
6 minute read
4.1 Habitac¸˜ ao
uma configurac¸˜ ao diferente. A figura 4.4 apresenta estes resultados. Como se v ˆ e, os gastos essenciais em habitac¸˜ ao, alimentac¸˜ ao, vestu ´ ario e higiene tˆ em participac¸˜ ao essencialmente decrescente ao longo da renda, de modo que as fam´ ılias mais ricas gastam menos percentualmente em relac¸˜ ao ` as mais pobres. J ´ a a conta de transporte parece ter relac¸˜ ao inversa aos demais componentes essenciais destacados anteriormente, pois ela ´ e crescente ao longo da renda. Na m´ edia nacional, as fam´ ılias do ´ ultimo quintil ocupam cerca de 18% do seu orc¸ amento com transporte individual ou coletivo, ao passo que os domic´ ılios do primeiro quintil ocupam apenas 13%. Estes t ´ opicos ser˜ ao analisados em maior detalhe nas pr ´ oximas subsec¸˜ oes.
Nessa sec¸˜
Advertisement
ao e nas pr
´ oximas, o objetivo ´ e analisar o gasto dos principais subcomponentes da POF 2017-2018 do IBGE, destacando as principais caracter´ ısticas do dispˆ endio familiar dos domic´ ılios com estudantes no ensino superior privado pelas grandes regi˜ oes brasileiras, mas tamb´ em pela distribuic¸˜ ao de renda dessas fam´ ılias.
Tal como no cap´ ıtulo anterior, comec¸ amos pelas despesas com habitac¸˜ ao. Dividimos essa conta da POF em cinco subcontas: aluguel (que inclui o gasto monet ´ ario e n˜ ao monet ´ ario), condom´ ınio, mobili ´ ario e manutenc¸˜ ao do lar (que abrange os dispˆ endios com artigos de limpeza, eletrodom´ esticos, consertos, mobili ´ arios em geral e outras despesas com a manutenc¸˜ ao domiciliar), pacotes de telefone, televis˜ ao e internet e, por fim, outras tarifas e servic¸ os (que inclui tarifas de luz, ´ agua e esgoto, bem como outros servic¸ os e taxas). A figura 4.5 apresenta o dispˆ endio em reais.
Figura 4.5: Despesa m´ edia mensal familiar com habitac¸˜ ao, considerando apenas fam´ ılias com estudantes no ensino superior privado (em R$)
Fonte: Elaborac¸˜ ao pr
´ opria com base nos dados da POF 2017-2018 do IBGE. Nota: Valores corrigidos a fevereiro/2022; Despesa monet ´ aria e n˜ ao monet ´ aria.
Essa figura equivale ` a figura 4.1, mas com enfoque apenas no gasto em habitac¸˜ ao. Como vimos, na m´ edia, os domic´ ılios de interesse a n´ ıvel nacional gastam cerca de R$ 2.500,00 com habitac¸˜ ao. Desse montante, quase metade ´ e relativo ao dispˆ endio monet ´ ario e n˜ ao monet ´ ario com aluguel. Al´ em disso, as fam´ ılias desembolsam aproximadamente R$ 500,00 com mobili ´ ario e manutenc¸˜ ao, R$ 400,00 em tarifas e servic¸ os relativos ao domic´ ılio, R$250,00 com pacotes de conex˜ ao (telefone TV e internet), em como R$ 125,00 em taxas condominiais.
Nas regi˜ oes, o gasto com aluguel ´ e heterogˆ eneo. O Sudeste ´ e a regi˜ ao que mais ocupa o orc¸ amento familiar com esta subconta (R$ 1.490,31), seguida da regi˜ ao Sul (R$1.174,65), da regi˜ ao Centro-Oeste (R$ 1.137,82), da regi˜ ao Norte (R$ 973,09) e da regi˜ ao Nordeste (R$ 848,83). O dispˆ endio com mobili ´ ario e manutenc¸˜ ao ´ e mais homogˆ eneo entre as regi˜ oes, variando entre R$ 438,96 no menor valor (regi˜ ao Norte) e R$ 544,84 no maior (regi˜ ao Sul). Na m´ edia brasileira, as fam´ ılias desembolsam R$ 507,63 nessa subconta. O consumo de tarifas de luz, ´ agua e esgoto e outros servic¸ os domiciliares tamb´ em ´ e relativamente semelhante entre as regi˜ oes: em m
´ edia R$ 400,92 mensais. Destaque para as regi˜ oes Nordeste, que tem o menor gasto com esses servic¸ os (R$ 350,10), e Centro-Oeste, que apresenta o maior dispˆ endio mensal (R$ 455,45).
