minute read
Figura 1 Esquema suma lineal ponderada
from 104912
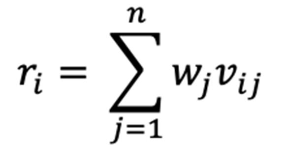
2.1.1.1 Suma lineal ponderada.
Según la UPRA (2014b), dentro de las técnicas multicriterio, una de las metodologías más utilizadas es la suma lineal ponderada, la cual corresponde a una operación aritmética simple del tipo compensatorio aditivo normalizado (Nagata y Peterson, 2013). Yáñés y González (2005) plantean que esta metodología puede ser fácilmente utilizada en análisis con información en formatos vectoriales o ráster y consiste en la asignación de pesos de importancia relativa a cada atributo. Una vez definidos los pesos para cada una de las variables de acuerdo a su importancia, se procede a calcular la puntuación total de cada alternativa, multiplicando la puntuación de esta alternativa para cada criterio por el peso asociados a dicho criterio y sumando los productos (Figura 1).
Advertisement
Figura 1 Esquema suma lineal ponderada Fuente: Esri (2019b)
Matemáticamente, la suma lineal ponderada se desarrolla a partir de la siguiente ecuación (Nagata y Peterson, 2013):

Dónde: ri: Es la variable ponderada definida como objetivo. wj: Es el peso del criterio o factor. vij: Es el valor ponderado de la alternativa i en el criterio o factor j.
2.1.1.2 Árboles de decisiones.
Los métodos de árboles de decisión son herramientas que contribuyen a realizar elecciones adecuadas en función de los atributos del conjunto de datos estudiados (Quintero y Amézquita, 2008), los cuales son representados a través de un esquema gráfico similar a la estructura de un árbol, en donde son visualizadas múltiples alternativas disponibles a la hora de tomar una decisión (Sullivan, 2017). La trayectoria que sigue el usuario en cada respuesta es conocida como árbol de decisión, el cual inicia en un único nodo que, dependiendo de la respuesta o decisión se irá al nodo siguiente de esa rama o cambiará a la otra. En este tipo de representación, cada nodo es una decisión que, a su vez, genera reglas para la clasificación de un conjunto de datos (Núñez, 2006). Entre la ventajas que presentan los árboles de decisión son su rapidez y precisión a la hora de construcción, su fácil interpretación y compresión, admiten múltiples tipos de datos (discretos y continuos) y son de gran utilidad para la exploración de datos (Dueñas, 2009; Sullivan, 2017).
Para la representación gráfica de los árboles de decisiones, se utilizan diferentes convenciones (Sullivan, 2017):
- Circulo: Representa un nodo de probabilidad, muestra las probabilidades de ciertos resultados.
- Cuadro: Representa un nodo de decisión, muestra el resultado que se tomara. - Triangulo: Representa un nodo terminal que consiste en el resultado final de la ruta de decisión.
- Líneas: Une cada uno de los nodos y representa las ramas del árbol.
Según Sullivan (2017), los árboles de decisiones pueden ser de dos tipos y dependen principalmente de los datos de entrada:
- Árboles de regresión son utilizados cuando la variable dependiente es continua y donde el valor obtenido por los nodos terminales en los datos de la muestra es la media de respuesta observadas. - Árboles de clasificación son utilizados cuando la variable dependiente es categórica, donde el valor obtenido por el nodo terminal en los datos de la muestra es la observación.
Si bien para la toma de las decisiones en el proceso de elaboración de los árboles existen diferentes algoritmos que permiten la construcción de forma automatizada, existen otras metodologías que, a través de reglas de decisión, se realiza la construcción del árbol. Una de estas reglas es la ley de mínimos, propuesta por el alemán Justus von Liebig en 1855. Inicialmente, este concepto fue relacionado con el crecimiento de las plantas y cultivos en donde se evidenció que el crecimiento de las plantas estaba relacionado con el aumento de la cantidad del nutriente más limitante. En el marco de las Evaluaciones de Tierras ha
sido ampliamente utilizado para la definición de los Tipos de Utilización de la Tierra (TUT), en donde se toma la cualidad o característica más limitante para la definición de la aptitud (UPRA, 2018b).
En el ámbito de la agricultura, los árboles de decisiones han sido implementados en los procesos de zonificaciones agrícolas y en la construcción de sistemas expertos, ya que les permite a investigadores de diferentes campos como la climatología, edafología, fisiología, fitopatología, entre otras, tomar la decisión a partir de conceptos (UPRA, 2018b). Un ejemplo del uso de árboles de decisiones se presenta en el estudio de caso, desarrollado por Quintero y Amézquita (2008) en el municipio de Puerto López (Meta), a través del cual se busca evaluar la calidad de la tierra y determinar el uso más apropiado, de acuerdo a los requerimientos de un cultivo en particular.
2.2 El Caucho natural
Descripción botánica
Familia: Euphorbiaceae Género: Hevea
Especie: Hevea brasiliensis (Willd. ex A. Juss.) Müll. Arg.
Nombres comunes: Seringueira, seringa, seringa-verdadeira, cau-chu, árvore da borracha, seringueira-preta, seringueira-branca, caucho, hule, jebe, hevea (Brasil); Árbol de caucho (Colombia, Venezuela), Sibi-sibi (Guyana), Mapalapa (Surinam), Capi, Jeve, Shiringa (Perú)
Árboles de 20 a 30 m (Figura 2a), fuste cilíndrico y recto de 30 a 60 cm de diámetro; ocasionalmente individuos silvestres alcanzan hasta 40 m de alto y cerca de 3 m de diámetro. Hojas alternas, trifolioladas, folíolos acuminados de 8 a 22 cm de largo por 3 a 10 cm de ancho, elípticos a obovados, ápice acuminado, base aguda, pecíolos de 9 a 38 cm de largo, glandulares en el ápice, estípulas pequeñas y deciduas. Inflorescencias (Figura 2b) terminales o panículas axilares de 8 a 20 cm de largo. Flores unisexuales, apétalas de 3 a 4 mm de largo, flores estaminadas con estambres 5 a 10 y filamentos connados, flores pistiladas con ovario trilocular, un óvulo por lóculo, estilos connados en la base. Frutos (Figura 2c) de 4 cm de largo por 4 a 6 cm de ancho, trilobulados, lisos y glabros, sobre pedúnculos de hasta 12 cm de largo. Semillas moteadas (Figura 2d) (Bernal, Gradstein, y Celis, 2019).