Figura 4.6: Despesa m´ edia mensal familiar com habitac¸˜ ao, considerando apenas fam´ ılias com estudantes no ensino superior privado (em %)

Fonte: Elaborac¸˜ ao pr
´ opria com base nos dados da POF 2017-2018 do IBGE. Nota: Despesa monet ´ aria e n˜ ao monet ´ aria.
J ´ a a figura 4.6 apresenta o gasto percentual dessas fam´ ılias. Do total do consumo com habitac¸˜ ao, a n ´ ıvel nacional, os brasileiros que tˆ em estudantes do ensino superior privado em suas residˆ encias alocam cerca de 49% em aluguel, 20% com mobili ´ ario e manutenc¸˜ ao, 16% com tarifas e servic¸ os domiciliares, 10% com pacotes de conex˜ ao (televis˜ ao, internet e telefone), bem como 5% em condom´ ınio.
No n´ ıvel regional, percebemos que os pesos que as fam´ ılias alocam nos diferentes tipos de despesa com habitac¸˜ ao s
˜ ao relativamente homogˆ eneos. A regi˜ ao Sudeste ´ e onde as fam´ ılias mais alocam seu orc¸ amento em aluguel e em condom´ ınio (54,2% e 6,6% respectivamente). J ´ a a regi˜ ao Nordeste ´ e onde o dispˆ endio com mobili ´ ario e manutenc¸˜ ao residencial ´ e mais alto percentualmente: cerca de 24%. Ainda, a regi˜ ao Norte ´ e a que mais ocupa o orc¸ amento familiar com tarifas e servic¸ os domiciliares: 22%, mas a que menos ocupa com condom´ ınio: apenas 0,7%.
Figura 4.7: Despesa m´ edia mensal familiar com habitac¸˜ ao, por quintil da distribuic¸˜ ao da renda familiar, considerando apenas fam´ ılias com estudantes no ensino superior privado (em R$)

Fonte: Elaborac¸˜ ao pr
´ opria com base nos dados da POF 2017-2018 do IBGE. Nota: Valores corrigidos a fevereiro/2022; Despesa monet ´ aria e n˜ ao monet ´ aria.
Na figura 4.7, analisamos o dispˆ endio familiar em relac¸˜ ao a renda. Naturalmente, na medida em que as fam´ ılias se movem nos quintis de renda, elas gastam mais com todas as contas. Entretanto, ´ e importante notar que o gasto como mobili ´ ario e condom´ ınio cresce desproporcionalmente ` a medida que a renda do domic´ ılio sobe. Essa relac¸˜ ao fica mais evidente na figura 4.8.
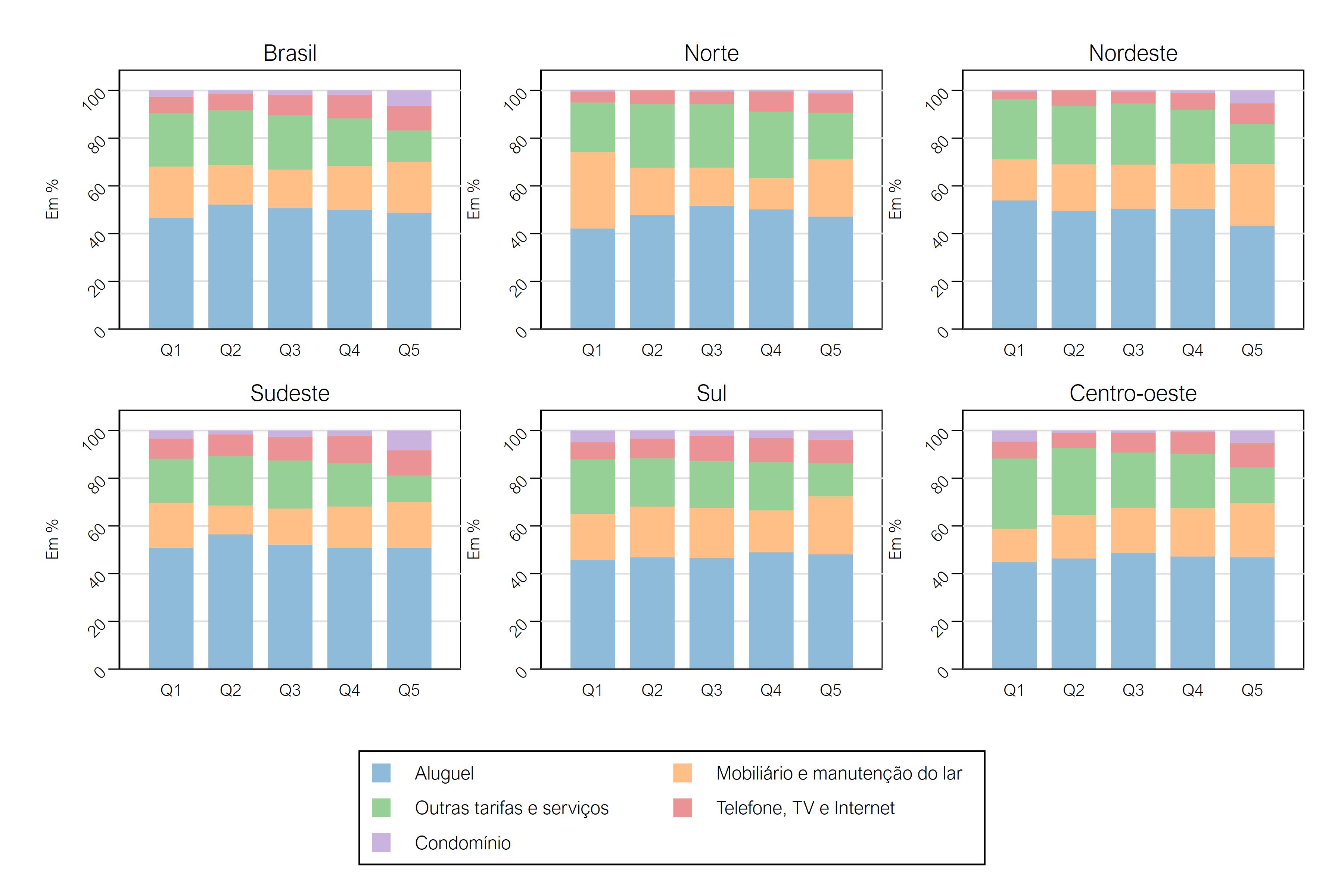
Figura 4.8: Despesa m´ edia mensal familiar com habitac¸˜ ao, por quintil da distribuic¸˜ ao da renda familiar, considerando apenas fam´ ılias com estudantes no ensino superior privado (em %)

Fonte: Elaborac¸˜ ao pr
´ opria com base nos dados da POF 2017-2018 do IBGE. Nota: Despesa monet ´ aria e n˜ ao monet ´ aria.
A figura 4.8 apresenta a an ´ alise do peso dos principais gastos domiciliares nos orc¸ amentos familiares brasileiros com estudantes na rede privada de ensino superior. Como dito, quando a renda das fam´ ılias ´ e maior, os domic´ ılios s˜ ao capazes de alocar uma parcela percentual menor da sua renda em tarifas de luz, ´ agua, g ´ as, etc. Isso permite que estas fam´ ılias com bens n˜ ao essenciais, como mobili ´ ario, eletrodom´ esticos, dentre outros. Outro ponto de destaque ´ e que o quintil mais rico das fam´ ılias brasileiras tamb´ em aloca um peso substancialmente maior em gastos com condom´ ınio. J ´ a o peso do gasto com pacotes de conex˜ ao ´ e relativamente constante ao longo da distribuic¸˜ ao da renda dessas fam´ ılias, bem como entre as regi˜ oes, variando entre cerca de 1% e 3% do total do dispˆ endio domiciliar.